设为首页收藏本站

弧论坛

 找回密码
 立即注册
搜索
热搜: 活动 交友 discuz
查看: 3857|回复: 0
打印 上一主题 下一主题

地球的质量是否恒定?

[复制链接]

5919

主题

6627

帖子

7187

积分

坛主

Rank: 10Rank: 10Rank: 10

积分
7187
跳转到指定楼层
楼主
发表于 2018-4-27 18:30 | 只看该作者 回帖奖励 |倒序浏览 |阅读模式
地球的质量是否恒定?| No.102

Original
2018-04-27
Frions
中科院物理所


天地浑沌如鸡子,盘古生其中。万八千岁,天地开辟,阳清为天,阴浊为地。盘古在其中,一日九变,神于天,圣于地。天日高一丈,地日厚一丈,盘古日长一丈,如此万八千岁。天数极高,地数极深,盘古极长。后乃有三皇。数起于一,立于三,成于五,盛于七,处于九,故天去地九万里。
— —《三五历纪》

自盘古开天辟地以来,啊不,自地球诞生以来,地球的质量是个常数吗?


1Q
地球是否会和太空产生物质交换?假设不产生任何交换的情况下,地球的质量是否是个恒定数?

by 匿名君
A
地球和外界的物质交换太多了。首先,大气层顶端就不断有气体分子不安分地逃逸,这是最直接的和太空之间的物质交换了。太空中还流浪着许多星际气体、尘埃,也会被地球引力捕获。其中较大的流浪者在坠入大气层时与大气摩擦生热,发出光亮,就是流星。而足够大的入侵者在大气层中来不及烧完,就落到地面上,就是陨石。另外还有能量交换,地球不断向太空散热,而又接收到来自宇宙中的各种辐射,主要是来自太阳的辐射。生产者(主要是植物)又可以用太阳光进行光合作用储存大量能量。除了辐射,宇宙中天体主要是太阳、月球,会对我们产生极大的引力,潮汐就是因此产生,这也是一种能量的传输。所以地球的质量还是时常在变动的,只不过相对于地球这么大的质量来说都是毛毛雨啦!
By 起个笔名真难

2Q
为什么同样是由C、H、O组成的有机物,汽车会积碳而人体不会积碳?有什么借鉴意义?

by 聚乳酸发泡材料
A
有机物有一个特点,虽然其组成元素以C、H、O为主,但是这三种元素的数量、比例可以千变万化,并且其空间排布也不一样,因此表现出不同的物理性质、化学性质。比如汽油很容易就燃烧了,但是食用油就不容易。也就是说,首先汽车的燃料和人体摄入的有机物就不一样,如果给人吃碳渣,肠道里也会积碳。
其次是因为发生的化学反应不一样,燃烧是在氧气存在时发生的剧烈的氧化反应,由于空气供给不足造成燃烧不充分,化学反应便会进行的“不完全”,便产生了积碳。比如碳在氧气中充分燃烧时会产生二氧化碳,但在氧气不充足时则会产生部分的一氧化碳。而葡萄糖在人体内的氧化反应要经历一系列过程,会涉及到各种酶以及中间产物的精密调控,最终变成二氧化碳和水并释放大量的能量(感兴趣的同学可以查询关键词:糖酵解、三羧酸循环、氧化磷酸化,或参考王镜岩《生物化学》下册)
当然,葡萄糖在体内也可能“燃烧不充分”,这时候会产生乳酸,注意有氧或无氧并不是你呼吸的舒适与否,而是身体运动需要大量能量与氧气不足导致有氧呼吸能量供给不足的矛盾。
因此为了避免运动后肢体酸痛,便需要温和、逐渐加大量的运动,并时常动一动。至于汽车积碳怎么预防、怎么清理,我是不会暴露我老司机的身份的。
借鉴嘛.....如果你女朋友不是从事特定科研工作的,别送石墨烯,送钻石吧!
By Patwf

3Q
学物理能做什么?

by 匿名君
A
大多数不从事物理相关工作的人其实都会有这个疑问,尤其是在被迫学习物理并觉得吃力时。因此我不能站在一个从事物理相关研究人员的角度来解释学物理的作用,我并非招生办工作人员,读者大多数也不是面临填报志愿的学生。应该回答的实际上是这么一个问题:对于工作与物理不相关的人来说学物理有什么用?
对于中学生来说,学习物理一方面会学到一些常识性的科学知识,另一方面,更多的是对思维方式的一个锻炼。比如谢耳朵很懂物理,思维方式便与常人不一样,而一般情况下,学习一些基础物理会让人变的理性、有智慧。中学阶段学的物理是通识教育的一部分,就好比体育运动之于身体,它是生活的一部分,为了让我们更健康的工作与生活。不打算当运动员,但为了减肥为了健康还是会跑跑步打打球,同样的,不想当物理学家/数学家,但为了思想更理性更有调理更敏捷,学点物理与数学。
对于不从事物理相关工作的人来说,学习物理的价值在于一些间接的收益。也许你现在由于课程安排不得不学物理,觉得物理很难,但当你真的把它讲的东西搞明白时,你对物理的态度就会发生变化。
最后举一个简单的例子,如果你物理学的好,就可以给各种女同学讲题,至于这件事能带来什么好处,就看你的本事了。
By Patwf

4Q
一个水分子能否表现出水的性质?

by  L.S.C
A
应该是不能。就好像一个和尚挑水喝,两个和尚抬水喝,三个和尚没水喝一样,多个水分子表现出来的性质和一个水分子表现出来的是不一样的。我觉得最大的区别就在于多个水分子之间可能存在的氢键,而单个水分子是不存在氢键的。氢键虽然很弱,但是对水的性质的影响是非常大的,举几个例子:第一,氢键使水有一个相对较高的沸点,据说没有氢键,水的沸点会降到零下,可以想象,常温下没有氢键,基本上就没有液态的水了,人类也就没法正常生活了;第二,氢键使水有较大的比热容,所谓的比热容就是单位质量物质升高1℃所吸收的热量,因为水中有大量的氢键,所以拆散这些氢键需要吸收更多的能量,因此比热容会比较大;第三,氢键可以增加溶剂的溶解度,如果极性分子能够和水分子形成氢键,那一般来说这种溶剂的溶解度就比较大,比如氨水。大概举这几个例子,希望能解决您的疑惑。
By dj

5Q
黑色算是一种颜色么?黑色和黑洞的区别是什么?阳光射在黑色的衣服上后去哪里了?

by 匿名君
A
黑色算是一种颜色,它是缺少可见光或者可见光完全吸收的结果,也是一种没有色调(非彩色)的颜色。但是在光谱中是没有黑色的,没有一种波长的可见光是黑色,而各种颜色组合在一起可以使视网膜产生黑色的效果。
黑色和黑洞的区别:黑洞是一个天体,有质量(而且非常大),而黑色只是一种感官上的颜色。由于黑洞有着巨大的质量,所以它能够产生的巨大的引力场,任何物质都不能逃脱该引力场包括光,也正是如此,黑洞在外观上表现就是黑色,它不会反射任何光(但是黑洞还是有辐射的,著名的霍金辐射理论就是描述黑洞的辐射的)。而一般的黑色物体,吸收可见光的原因不是由于它产生了引力场,而是由于物体里面的电子吸收了可见光光子的能量跃迁至更高的能级。因此,黑洞和黑色物体表现出黑色的原因也是不一样的。
当阳光照射在黑色的衣服上后,可见光就被衣服吸收了,而不会反射进入我们的眼睛,因此看起来就是黑色的。另外有一个直观的感受,就是夏天的时候穿黑色的衣服会比穿白色衣服热,其中一部分原因就是黑色衣服更能够吸收各种波长的光并将其转换成了热能。
By dj

6Q
什么是半衰期?

by wolf
A
半衰期这个词语在物理学、化学、医学等领域都有,本回答着重讲解物理学上的半衰期。放射性元素会发生衰变,对于单个原子来说其在何时发生衰变是不确定的,即有一定几率发生衰变。比如扔一枚硬币,单次来说正面或者反面朝上的概率为1/2,但是扔上10次不一定会有5次朝上5次朝下,而当扔硬币的次数增多,将越来越趋于一半向上一半向下,即便不是严格的1比1,偏差也会很小。半衰期的含义是放射性原子衰变至原来数量一半所需的时间,是一个具有统计意义的量,也可以理解为在时间T内,放射性元素衰变的概率为1/2,由于原子的数量非常多(1 mol = 6.02 x 1023),因此数量上便是一半衰变,一半没有衰变。也就是说初始若有N个原子,那么T时间后剩余N/2个没有衰变,再过T时间,则剩余N/4个没有衰变,以此类推。由于半衰期是以存在大量原子为前提的统计值,因此随着原子数减小半衰期将发生变化,进而变得没有意义,例如只剩下10个原子时,时间T后虽然剩余5个原子的概率最大,但是衰变4个,6个也是有很大可能的,反过来说,衰变5个的时间便不一定是T了。就好比扔10次硬币不一定是5次朝上5次朝下,同样的,想出现5次朝上不一定要扔10次。
最后从数学上对半衰期进行一个推导。容易理解,衰变的多少与时间t有关系,并且与所剩余的未衰变原子数N有关,用公式来描述就是

                               
登录/注册后可看大图
dN是单位时间衰变的原子数, 为衰变常数。对这个式子进行积分,当 t =0 N = N0即初始的原子数量,即

                               
登录/注册后可看大图
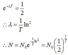
若半衰期为T,则当 t = T 时,N = N0 /2

                               
登录/注册后可看大图
By Patwf

7Q
为什么说高于绝对零度的物体会产生红外线,红外线究竟是怎么产生的?

by 三点十分
A
首先,温度高于绝对零度的物体会产生的红外线的原文应该是“温度高于绝对零度的物体会产生热辐射”。要知道红外线如何产生,先要了解热辐射的产生原因。物体因自身的温度而具有向外发射能量的本领,这种热传递的方式叫做热辐射。下面作简单介绍,高于绝对零度时,在物质内部,电子、原子、分子都在不断地运动,有很多可能的、稳定的运动状态,各具有一定的能量。如果有外界的刺激或干扰,把适当的能量传递给电子、原子或分子,后者就可以改变运动状态,进入能量较高的状态。当电子、原子或分子在高能态跃迁到低能态时,可能以辐射的形式把多余的能量释放出来。红外线的波长范围很广,包括1mm到760nm,涵盖了室温下物体的热辐射波段。
By 勿用
大道至简 万物于弧
*滑动验证:
您需要登录后才可以回帖 登录 | 立即注册

本版积分规则

手机版|Archiver|小黑屋|国际弧学研究会    

GMT-7, 2025-12-14 20:27 , Processed in 0.602459 second(s), 22 queries .

Powered by Discuz! X3.1

© 2001-2013 Comsenz Inc.

快速回复 返回顶部 返回列表