设为首页收藏本站

弧论坛

 找回密码
 立即注册
搜索
热搜: 活动 交友 discuz
查看: 4269|回复: 0
打印 上一主题 下一主题

超炫数学动图唤醒你的思维

[复制链接]

5917

主题

6625

帖子

7185

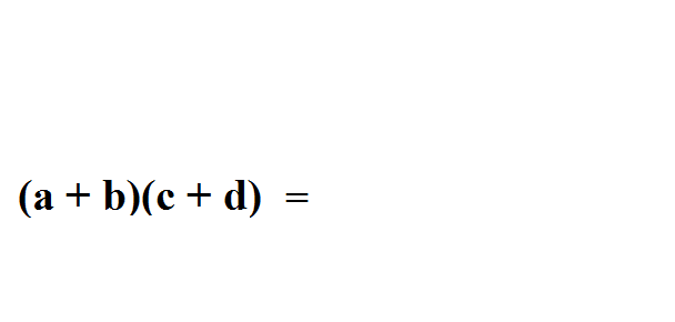
积分

坛主

Rank: 10Rank: 10Rank: 10

积分
7185
跳转到指定楼层
楼主
发表于 2019-1-10 03:36 | 只看该作者 回帖奖励 |倒序浏览 |阅读模式
超炫数学动图唤醒你的思维

中华智库园
[color=rgba(0, 0, 0, 0.298)]3天前


导读:说起数学,是你的魔鬼,还是天使?无论怎样,看完这一组动图,你不仅能够感受到数学美丽的一面,同时也会对我们常见的公式定理有更深刻、直观的理解。

1
三角形内角和为180º


                               
登录/注册后可看大图

2
多边形外角和为360º


                               
登录/注册后可看大图

3
怎样将一个正三角形剪拼成正方形?


                               
登录/注册后可看大图

4
怎样把两正方形剪拼成一个大正方形?


                               
登录/注册后可看大图

5
怎样把一个四边形剪拼成一个长方形?


                               
登录/注册后可看大图

6
正方体展开图


                               
登录/注册后可看大图

7
圆周率


                               
登录/注册后可看大图

8
圆的面积


                               
登录/注册后可看大图

9
根号下a在数轴上的位置


                               
登录/注册后可看大图


10
勾股定理及其证明


                               
登录/注册后可看大图

                               
登录/注册后可看大图

                               
登录/注册后可看大图

11
平稳滚动的正多边形


                               
登录/注册后可看大图

12
勒洛三角形


                               
登录/注册后可看大图

13
杨辉三角


                               
登录/注册后可看大图

14
弧长等于半径的弧,其所对的圆心角为1弧度


                               
登录/注册后可看大图

15
二项式乘法


                               
登录/注册后可看大图

16
无限的黄金(率)


                               
登录/注册后可看大图

17
sin和cos的追逐游戏


                               
登录/注册后可看大图

18
余弦是正弦的衍生物


                               
登录/注册后可看大图

19
正弦余弦的空间展示


                               
登录/注册后可看大图

20
正切线


                               
登录/注册后可看大图

21
三角函数


                               
登录/注册后可看大图

22
极坐标的魔法


                               
登录/注册后可看大图

23
画椭圆


                               
登录/注册后可看大图

24
画抛物线


                               
登录/注册后可看大图

25
双曲线


                               
登录/注册后可看大图

26
圆锥曲线


                               
登录/注册后可看大图

27
神奇的数学之心


                               
登录/注册后可看大图

28
无限正方形


                               
登录/注册后可看大图

29
三维分形


                               
登录/注册后可看大图

30
等速螺线(阿基米德螺线)及其应用


                               
登录/注册后可看大图

本文由数学爱好者俱乐部(ID:maths112358)编辑整理。





大道至简 万物于弧
*滑动验证:
您需要登录后才可以回帖 登录 | 立即注册

本版积分规则

手机版|Archiver|小黑屋|国际弧学研究会    

GMT-7, 2025-11-2 15:11 , Processed in 0.691585 second(s), 22 queries .

Powered by Discuz! X3.1

© 2001-2013 Comsenz Inc.

快速回复 返回顶部 返回列表