设为首页收藏本站

弧论坛

 找回密码
 立即注册
搜索
热搜: 活动 交友 discuz
查看: 5645|回复: 0
打印 上一主题 下一主题

21张GIF动图让你秒懂数学原理

[复制链接]

5943

主题

6662

帖子

7222

积分

坛主

Rank: 10Rank: 10Rank: 10

积分
7222
跳转到指定楼层
楼主
发表于 2016-10-23 23:45 | 只看该作者 回帖奖励 |倒序浏览 |阅读模式
不用公式推导,21张GIF动图让你秒懂数学原理!

2016-10-20 中科院物理所

数学是很难的科学,但因为它是科学家用数学来解释宇宙的语言,我们无可避免的要学习它。看看下面的这些GIF动图,它们提供了视觉的方式来帮助你理解各种数学技巧。


1.椭圆的画法

                               
登录/注册后可看大图
2.杨辉三角问题(Pascal triangles)解法

                               
登录/注册后可看大图
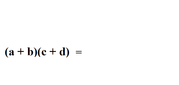
3.使用“FOIL”轻松的解决二项式乘法

                               
登录/注册后可看大图
4.对数解法技巧

                               
登录/注册后可看大图
5.矩阵转置的技巧

                               
登录/注册后可看大图
6.勾股定理

                               
登录/注册后可看大图
7.多边形的外角之和总是等于360度

                               
登录/注册后可看大图
8.圆周率π

                               
登录/注册后可看大图
9.一弧度就是长度刚好等于半径的一段圆弧所对的圆心角

                               
登录/注册后可看大图
10.在Y轴上使用正弦(红色),在X轴上使用余弦(蓝色),则在XY轴平面上画出的环形如下图(黑色)

                               
登录/注册后可看大图
11.同前一原理,但更简单

                               
登录/注册后可看大图
12.这是将sin和cos运用到三角形上

                               
登录/注册后可看大图
13.余弦是正弦的衍生物

                               
登录/注册后可看大图
14.正切线

                               
登录/注册后可看大图
15.同上,但翻个面看,更容易理解

                               
登录/注册后可看大图
16.将一个公式从笛卡尔坐标转换成轴坐标

                               
登录/注册后可看大图
17.画抛物线

                               
登录/注册后可看大图
18.黎曼和(Riemann sum)约等于其曲线下的面积

                               
登录/注册后可看大图
19.双曲线

                               
登录/注册后可看大图
20.将双曲线表现成3D形式,也许你不相信,它完全是用直线画成的

                               
登录/注册后可看大图

你甚至可以做成这样的效果:

                               
登录/注册后可看大图

来源:外刊IT评论网



大道至简 万物于弧
*滑动验证:
您需要登录后才可以回帖 登录 | 立即注册

本版积分规则

手机版|Archiver|小黑屋|国际弧学研究会    

GMT-7, 2026-4-23 05:49 , Processed in 0.556172 second(s), 22 queries .

Powered by Discuz! X3.1

© 2001-2013 Comsenz Inc.

快速回复 返回顶部 返回列表