设为首页收藏本站

弧论坛

 找回密码
 立即注册
搜索
热搜: 活动 交友 discuz
查看: 3739|回复: 0
打印 上一主题 下一主题

物理的深刻很可能是简单的几何

[复制链接]

5943

主题

6662

帖子

7222

积分

坛主

Rank: 10Rank: 10Rank: 10

积分
7222
跳转到指定楼层
楼主
发表于 2021-4-22 22:29 | 只看该作者 回帖奖励 |倒序浏览 |阅读模式
物理的深刻很可能是简单的几何

Original 刘全慧
返朴 3/20




《物理与工程》期刊近日在线发表了一篇论文,从接收到发表仅仅用了5天,作者认为这是论文刊发的最快纪录。论文的内容是从最简单的古典微分几何知识基础上,如何理解量子力学和热力学中的一些前沿问题。本文章的主要部分则是介绍作者在科研中学习和使用微分几何20余年之后,自认为成功反哺教学的两个典型成果。

                               
登录/注册后可看大图

撰文 | 刘全慧 (理论物理博士,湖南大学物理与微电子科学学院教授)
1
论文刊出最快的世界纪录:五天

最近有篇小论文,从投出到刊出的时间,五天,创下了中国 (也许国际上) 学术刊物发文章速度的最快历史纪录。这就是《物理与工程》(教育部高等学校大学物理课程教学指导委员会学术刊物,清华大学编辑出版)上的拙作《懂几何者,在物理学中无往而不利》。2021年3月13日收到,18日上线。这篇文章,既不是投稿,也不是约稿,而是《物理与工程》编辑部和笔者商量为他们的微信公众号写篇一篇文章,文章草成后,编辑部认为是“好文章”然后“升舱”到刊物上的结果。炮制这篇文章只用了两天,但是积累素材却持续了20来年,内容作为腹稿也孕育了一段时间。同一时间段内,投给《大学物理》的一篇文章《几何视角下的热力学》也受到好评,编辑部将安排在某一期的首篇推出。




                               
登录/注册后可看大图
图1 中国学术刊物发文章速度的最快历史纪录:五天。

笔者的人生中有少数几个点不是那么暗淡,居然都和几何有点关系。除了论文、经费等和谋生直接相关的俗务外,还有如下一些:1. 指导了几位本科生进行的研究,最好的三篇论文都和几何相关。本科生能进行前沿研究都和几何有关,说明几何不难。同时也说明,几何是物理学研究一块最有分量的敲门砖。2. 1989年获硕士学位,论文是Z2规范场的相结构,而规范场就是一种几何学。3. 1999年获博士学位,论文是关于生物膜几何形状和广义相对论,需要的是古典微分几何。4. 2000年,申请ICTP的Regular Associate (相当于访问学者或者博士后) ,这是第二次申请,比1999年第一次申请材料仅仅多了几个字:Dowling等作者在1999的一篇PRL和Aharonov等作者在2000的一篇PRL上,都肯定了笔者研究Berry几何相位的一篇CPL文章。
5. 他乡遇故知。2016年,在上海偶然碰到Dowling,说起往事来,他高兴得像个孩子,参见照片 (图2)。很可惜,Dowling于2020去世了,Nature Photonics专门发了一篇纪念文章。2018年,非常有幸在湖大接待Berry并主持他的报告会 (岳麓讲坛),参见照片 (图3)。


                               
登录/注册后可看大图
图2 笔者和Dowling合影

                               
登录/注册后可看大图
图3 Berry和湖南大学物电院师生合影
2
物理学图像,常常是指几何图像
大物理学家Dyson自认为从费米的20分钟里所学到的,比他从奥本海默20年里学到的还要多。费米的一句话不经意的话,被理解为费米秘笈,不仅秒成警句广为传播,而且奉为物理学教学和研究的费米准则。原话是:“One way, and this is the way I prefer, is to have a clear physical picture of the process that you are calculating.The other way is to have a precise and self-consistent mathematical formalism.” 这里,物理图像(physical picture) 被提高到了至关紧要的位置。physical不同于physics,形容词的physical指的是饱满而活生生的物理,而physics则是一个状态描述。彭桓武先生就非常强调physical和physics之间的差别。

                               
登录/注册后可看大图
图4 Thorne和Blandford编著的“大学物理”教材封面
极度强调几何在物理学教育中的作用,非Thorne领导的“大学物理”教学小组莫属。如果不是由于Thorne因为引力波的成功探测而获得了2017年诺贝尔物理学奖,大概不会有太多人关注他在2017年出版的一本大学物理教材,名字很古怪——《现代经典物理》(全名是Modern Classical Physics: Optics, Fluids, Plasmas, Elasticity, Relativity, and Statistical Physics),参见照片(图4)。其实,这本书的内容经过了千锤百炼,在加州理工和斯坦福大学进行了37年的教学实践,书的特点就是用几何重塑了经典物理学。前言中写道:“几何学是本书中的深入主线,和非常重要的经纬。我们将看到如何通过洗练的几何思考就可决定或强烈限制了经典物理学的基本原理。几何学不仅能凸显经典原理的特征,还有助于将它们与相应的量子原理关联起来。进一步,几何方法可以避免冗长的分析计算。尽管相关的冗长、常规的计算,有时难以避免,在这种情况下,我们有时会求助于现代符号运算软件Maple,Mathematica和Matlab来节省空间。”换句话说,吹掉物理学上计算难度上的灰尘,发现物理学中到处都是几何。
大学里的几何,必须借助于微积分才能获得深入的理解。因此,大学中的物理图像就应该是微分几何图像。所谓的物理深刻,很可能不过是简单几何。本文接下来的两节,通过两个例子,希望说明如下一个道理:物理课程中重要而困难的物理问题,只需要简单的微分几何就可以化腐朽为神奇,变得玲珑剔透且妙趣横生。
3
热力学第三定律与两个函数之间的切触
如果两个函数一阶导数相等,说明这两个函数在一个区间内近似相等。如果近似的差别实际上无法观测,就说明这两个函数在这个区间内物理上相等。考虑函数 f(x)=ex x=0的n阶泰勒展开

                               
登录/注册后可看大图
,然后把f(x)和fn(x)在x=0处的比较。比较到零阶,即ex和1比较,这里仅仅是一个交点即 x=0,用几何的语言,称之为零级切触
(contact)。比较到一阶,即ex和1+x的比较,就不仅仅是一个交点,而且有了共同的切线,称之为一级切触,等等。参见图5。

                               
登录/注册后可看大图
图5 一个函数和它的泰勒展开的几何理解 (图片取自网络)
下面研究热力学汤姆孙-贝特洛在低温实验时发现的一个规律的示意图 (图6)。这幅示意图能告诉我们什么呢? 教材都包含了曲折而繁难的分析,从而得到热力学第三定律的能斯特表述。而一旦有了切触的概念,立即发现这两根线在零温时发生了一级切触,即两个函数有如下关系

                               
登录/注册后可看大图

由于热力学第一、二定律可以推导出,

                               
登录/注册后可看大图


                               
登录/注册后可看大图

于是,汤姆孙-贝特洛原理启示了:1,当 T→0 时,ΔS→0 ,即热力学第三定律;2,正是由于一级切触,这个 T→0 时实际上可以高到室温。这个室温可以通过分析高级切触而定量求解出来。
通过这个例子可以说明,几何必须和微积分结合起来,完全的初等几何是不太够用的。

                               
登录/注册后可看大图
图6  两个函数有一阶切触 (图片取自名著Herbert B. Callen,Thermodynamics and an Introduction to Thermostatistics 2nd Edition)

4
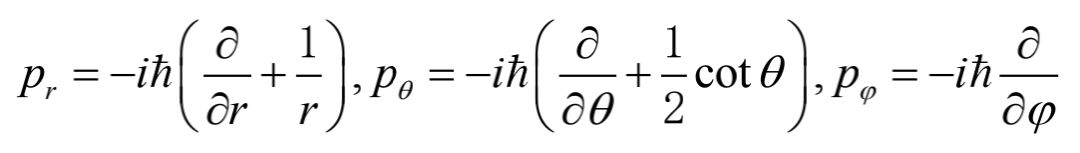
动量算符中显含的平均曲率
球坐标下三个广义动量算符是,

                               
登录/注册后可看大图

这三个算符在一般初等量子力学教材中都会见到,主要部分都是通常的微分算符。前两个算符多出的部分,通常的理解不过是为了微分部分变得厄密而多出来的函数而已,并无深意,实际可能远非如此。这两个函数,其实是两个不同平面的平均曲率。而平均曲率是古典微分几何中入门级的概念。
首先,稍微介绍一点什么是平均曲率。审视曲面弯曲形状的方式是化面为线。把曲面截开,截面上的曲面就是一根一根的曲线,简称截线。不过截的时候,要沿法线截下去。一个二维曲面,可以找出正交的两根截线(法截线),用这两根截线的曲率(主曲率)来标志曲面的弯曲程度,参考图7。

                               
登录/注册后可看大图
图7 把一个二维图面任意一点截开,然后看截线的弯曲程度,并用这两个主曲率来刻画曲面的弯曲程度。一个曲率即平均曲率,即两个主曲率的算术平均即平均曲律。一个是这两个曲率的乘积,即高斯曲率,不过本文不涉及高斯曲率。这里的平均曲率是 H=1/2(1/ρ1+1/ρ2) ,其中 ρ1, ρ2 分别为两根平面曲线密切圆的曲率半径。(图片取自网络)

然后回到球坐标。参考图8,球坐标中的三个坐标,把每一个值固定下来,就是一个曲面,共三个。一个是球面 (图中取 r=1 ),一个是平面 (图中取 φ=π/3),其平均曲率分别为 1/r (空间任意处的球面半径为 r ) 和零。锥面(图中取 θ=π/6 )的计算参看图9, r 处的曲率是 cot θ/2r ,这里的 r 和算符

                               
登录/注册后可看大图
的微分部分包含的 r,其实是一个辅助量,可以在计算完成之后,简单地设定为单位球面 r=1 就可以了。


                               
登录/注册后可看大图
图8  球面坐标。r 为常数时,为一个半径为 r 球面,平均曲率为 1/ rθ为常数时,为一个锥面,平均曲率为 cot θ/2 。 φ 为常数时,为一个平面,平均曲率为零。(图取自网络后编辑而成)


                               
登录/注册后可看大图
图9  把 P 点处的锥面剖开成两根线的时候,一根是母线,曲率为零;另外一刀剖下去的时候,刀面要和这根母线正交,其法截线的曲率半径为 r tan θ ,曲率为 cot θ/r。因此,r=1 处的锥面的平均曲率为 cot θ/2。

有人可能认为,对理解三个广义动量算符来说,知道了表达式,几乎可以解决所有问题,并不需要知道这些量是否为平均曲率。对于这三个算符来说,似乎不假。其实不然,因为物理问题常常必须从更大的范围内进行审视,然后反过来看这个问题,才能获得更大的视野和正确的视角。有很多问题涉及到这个曲率。第一,在平直空间中,移动一个量子态需要通过动量算符所构造移动算符来完成,不过在平直空间中,动量中不包含多余的函数,因而量子态环形一周回到原处,量子态没有改变。而在弯曲曲面上,正是由于动量多出来的部分,使得量子态就会多出一个相位因子。第二,这里有关“世纪难题”:即径向动量算符 Pr 的观测意义。要解决这个问题,就必须求助于几何,参见文献Int. J. Geom. Meth. Mod. Phys., 2015,12: 1550028.
这个例子至少给了我们三点启示:第一,最常见的算符中直接出现了平均曲率,那么微分几何就在量子力学的入门处,因而也就在课程的全部内容中;第二,算符一般都包含几何部分,也就是一般意义下的动量,应该是几何动量,参见文献,Euro. Phys. J. C., 2019, 79: 712及其中的参考文献;第三,通常认为现代物理的几何基础是黎曼几何,而平均曲率是外曲率,无足轻重,这个看法片面的。
5
断想与结语
文章将近结束,兴味却未阑珊,记录一些断想在此。
如果把一门课教50年甚至80年,讲得烂熟透顶,也不过尔尔,始终无法达到Thorne用几何重塑经典物理概念系统的程度,也无法发现普通动量算符底下其实包含了简单的几何却是深刻的物理,等等。任何大学教师,必须要有和本课程教学内容密切相关的前沿科研经历。纯粹教学型的大学老师,可以是认真的老师,也可以好老师,但是无法在教学内容上出神入化,无法把握重大题材,也无法理解最新进展,就不可能是学者型老师。
岳麓书院赫曦台上有副对联云“合安利勉而为学,通天地人之谓才”。但是,“安利勉”的为学三途太过入世,做学问必须要有点出世的精神。笔者在湖南大学负责“岳麓讲坛”,坚持延请一些文理兼长的科学家过来讲学,坚信,大学生处于成长阶段,兴趣面不能太窄了,应该“转益多师是汝师”。同时,大学里必须要有一点艰难的课程。现在大学的课程,数量繁多但失之浅易。甚至连简单的微分几何都不在大学物理系的课程系统内,这是否是大学课程设置的问题?
问题可能要换一个角度来看。微分几何及其发展历史,是人类文明最有神采的部分,这部分应该和唐诗宋词、经典小说等等一样,是大学生必读书籍中的一册。对理工科大学生,尤其如此。
希腊故事、古今名言、诸多事例,等等,都挤到了断想的狭窄通道里,下面收敛到本文的主题。把文中的两句话重复一遍,作为本文的结语:不但物理学图像常常是指几何图像,而且物理的深刻很可能是简单的几何。


大道至简 万物于弧
*滑动验证:
您需要登录后才可以回帖 登录 | 立即注册

本版积分规则

手机版|Archiver|小黑屋|国际弧学研究会    

GMT-7, 2026-4-24 18:53 , Processed in 0.549907 second(s), 23 queries .

Powered by Discuz! X3.1

© 2001-2013 Comsenz Inc.

快速回复 返回顶部 返回列表