设为首页收藏本站

弧论坛

 找回密码
 立即注册
搜索
热搜: 活动 交友 discuz
查看: 5077|回复: 0
打印 上一主题 下一主题

自然常数e为什么这么重要?

[复制链接]

5923

主题

6632

帖子

7192

积分

坛主

Rank: 10Rank: 10Rank: 10

积分
7192
跳转到指定楼层
楼主
发表于 2018-5-17 22:53 | 只看该作者 回帖奖励 |倒序浏览 |阅读模式
自然常数e为什么这么重要?

Original
超级数学建模 2018-05-17

作者 王艳宁



e
可赛艇

我们知道,自然界有一些十分重要的常数,如0,1,i,π,e等,它们的存在很大程度上影响了我们的学习与生活,今天我们就来深度挖掘一下,自然常数e为什么这么重要?

什么是自然常数e?


                               
登录/注册后可看大图
在回答自然常数e为什么这么重要之前,我们首先要问,自然常数e是什么?简单搜索一下可以发现,百度百科里面是这么解释的:

自然常数,是数学科的一种法则。约为2.71828,就是公式为 lim(1+1/x)x,x→∞
lim(1+z)1/z,z→0,是一个无限不循环小数,是为超越数。


                               
登录/注册后可看大图
这个解释给人的感觉就是很高(zhuang)端(bi),对于数学不好的人而言只能用以下反应来形容:


                               
登录/注册后可看大图

万万没想到,几个月前,超模君横空出世,仅用一篇文章,就通俗易懂地阐明了e的含义,即使是我这种数学残疾看过去也能一目了然。



                               
登录/注册后可看大图
这里以一个银行存款的例子简单描述一下:

我们在银行存款是有利息的,而存款赚到的利息又可以继续和本金一起,赚取更多的利息。当然,银行不是慈善家,它们结算利息的频率很低,要每一年甚至三年才结算一次,也就是说,在这一年或者三年的时间里,已经获得的利息并不能帮我们赚取更多利息。

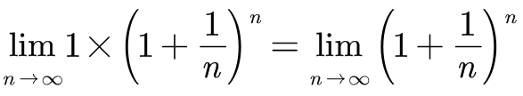
下面考虑一种理想状况,也就是假定有这样一家银行,它一年的存款利率是100% (简记为1),并允许我们自由选择结算利息的次数。如果我们存入银行1块钱,那么我们一年最多能够赚多少钱呢?
(1) 如果只在年底结算一次利息,由于一年的利率是1,那么一年后我们可以连本带利得到2块钱。


                               
登录/注册后可看大图


                               
登录/注册后可看大图


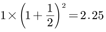
(2) 如果我们要求每半年就结算一次利息,由于半年的利率是1/2,那么一年后我们可以连本带利得到2.25块钱。



                               
登录/注册后可看大图

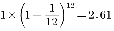
(3) 如果我们要求每一个月就结算一次利息,由于一个月的利率是1/12,那么一年后我们可以连本带利得到2.61块钱。



                               
登录/注册后可看大图

(4) 可以看到,利息结算次数越多,年底获得的收入也就越多。如果我们脑洞大开,要求银行时时刻刻为我们结算利息,也就是说结算利息的次数为无数次,那么我们能否得到无穷无尽的收入,实现数钱数到手抽筋的梦想呢?


                               
登录/注册后可看大图


很遗憾,这个是不可能的!因为我们最终获得的收入其实就是下面这个式子,



                               
登录/注册后可看大图

而数学家的计算已经表明,这个式子的值其实是有限的,其大小为2.718281828…,是一个无限不循环小数,为了使用方便,我们就用e来代表它。所以,e就是复利的极限,或者更广义地说,应该是增长的极限

为什么ex和 lnx 这么常见?

然而,即使明白了什么是自然常数e,作为被高等数学期末考试和研究生考试虐得狼狈不堪的我,还是会冒出以下疑问:

e不就是增长的极限吗,你不好好考我求极限,净考我关于ex和lnx的导数积分是什么意思?

重新翻阅以前的资料我才发现,其实这里涉及到了这两个函数的特殊性质

首先是指数函数。众所周知,指数函数在我们现实世界中具有重要作用(虽然本人并没有感觉到),那么我们便不可避免地需要对指数函数进行求导运算。
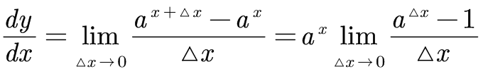
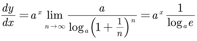
指数函数 y=ax的导数为



                               
登录/注册后可看大图

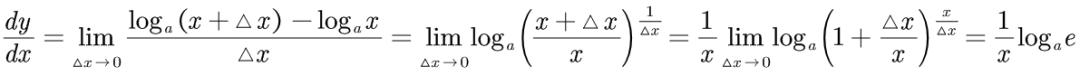
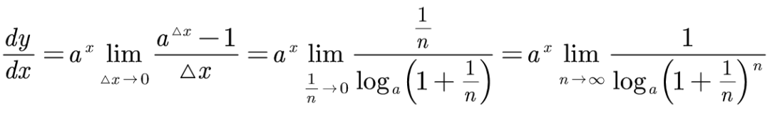
可以看到,要想得到y=ax的导数,需要求得后面的极限,可是如果直接令x→0,是无法得到极限的,怎么办?这里我们转换一下思维,让ax-1=1/n,那么就有x=loga(1+1/n),这个时候就有了

                               
登录/注册后可看大图

哈哈,这个时候我们发现,e的定义派上用场了。去掉讨厌的极限符号,我们可以得到



                               
登录/注册后可看大图

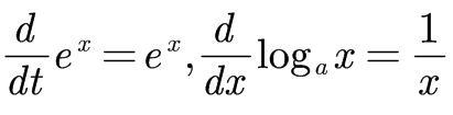
对于有强迫症的人来说,后面那个数字看着真的好不舒服,啥时候能把那个数字去掉啊?答案就是,当a=e的时候,因为这个时候数字正好变成了1。最终,我们把这个特殊的指数函数单拎了出来,使得其区别于其它的指数函数。

既然说到了指数函数,那么不得不提的就是它的另一半y=logax。两个不仅 是天生的一对儿,而且y=logax的重要性并不亚于y=ax,我们来看一下y=logax的导数。



                               
登录/注册后可看大图

可以看到,如果我们也让a=e,常数logae便等于1,此时对数函数的导数形式也最简单。所以说,当a=e时,无论是指数函数还是对数函数,其导数形式都是最简单的。



                               
登录/注册后可看大图

此外,人们为了让关于e的对数函数区别于其它对数函数,甚至还给它另外起了个名字,叫自然对数,并简单记为y=lnx,这也充分凸显了自然对数的重要性

这个时候可能也有人要问了,万一我要用的就是y=2x或者y=log2x呢?没关系,我们可以给它整下容,变成y=exln2或者y=log2elnx,计算方式并没有发生本质变化。

exlnx的现实意义

通过以上分析,我们可以看到,引入关于e的指数函数与对数函数是因为其对应的导数具有极其简单的形式。难道欧拉等那些大数学家已经预料到现在的我们考试压力太大,为了让我们在考试的时候更容易进行求导计算,大动干戈引入了自然常数e?那么…从来没有感觉到自己这么重要呢!


                               
登录/注册后可看大图


哈哈,显然不是那样的!

其实,之所以频繁出现关于e的函数,是因为我们现实世界中有太多问题具有以下特点:即一个量的变化与自身大小相关。而凡是这一类问题,都迫使我们必须引入关于e的指数函数或对数函数。

  • 理想环境下的种群数量


在生物领域,一个简单而又经典的问题便是理想环境下的种群数量变化规律。种群数量越大,种群的增长速率也就越快,种群数量的变化率是和当前种群数量y相关的,于是可以简单描述为

                               
登录/注册后可看大图

我们已经知道,导数等于自身的函数就是y=et。但是因为右边存在一个比例常数l,所以我们可以假定种群数量y随时间t的变化规律符合通用关系y=aebt+c (a≠0),从而有


                               
登录/注册后可看大图

可以发现,要使左右两端相等,需要c=0,b=l,所以种群数量的变化规律符合y=aelt。我们知道,现实中的资源不可能无穷无尽,种群数量也不可能无限增长,可是上述规律却为我们研究早期某一种群数量的变化提供了一个良好的近似。

此外,放射性核素的衰变同样符合上述规律。放射性核素的衰变速率与当前核素的数量N相关,也就是有


                               
登录/注册后可看大图

最终也会导致放射性核素数量的变化符合N=N0 e-lt

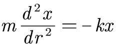
  • 弹簧振子的运动



                               
登录/注册后可看大图

我们再来看一下弹簧振子的运动。弹簧振子的受力和它自身的位移成正比,并且与运动方向相反。根据牛顿第二定律,有


                               
登录/注册后可看大图

我们已经知道,x=et的导数等于自身,那我们当然可以进一步知道,其二阶导数、三阶导数甚至更高阶的导数仍然是它自己。所以这里我们当然还是可以假定x=aebt+c(a≠0),从而有


                               
登录/注册后可看大图

可以发现,要使左右两端相等,需要c=0,b2=-k/m,也就是


                               
登录/注册后可看大图

所以弹簧振子的运动符合


                               
登录/注册后可看大图

可以看到,引入关于e的指数函数与对数函数后,现实中很多问题都得到了顺利求解。当然,除了以上一些问题,还有一些问题,如LC振荡电路、原子轨道等,对这些问题的求解都必须引入自然常数e。所以说,引入自然常数e是人类认识自然现象的必然选择,而反过来,自然常数e对人类文明的发展也产生了重大影响。在此,我们不得不佩服那些具有深刻洞察力并大胆引入自然常数e的数学先驱。


                               
登录/注册后可看大图

e的一些有趣性质

此外,随着e的广泛应用,人们还发现,e的性质远远不止上述所提及的那么简单,它还具有很多其它有趣的性质。


                               
登录/注册后可看大图


                               
登录/注册后可看大图
好了,e的故事讲完了。简单总结一下就是,人们在生活中经常遇到一个量的变化与自身大小相关的问题,为求解这类问题必须引入关于e的指数函数与对数函数,并定义e=lim(1+1/x)x (x→∞),而e的定义表明其实这个值就是增长的极限。

个人觉得我们学数学时之所以会感到困惑,是因为我们的老师只给我们讲述数学理论,却并没有和现实中的一些实际问题结合在一起。而改善这一局面最好的方法就是我们自己要勤于思考,善于总结,争取在教育下一代的时候不要让他们产生与我们相同的困惑。

本文作者:王艳宁,男,26岁,西安交通大学在读博士,数学物理爱好者,崇拜Dr. Sheldon Cooper!

本文系网易新闻·网易号“各有态度”特色内容
本文由超级数学建模社区“灵魂写手”提供


大道至简 万物于弧
*滑动验证:
您需要登录后才可以回帖 登录 | 立即注册

本版积分规则

手机版|Archiver|小黑屋|国际弧学研究会    

GMT-7, 2026-1-24 09:32 , Processed in 0.604003 second(s), 22 queries .

Powered by Discuz! X3.1

© 2001-2013 Comsenz Inc.

快速回复 返回顶部 返回列表