设为首页收藏本站

弧论坛

 找回密码
 立即注册
搜索
热搜: 活动 交友 discuz
查看: 6104|回复: 0
打印 上一主题 下一主题

几张酷炫动图帮你看懂勾股定理、三角函数等数学概念

[复制链接]

5919

主题

6627

帖子

7187

积分

坛主

Rank: 10Rank: 10Rank: 10

积分
7187
跳转到指定楼层
楼主
发表于 2016-11-28 19:20 | 只看该作者 回帖奖励 |倒序浏览 |阅读模式
几张酷炫动图帮你看懂勾股定理、三角函数等数学概念

2016-11-28 美图君 中科院物理所

本文转载自公众号“把科学带回家”(ID:bringsciencehome)



                               
登录/注册后可看大图

图片来源:Pinterest

数学非常枯燥乏味吗?一点也不!但是一些小盆友可能在学习数学的时候感到吃力,可能的原因是,你没有找到的直观的方法理解数学。我们整理了几个动图,希望会帮你找到学习的动力,并让你爱上数学!


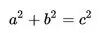
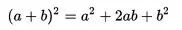
1勾股定理

勾股定理,又叫毕达哥拉斯定理。数学课本上会用这个公式:


                               
登录/注册后可看大图

a 和 b 是三角形的直角边,c 是直角边。看起来有点复杂,不过我们可以换一种方法理解,把平方看成正方形的面积!于是就可以用这个动图表示:


                               
登录/注册后可看大图

注意,勾股定理只能用于直角三角形哦~

2三角形的中点

                               
登录/注册后可看大图


把各边中点相连,它们会交于一点,这点就是三角形的中点!它还有许多有趣的性质。


3圆的面积

                               
登录/注册后可看大图


原来圆的面积也可以转化成长方形!

4如何画椭圆?

你一定知道如何画圆,但是怎么画扁扁的椭圆呢?其实也不难!



                               
登录/注册后可看大图


首先在纸上固定两个钉子,用两根绳子链接。然后按照图中的方法就可以画出来了。这两个钉子所在的位置就是椭圆的焦点。我们的地球就是在一个非常接近圆的椭圆轨道绕太阳旋转,太阳就在其中一个焦点上哦~


5圆柱的表面积

圆柱的表面积怎么算呢?其实就是把它拆分成我们熟悉的形状!



                               
登录/注册后可看大图


圆柱的上下表面是圆形,侧面展开就是长方形(或正方形),然后就可以愉快地计算啦!


6正多边形的外角

                               
登录/注册后可看大图


正多边形的外角和等于 360°,而且每个外角的大小都相等。看了这个图相信你会明白该怎么计算正多边形的外角了吧~


7三角函数

                               
登录/注册后可看大图


正弦函数和余弦函数的波浪形是怎么回事呢?原来可以看成一点在圆上运动在坐标轴上的投影啊!


8杨辉三角

它首次出现在南宋杨辉的《详解九章算术》,因此得名。它的前几层是这样的:


                               
登录/注册后可看大图


每一层中的数字,等于它上边两个数的和。那么这些数字有什么用呢?其实这里边的数字是括号平方(或立方、四次方等)的展开系数:


                               
登录/注册后可看大图

等号右边的 2 就对应于杨辉三角第三层中的 2。如果是三次方展开括号,就用第 4 层中的数字,以此类推。

9计算 1+2+3……

怎么计算 1+2+3……+100?如果直接算就太麻烦啦!但是我们换一个方法:


                               
登录/注册后可看大图


把第二列调换顺序, 1+2+3……+100 就可以变成 50 个 (1+100),也就是 5050。你也可以用其他数字试一试,是不是很神奇?


今天的数学动图就到这里吧,希望你喜欢上数学哦~

参考资料:
http://www.mathwarehouse.com


大道至简 万物于弧
*滑动验证:
您需要登录后才可以回帖 登录 | 立即注册

本版积分规则

手机版|Archiver|小黑屋|国际弧学研究会    

GMT-7, 2025-12-13 17:37 , Processed in 0.571232 second(s), 26 queries .

Powered by Discuz! X3.1

© 2001-2013 Comsenz Inc.

快速回复 返回顶部 返回列表