设为首页收藏本站

弧论坛

 找回密码
 立即注册
搜索
热搜: 活动 交友 discuz
查看: 4957|回复: 0
打印 上一主题 下一主题

欧拉公式,复数域的成人礼

[复制链接]

5928

主题

6642

帖子

7202

积分

坛主

Rank: 10Rank: 10Rank: 10

积分
7202
跳转到指定楼层
楼主
发表于 2018-12-21 14:12 | 只看该作者 回帖奖励 |倒序浏览 |阅读模式
欧拉公式,复数域的成人礼[color=rgba(0, 0, 0, 0.298)]

[color=rgba(0, 0, 0, 0.298)]马同学
中科院物理所
[color=rgba(0, 0, 0, 0.298)]Yesterday
[color=rgba(0, 0, 0, 0.298)]

[color=rgba(0, 0, 0, 0.298)]

复数域其实就是二维的数域,提供了更高维度的、更抽象的视角。本文来看看,我们是怎么从实数域扩展到复数域的。

大家可能觉得这个扩展并不复杂,也就是

                               
登录/注册后可看大图

                               
登录/注册后可看大图
两个任意实数,外加虚数

                               
登录/注册后可看大图
,把它们结合在一起,就完成了:


                               
登录/注册后可看大图

但数域的扩张从来没有这么简单,就好像夫妻生下小孩只是个开始,困难的是之后的抚养、教育:


                               
登录/注册后可看大图

复数域的扩张充满崎岖。正如欧拉的老师对他的赞扬:

我介绍数学分析的时候,它还是个孩子,而你正在将它带大成人。
----约翰·伯努利
这句话虽然是说微积分(数学分析)的,但用在复数域上也不违和。欧拉的欧拉公式正是“复数域”的成人礼:


                               
登录/注册后可看大图

1 数域扩张的历史
来看看之前的数域是怎么扩张的吧。每次想到数域的扩张,我都有种大爆炸的画面感,宇宙从一个奇点爆炸中产生:


                               
登录/注册后可看大图

1.1 自然数到整数
数学刚开始也是一片空白:


                               
登录/注册后可看大图

0的出现就是数学的奇点:




根据皮亚诺定理[2]“爆炸”出了自然数域[3]:


                               
登录/注册后可看大图

很显然上面的图像是不对称的,哪怕出于美学考虑,人们都有冲动把左边补齐,增加负数,这样就得到了整数域:


                               
登录/注册后可看大图

添加负数之后,有一个问题就出现了:


                               
登录/注册后可看大图

我们知道

                               
登录/注册后可看大图
是对

                               
登录/注册后可看大图
的缩写,并且容易推出如下计算规则:


                               
登录/注册后可看大图

我们添加负数之后,希望这个规则依然适用,即:


                               
登录/注册后可看大图

更一般的有:


                               
登录/注册后可看大图

并且还惊喜地发掘出负数次方的意义,如果说正数次方是对乘法的缩写,那么负数次方(正数的相反数)是对除法(乘法的逆运算)的缩写:


                               
登录/注册后可看大图

1.2 整数到实数
很显然整数之间还有很多空隙,我们可以用有理数(rational number,翻译为“可比数”更合理):


                               
登录/注册后可看大图

来填满这些空隙(示意图):


                               
登录/注册后可看大图

还有空隙,最终用无理数(irrational number,“不可比数”)来填满这些缝隙,得到实数轴:


                               
登录/注册后可看大图

自然会有这么一个问题:


                               
登录/注册后可看大图


                               
登录/注册后可看大图
是无理数,上面这个问题需要用极限来回答,这里不再赘述,只是可以看出实数域的扩张也是很艰难的。

2 复数基础
往下面讲之前,稍微复习下复数的一些基础知识。

2.1 复数的运算规则
复数的运算规则并非凭空捏造的。形如:


                               
登录/注册后可看大图

的三次方程,卡尔丹诺在《大术》这本书中给出了通解:


                               
登录/注册后可看大图

如果

                               
登录/注册后可看大图

                               
登录/注册后可看大图
,可以得到方程:


                               
登录/注册后可看大图

从图像上看,

                               
登录/注册后可看大图

                               
登录/注册后可看大图
有三个交点的:


                               
登录/注册后可看大图

套用通解会得到:


                               
登录/注册后可看大图

这里就出现复数了。拉斐尔·邦贝利(1526-1572),文艺复兴时期欧洲著名的工程师,给出了一个思维飞跃,指出如果复数遵循如下的计算规则:


                               
登录/注册后可看大图

                               
登录/注册后可看大图

那么就可以根据之前的通解得到三个实数解。

2.2 复数加法、减法的几何意义
为了之后的讲解,先引入几个符号,对于一般的向量

                               
登录/注册后可看大图
有:


                               
登录/注册后可看大图

复数的几何表示和二维向量有点类似,只是横坐标是实轴(

                               
登录/注册后可看大图
),纵坐标是虚轴(

                               
登录/注册后可看大图
),下图还把刚才的符号给标了出来:


                               
登录/注册后可看大图

加法的几何意义和向量也一样:


                               
登录/注册后可看大图

但向量没有乘法(点积、叉积和实数乘法不一样),这就是复数和向量的区别。复数是对实数的扩展,所以要尽量兼容实数,必须要有加减乘除、乘方开方、对数等运算。

根据刚才的乘法规则,计算可得:


                               
登录/注册后可看大图

画出来发现,两者是正交的:


                               
登录/注册后可看大图

还可以从另外一个角度来理解这一点,

                               
登录/注册后可看大图
在复平面上是这样的:


                               
登录/注册后可看大图

那么,

                               
登录/注册后可看大图
乘以虚数

                               
登录/注册后可看大图
,就是:


                               
登录/注册后可看大图

对于一般的向量

                               
登录/注册后可看大图
,也符合这个规律:


                               
登录/注册后可看大图

好了,知道这些差不多了,开始正题。


3 复数域的扩张
好了,轮到复数域了,复数定义为:


                               
登录/注册后可看大图

那么,来回答数域扩张都会问到的问题吧:


                               
登录/注册后可看大图

这个问题可以用欧拉公式:


                               
登录/注册后可看大图

来回答,取

                               
登录/注册后可看大图
,可得:


                               
登录/注册后可看大图

画出来就是复平面上模长为1,幅角也为1的点:


                               
登录/注册后可看大图

更一般的,欧拉公式说明,

                               
登录/注册后可看大图
是单位圆上幅角为

                               
登录/注册后可看大图
的点:


                               
登录/注册后可看大图

但是,欧拉公式 凭什么长这个样子!

3.1

                               
登录/注册后可看大图
的定义
欧拉公式肯定不是凭空捏造的,先来看看实数域中有什么可以帮助我们的。

实数域中的

                               
登录/注册后可看大图
函数,起码有三种定义方式:

从这三种定义出发都可以得到欧拉公式。

3.1.1 极限的方式
因为:


                               
登录/注册后可看大图

我们可以大胆地令

                               
登录/注册后可看大图


                               
登录/注册后可看大图

那么之前的

                               
登录/注册后可看大图
就等于:


                               
登录/注册后可看大图

我们来看看这个式子在几何上有什么意义。因为

                               
登录/注册后可看大图
对应的是单位圆上幅角为1的点,所以先给个参照物,虚线是单位圆,实线对应的幅角为1:


                               
登录/注册后可看大图

然后取

                               
登录/注册后可看大图
,可以得到:


                               
登录/注册后可看大图

根据复数的乘法规则,可以看出:


                               
登录/注册后可看大图


                               
登录/注册后可看大图


                               
登录/注册后可看大图


                               
登录/注册后可看大图
,已经很接近单位圆上幅角为1的点了:


                               
登录/注册后可看大图

对于更一般的

                               
登录/注册后可看大图
也是同样的:


                               
登录/注册后可看大图


                               
登录/注册后可看大图
时,就很接近单位圆上幅角为的点了:


                               
登录/注册后可看大图

可以证明当

                               
登录/注册后可看大图
时,

                               
登录/注册后可看大图
为单位圆上幅角为

                               
登录/注册后可看大图
的点,也就是得到了欧拉公式:


                               
登录/注册后可看大图

可能你还会问,直接替换

                               
登录/注册后可看大图

                               
登录/注册后可看大图
,合理吗:


                               
登录/注册后可看大图

这里是理解欧拉公式的 关键 ,我们要意识到一点,欧拉公式是一种人为的选择,完全可以不这么去定义

                               
登录/注册后可看大图
。但是,做了别的选择,会面临一个问题:会不会在现有的庞大复杂的数学体系中产生矛盾?

打个比方吧,在实数中“除以

                               
登录/注册后可看大图
”是不合理的,假如你想让它变得合理,那么分分钟会导出矛盾:


                               
登录/注册后可看大图

欧拉公式并不会引发冲突,并且随着学习的深入,你会发现数学家已经证明了它是一种足够好的选择,这里就不赘述了。

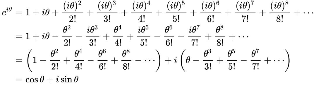
3.1.2 泰勒公式的方式
实数域下,有这些泰勒公式:


                               
登录/注册后可看大图

                               
登录/注册后可看大图

                               
登录/注册后可看大图

也是直接替换

                               
登录/注册后可看大图
,令

                               
登录/注册后可看大图
有:


                               
登录/注册后可看大图

这也有漂亮的几何意义,看看

                               
登录/注册后可看大图
的前三项:


                               
登录/注册后可看大图

这是三个复数相加,加出来就是:


                               
登录/注册后可看大图

再增加第四项

                               
登录/注册后可看大图


                               
登录/注册后可看大图

随着

                               
登录/注册后可看大图
,仿佛一个螺旋不断地接近单位圆上幅角为1 的点。对于更一般的

                               
登录/注册后可看大图
也是类似的螺旋:


                               
登录/注册后可看大图

3.1.3 导数的方式
实数域有:


                               
登录/注册后可看大图

直接套用:


                               
登录/注册后可看大图

假设

                               
登录/注册后可看大图
是时间,那么

                               
登录/注册后可看大图
是运动在复平面上的点的位移函数,

                               
登录/注册后可看大图
时位置为

                               
登录/注册后可看大图


                               
登录/注册后可看大图

                               
登录/注册后可看大图
的运动速度,也就是导数

                               
登录/注册后可看大图
。这个速度很显然是一个向量,有方向,也有速度。它的方向垂直于

                               
登录/注册后可看大图
(根据乘法规则,乘以

                               
登录/注册后可看大图
表示旋转

                               
登录/注册后可看大图
):


                               
登录/注册后可看大图

并且不论

                               
登录/注册后可看大图
等于多少,运动方向都垂直于位移,所以只能在单位圆上运动(圆的切线始终垂直于半径):


                               
登录/注册后可看大图

而速度的大小就是速度的模长

                               
登录/注册后可看大图
。之前说了,对于两个复数

                               
登录/注册后可看大图
,它们的模长为

                               
登录/注册后可看大图
,那么:


                               
登录/注册后可看大图


                               
登录/注册后可看大图
肯定等于1了,

                               
登录/注册后可看大图
在单位圆上运动,所以其模长也为1,所以速度的大小为:


                               
登录/注册后可看大图

速度大小为1意味着

                               
登录/注册后可看大图
时刻走了

                               
登录/注册后可看大图
长度的路程。而

                               
登录/注册后可看大图
在单位圆上运动,那么

                               
登录/注册后可看大图
时刻运动了

                               
登录/注册后可看大图
弧长,因为是单位圆,所以对应的幅角为

                               
登录/注册后可看大图


                               
登录/注册后可看大图

4 总结
有了欧拉公式之后,任何复数都可以表示为:


                               
登录/注册后可看大图

其中:


                               
登录/注册后可看大图

个人觉得

                               
登录/注册后可看大图
只是复数的初始形态,而

                               
登录/注册后可看大图
才是复数的完成形态,因为它更具有启发性。比如计算乘法的时候:


                               
登录/注册后可看大图

那么有:


                               
登录/注册后可看大图

                               
登录/注册后可看大图

几何意义更加明显。并且扩展了乘方和对数运算:


                               
登录/注册后可看大图

                               
登录/注册后可看大图

到此为止,基本上所有的初等运算都全了。更多高等的运算比如三角函数、积分、导数,也需要借助欧拉公式在复数上进行推广。

欧拉公式中,如果取

                               
登录/注册后可看大图
,就得到了欧拉恒等式:


                               
登录/注册后可看大图

这个公式也被誉为了上帝公式,包含了数学中最基本的

                               
登录/注册后可看大图

                               
登录/注册后可看大图

                               
登录/注册后可看大图

                               
登录/注册后可看大图
  、

                               
登录/注册后可看大图
,仿佛一句诗,道尽了数学的美好。

来源:马同学高等数学编辑:井上菌


大道至简 万物于弧
*滑动验证:
您需要登录后才可以回帖 登录 | 立即注册

本版积分规则

手机版|Archiver|小黑屋|国际弧学研究会    

GMT-7, 2026-3-11 03:57 , Processed in 1.938615 second(s), 22 queries .

Powered by Discuz! X3.1

© 2001-2013 Comsenz Inc.

快速回复 返回顶部 返回列表