设为首页收藏本站

弧论坛

 找回密码
 立即注册
搜索
热搜: 活动 交友 discuz
查看: 3937|回复: 0
打印 上一主题 下一主题

让无数物理学家头疼的波粒二象性到底是什么?

[复制链接]

5917

主题

6625

帖子

7185

积分

坛主

Rank: 10Rank: 10Rank: 10

积分
7185
跳转到指定楼层
楼主
发表于 2020-6-20 22:24 | 只看该作者 回帖奖励 |倒序浏览 |阅读模式
让无数物理学家头疼的波粒二象性到底是什么?

Original Panda the Red
中科院物理所 5 days ago


物体既是波又是粒子是量子物理中最著名的思想之一,它是被拿来说明量子物理神秘本质最常用的例子之一。物体以粒子的形式存在意味着可以用像位置和动量这样的物理量描述它们。以的形式存在意味者它们是某些(可能非常抽象)场中的扰动的传播。

在这篇文章中我将解释波粒二象性具体意味着什么。


作为波的本性的光

有意思的是,历史上第一批试图研究光的本性的人,是那些生活在公元前500年左右的古希腊和印度哲学家,他们认为光是由微小粒子组成的一股粒子流。更有趣的是,这两个文明中的哲学家完全独立地得出了相同的结论。然而,这些结论完全不是建立在科学的研究方法上的,它们受到哲学和形而上学思想的推动。

勒内·笛卡尔(1596-1650)是公认的第一个得到科学性观点的科学家。笛卡尔将当时已知的光的传播规律与已知的声音的传播规律进行了比较,他认为光的传播是由于光源在介质中引起的扰动的传播。

接下来的200年里,在科学家们围绕光是由粒子还是波组成的争论中,他们并没有发现争论的关键点在所在。在这期间,艾萨克·牛顿是光的粒子说最著名的支持者,尽管他也承认单个的光粒子在碰撞时可以像波一样相互干扰,但由于他的影响力,粒子说这一观点作为主流学说流行了将近一个世纪,。

但随着光学仪器测量精度逐渐提高,实验事实证明光确实是以波而不是粒子流的形式传播的。压垮粒子理论的最后一根稻草出现在1802年,当时托马斯·杨进行了著名的双缝实验

双缝实验现在是大学新生物理实验课的重要组成部分,光被照在挡光屏上,挡光屏上有两条非常窄的狭缝,两条狭缝相距很近。穿过两个狭缝的光照在挡光屏后方的接光屏上。如果光是由直线运动的粒子组成的,那么我们应该在狭缝后面的屏幕上看到两条亮线:

                               
登录/注册后可看大图

但是事实上实验结果不是这样的!相反,我们会看到这样的图样:


                               
登录/注册后可看大图
绿光、橙光和红光的双狭缝干涉图样。来源:Ars Technica,麻省理工学院。
现代物理课堂上做的双缝实验和杨最初进行的实验之间的唯一区别是杨使用自然光,而我们使用的是激光,因为激光产生相干的单色光,用这样的光源做实验更容易。

杨认为明暗相间的区域是光波相长和相消的干涉造成的。光源放置的位置使得光波到达两个狭缝时具有相同的相位。但是,由于两个狭缝是分开的,所以每个狭缝中的光束到屏幕上每个点的距离都略有不同,光的传播时间也略有不同,因此到达接光屏上某点的两束光具有相位差。在屏幕上的某个点上,当两束光的相位差为π(180°)时,它们相互抵消,该点看起来很暗。

为了详细说明这一点,让我们试着用杨的观点推导一个公式,这个公式会告诉我们屏幕的哪些位置应该是亮的,哪些部分应该是暗的,然后让我们验证这个公式是否符合我们的观察结果(了解的可以跳过)。为此,我们将找到相位差 Δϕ 与屏幕上位置的关系。

                               
登录/注册后可看大图
双缝实验示意图

我们通过考虑两条路径 S₁P 和 S₂P 的长度差(我们称之为 ΔL)来实现这一点。同时假设挡光屏到接光屏的距离D远大于x和狭缝间距d。角度 θ 是三角形 P₀AP 中角 A 的大小。

接下来以 P 为圆心,以 PS₁ 为半径做圆,与 S₂P 相交于 B 点:

                               
登录/注册后可看大图

因为点 B 和 S₁ 都在同一个圆上,所以 S₁P 和 BP 长度相等,所以两条路径的长度差是 S₂B。选择点 C 使 ∠S₁CP 是直角:


                               
登录/注册后可看大图

可以看出BC的长度很短。如果按照真实比例画图的话,BC长度将非常接近零,所以我们可以近似认为 S₂C 就是两条路径的长度差。由于三角形 S₁S₂C 的斜边是给定的,因此我需要S₁C的长度或角度∠S₂S₁C 的量度来求出 S₂C 的长度。

                               
登录/注册后可看大图

由于D远大于x,因此θ非常小。由于 S₂C也非常小,所以角度∠S₂S₁C也是如此。我们将假设这两个角度近似相等,因为当D趋于无穷大时,S₂C和θ都正比于1/D且趋于0.

光波从S₁传播到P所需的时间为t₁= |S₁P| / c,因此,如果这束光的角频率为ω,则到达P时产生的相位为ω|S₁P| / c,并且由于从 S₂ 到C的距离是dsinθ,这意味着来自 S₂ 的光波到达P时的相位为(ω/ c)(|S₁P| +dsinθ),因此两束光在P处的相位差为Δϕ =(ωd/ c)sinθ= (2π/λ)dsinθ。现在,我们需要进一步的论证来得到P处的亮度。事实证明,同一点上两束相干光束亮度由下式给出:


                               
登录/注册后可看大图
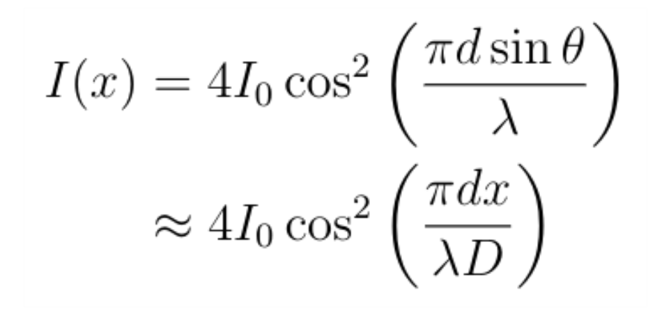
显然,从 S₁ 和 S₂ 发射的波不是光束,但是由于我们仅考虑某一个点上的强度,因此我们可以把它们看作光束。又因为两个狭缝到P点距离不同,所以振幅不会完全相等,但是由于距离差别很小,因此可以将两个光束近似地视为在P处具有相同的振幅I₀。如果用这种方法计算得到的下列函数可以给出图中暗点的位置,那么就说明光是波:

                               
登录/注册后可看大图
在第二行中,tanθ= x / D和θ都非常小,所以D远大于x且tanθ≈sinθ。该公式预测我们应该在x = 0处看到亮条纹,当dx /λD等于±1/2,±3/2,±5/2时出现暗条纹,亮条纹出现在dx /λD等于±1,±2,±3等的位置。这与我们在实验屏幕上看到图案一致。

杨氏的研究结果迅速传播开来,并且在短短几年内,光的波动学说得到学术界的公认。光的波动理论经受住了所有挑战,在1873年,当麦克斯韦的电磁学理论被亥维塞和赫兹的实验验证时,几乎所有人都接受了光是一种波。

剩下的两个问题是光的经典电磁学理论无法解决的,直到1905年科学家们才回答了这个问题。


光电效应和光的粒子性

当频率足够高的单色光入射到金属表面时,电子将从该表面逃逸。1900年,人们认识到这种情况是因为电子从辐射中吸收了足够的能量,以至于它们可以移动得足够快从而从金属表面逸出。然后,人们发现了一些奇怪的事情:

  • 电子会在打开光源后立刻从表面逸出,且与光强无关。
  • 虽然强度大的光会打出更多电子,但所发射电子的动能仅取决于光的频率,而不取决于光强。
  • 在给定的频率阈值以下,没有电子逸出。


如果画出不同金属中逸出电子的动能,他可以得到这样的图像:

                               
登录/注册后可看大图

通过对数据的拟合可以得到公式 K=hf-φ,其中h普朗克常数, φ 被称作金属的功函数。

这样的曲线在经典电磁学中是非常奇怪的,经典电磁学认为:

  • 发射电子的动能应仅取决于入射光的强度,而不取决于频率,因为强光单位时间传递更多的能量。
  • 不应该观察到任何截止点,因为即使光强度很低,电子也会缓慢吸收能量,直到它们有足够的逸出能量为止。这也意味着电子应该在激光照射之后一段时间才溢出,因为电子需要花时间来吸收足够的能量。


1905年,爱因斯坦(Albert Einstein)发表了一篇题为《关于光的产生和转化的启发式观点》的论文,在这篇论文中他提出了解决这个问题的方法。后来,该论文为他赢得了1921年的诺贝尔物理学奖。这个解决方案受到了之前一个令人意想不到的理论的启发。

温度高于绝对零度的任何物体都会因热辐射而损失能量,这种辐射被称为黑体辐射。黑体是不反射任何入射辐射的理想物体,因此从黑体上检测到的任何辐射都必然是热辐射。当人们测量黑体辐射的频谱时,结果如下图所示:


                               
登录/注册后可看大图

但是有一个问题。经典理论预测,频谱曲线在高频区域将变得无限大。这不仅不符合实验结果,而且还意味着宇宙中的物质都将在瞬间将所有储存的能量辐射出去。

1900年,普朗克通过假设热能以离散的形式被吸收或辐射,离散的能量被称为“量子”,得出了一个正确的公式,尽管他只是将离散的原因归结为光粒子而已。本质上,普朗克的方法将腔体内的辐射场视为谐振子组成的系统,该系统自发地与腔壁原子交换来回的能量,其中一些能量通过孔自发地辐射出去。


                               
登录/注册后可看大图

爱因斯坦进一步扩展了这一思想并提出,光实际上可以像粒子流一样运动。他提出携带能能量E = hf的光子通过与电子碰撞将能量传递给电子,从而解释了光电效应。每个光子正好与一个电子碰撞,并释放所有能量。这意味着:

  • 如果入射光的强度较低,意味着较少的光子,但单个光子的能量仅取决于频率。这解释了为什么逸出电子的能量仅取决于光的频率,因为光的强度仅描述了多少光子与金属碰撞,因此光强描述了逸出的电子数量,而不是单个电子的能量。
  • 由于碰撞过程是瞬时的,因此不会有时间上的延迟。光子与电子碰撞,立即为其提供足够多的能量以逃逸。电子并不是缓慢吸收场中的能量,直到它足以溢出金属表面为止。
  • 如果光子的能量小于功函数,则发生的情况是光子撞击电子,将其能量提高,但这些能量不足以让电子从金属中逸出。尽管原则上第二个光子可以继续撞击被激发的电子,然后为其提供足够的能量以逃逸,但事实证明,激发的电子自发地回到基态所需的时间太短,以至于不太可能存在另一个光子在激发时撞击它。


这一发现使科学界感到惊讶和着迷。1921年,康普顿散射的结果完全验证了爱因斯坦的假设,它发现电子和光子之间的碰撞的行为类似于粒子的碰撞。这表明光在某种程度上既像粒子又像波,怎么会这样?

这好像还不够奇怪,几年后,事情变得更奇怪了。


物质波动的本性

在1921年至1925年之间,科学家克林顿·戴维森和莱斯特·革末进行了一系列实验,他们利用电子束分析镍碎片的表面。他们的假设是镍的粗糙表面会散射电子,他们希望通过分析散射的电子来获得有关镍样品表面特征的信息。


                               
登录/注册后可看大图

在实验中,电子枪发射电子束轰击镍表面,并使用检测器测量在不同角度反射的电子数量。该实验必须在真空管中进行,因为自由电子在空气中会与空气分子撞击失去能量,因而在空气中只能传播几分之一微米。

令戴维森失望的是,最初的试验没有发现有关镍样品表面或镍原子结构的任何有趣信息。结果表明,在分子尺度上晶体表面的粗糙度导致电子沿随机方向散射。但是后来在1925年发生了一件奇怪的事
在一次实验中,事故导致试管破裂,空气使镍样品的表面氧化。为了去除氧化层,戴维森和格默在高温烘箱中加热了样品。接下来,当他们进行散射实验时,他们突然发现在特定角度的散射非常强。


                               
登录/注册后可看大图
这些图片中的紫色曲线显示了各种角度的散射强度,黑色箭头表示入射电子束。第一张图片显示了早期结果。第二张图片显示的是1925年管子破裂前的实验结果。第三张图片显示的是维修后的结果。

到底发生了什么?

戴维森所做的第一件事是找显微镜学家卢卡斯分析样品,他发现了样品规则的晶体结构。

像大多数金属一样,镍的结构在室温下是多晶的。这意味着可以将其看作取向杂乱无章的晶粒。


                               
登录/注册后可看大图

然而,当在高温下将它加热时,多晶结构变成规则的单晶结构。戴维森的新成果一定与这种新的晶体结构有关。但是,经过几个月的实验,他们仍然不知道为什么。
1926年,戴维森参加了英国科学促进协会在牛津召开的会议。在那儿,他了解了德布罗意的最新假说,即电子可以像波一样运动,令他惊讶的是,马克斯·玻恩(Max Born)在一次演讲中引用了戴维森反常的实验结果作为德布罗意的假说的证据。

根据玻恩的说法,电子波以类似于布拉格衍射的方式从平行晶体表面散射开。在布拉格衍射中,入射到晶体表面的X射线在不同平行晶体层上反射时会产生光程差:

                               
登录/注册后可看大图
就像在双缝实验中一样,这会导致两个电子波到达探测器时具有相位差,从而在该点产生相长或相消干涉。

戴维森(Davisson)在接下来的几年中一直在这个方向上努力。最终在1928年发表的论文《镍晶体中的反射电子》中,戴维森和革末报告说,尽管衍射过程与布拉格衍射不完全相同,这两个过程之间存在明显的相似性。由于这项工作,戴维森与G.P.汤姆森一起获得了1937年诺贝尔物理学奖,他也一直在进行类似的实验。

这最终证明了电子的行为像波一样。其他实验也得到了相似的结果。

尽管到1961年问题已经完全解决,但为了更好的测量,蒂宾根大学的德国物理学家克劳斯·詹森(ClausJönsson)进行了一次电子双缝实验,该实验得到了一个与杨双缝干涉图样类似的图样。


薛定谔方程

在量子力学中,我们假设粒子是波,这是指存在一个函数ψ,该函数与位置和时间有关,它被称为波函数或概率振幅,具有以下特性:

  • 对 |ψ|² 做全空间的积分得到有限值。
  • 在一个特定区域内对|ψ|² 做积分然后除以 |ψ|² 在全空间的积分,得到在这个区域内测量到粒子的概率。


如果粒子感受到的相互作用与时间无关,则 ψ(不考虑叠加态)是位置的函数,它满足定态薛定谔方程:


                               
登录/注册后可看大图
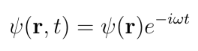
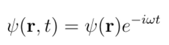
其中m是粒子的质量,ħ是普朗克常数,V(r)是势场,E是粒子的总能量。请注意,如果加上与时间相关的相位因子exp(-iωt),波函数写为:

                               
登录/注册后可看大图
通常,解实际上是无限多个ψn的线性组合:

                               
登录/注册后可看大图
|cn|²是测量能量时系统具有能量En的概率。如果测量到系统的能量为E,则波动函数会“塌陷”为:

                               
登录/注册后可看大图
当势场为0时,波函数写为:

                               
登录/注册后可看大图
k被称为波矢:

                               
登录/注册后可看大图

波矢告诉我们粒子向哪个方向传播。

假设在我们的阴极射线管实验中,我们知道电子的能量,因为我们可以控制电子离开电子枪的能量。可以确定波函数为:

                               
登录/注册后可看大图
该波函数描述两个平面波的叠加。第一个系数为A,是沿k方向传播的平面波。第二个系数为B,在相反的方向传播。由于在我们的实验中,我们知道所有电子都沿+ k方向传播,因此B必须为零。如果有某种原因导致任何电子反射回电子枪,则B不会为零。因此,我们有:


                               
登录/注册后可看大图
电子波函数是平面波这一事实解释了电子作为波的行为。就像光波在电磁场振动的传播一样,电子波是“概率幅场”的振动的传播。当这些“概率波”遇到双缝隙屏障时,它们就像光波一样发生干涉。


粒子,波,都是或都不是?

可以说自然界中的一切既是粒子又是波吗?不,这并不是很准确。真正发生的事情是,有时用粒子来解释物理过程会更有效,有时用波来解释物理过程会更有效。现代观点认为,这些过程实际上是各种量子场或经典场之间的相互作用,而这些场则被视为基本物理实体。


作者:Panda the Red
翻译:Nothing

审校:Nuor


原文链接:


大道至简 万物于弧
*滑动验证:
您需要登录后才可以回帖 登录 | 立即注册

本版积分规则

手机版|Archiver|小黑屋|国际弧学研究会    

GMT-7, 2025-10-20 14:08 , Processed in 0.668639 second(s), 22 queries .

Powered by Discuz! X3.1

© 2001-2013 Comsenz Inc.

快速回复 返回顶部 返回列表