设为首页收藏本站

弧论坛

 找回密码
 立即注册
搜索
热搜: 活动 交友 discuz
查看: 4566|回复: 0
打印 上一主题 下一主题

原来,这些我们都默认科学家早已解决了的问题,至今仍然无解

[复制链接]

5923

主题

6632

帖子

7192

积分

坛主

Rank: 10Rank: 10Rank: 10

积分
7192
跳转到指定楼层
楼主
发表于 2018-3-5 02:56 | 只看该作者 回帖奖励 |倒序浏览 |阅读模式
原来,这些我们都默认科学家早已解决了的问题,至今仍然无解

2018-03-04
本文来源于
知乎
作者:酱紫君、帅帅鸡、我姓姬、李
永乐老师
由超级数学建模编辑整理


                               
登录/注册后可看大图
有哪些大家默认"科学家肯定已经搞懂了"
而实际上没人能解释清楚的问题?

@酱紫君

比如说....  

                               
登录/注册后可看大图
不是个整数...
你可能觉得这™有什么好证的
也是, 算出来不就能证明了
但你算过??




                               
登录/注册后可看大图
虽然不知道是不是正规数但至少是超越数

                               
登录/注册后可看大图
虽然不知道是不是超越数但至少是无理数

                               
登录/注册后可看大图
虽然不知道是不是无理数但至少不是整数

                               
登录/注册后可看大图
可怜我们连这个是不是整数都不知道



update:
觉得超算就能搞定那真的naive...
你不要和我说你的巧妙解法,我不听我不听
你去投论文好了
真的,你要能证出来拿个小奖可以的

update2:
这个数有 666 262 452 970 848 503位数.
计算成本不可接受
另外感谢@sammy711
查证

                               
登录/注册后可看大图
是个无理数还未证明.

这个得等Schneider猜想搞定后才行了....
我怎么记得这个有人证过了呢.....

update3:
你不要说两个超越数指数怎么可能是有理数...
还能是整数呢我和你说...
根据 Lindemann-Weierstrass 理论


                               
登录/注册后可看大图

这两个都是超越数,然而

                               
登录/注册后可看大图


                               
登录/注册后可看大图
@帅帅鸡



                               
登录/注册后可看大图
(提前声明:部分内容摘自百度百科)
——————————————————————

数学,作为人类最伟大的发明之一,已存在数千年之久。
数学发展至今,汇集了无数天才、学士的智慧结晶,一代又一代人前赴后继,将数学一次又一次推到前所未有的新高度。

在数学已经高度发达的今天,在高等数学大行其道的今天,在圆周率可以精确到小数点后10的77次方位的今天,谁也想不到会横空出世一道简洁的基础代数题,一道简单到小学生都能看懂的题,竟赤裸裸站在了数学大厦对立面,任人类气急败坏它仍岿然不动。
我要说的,就是(非零)自然数。

作为数学史上最古老最基础的概念之一,(非零)自然数,千年后卷土重来,藐视众生。

它就是角谷猜想,又叫冰雹猜想,所有数学家的噩梦。
1976年的一天,《华盛顿邮报》于头版头条报道了一条数学新闻。文中记叙了这样一个故事:

70年代中期,美国各所名牌大学校园内,人们都像发疯一般,夜以继日,废寝忘食地玩弄一种数学游戏。这个游戏十分简单:任意写出一个(非零)自然数N,并且按照以下的规律进行变换:

如果是个奇数,则下一步变成3N+1。
如果是个偶数,则下一步变成N/2。

不单单是学生,甚至连教师、研究员、教授与学究都纷纷加入。为什么这种游戏的魅力经久不衰?因为人们发现,无论N是怎样一个数字,最终都无法逃脱回到谷底1。准确地说,是无法逃出落入底部的4-2-1循环,永远也逃不出这样的宿命。
这就是著名的“冰雹猜想”。

连小学生都能看懂和验证的题目,耗尽了人类数千年的智慧仍旧猜不透此中玄机。据日本和美国的数学家攻关研究,在小于7*10^11的所有的(非零)自然数,都符合这个规律。就像宇宙中的黑洞可以将任何物质,以及运行速度最快的光牢牢吸住,这个数学黑洞牢牢吸住了所有(非零)自然数。


                               
登录/注册后可看大图

冰雹猜想最大的魅力在于不可预知性。英国剑桥大学教授John Conway找到了一个自然数27。虽然27是一个貌不惊人的自然数,但是如果按照上述方法进行运算,则它的上浮下沉异常剧烈:首先,27要经过77步骤的变换到达顶峰值9232,然后又经过34步骤到达谷底值1。全部的变换过程(称作“雹程”)需要111步,其顶峰值9232,达到了原有数字27的342倍多,如果以瀑布般的直线下落(2的N次方)来比较,则具有同样雹程的数字N要达到2的111次方。其对比何其惊人!

尽管已经有无数数学家和数学爱好者尝试过,其中不乏天才和世界上第一流的数学家,但他们都没有成功。二十年前,有人向数论学家保尔·厄尔多斯(Paul Erdos)介绍了这个问题,并且问他怎么看待现代数学对这个问题无能为力的现象,他回答说:“数学还没有准备好回答这样的问题。”尽管此问题的奖赏金额一升再升,这个猜想至今无人证明,也无人推翻。

有位图论专家讲到一种神奇的思想,把这比作为一棵参天大树, 下面的树根是连理枝1-2-4,至于上面的枝枝叶叶则构成了一个奥妙的通路,把一切(非零)自然数统统都覆盖到了。这位专家强烈地预感,猜想肯定是真的,但用迄今已知的一切数学手段都无法加以证明。它也许是“造物主”对于人类智慧的一种嘲弄,一种“挑战”。
同时冰雹猜想与蝴蝶效应的逻辑关系恰好相悖。蝴蝶效应蕴含的原理是:初始值的极小误差,会造成结果的巨大不同;而冰雹猜想恰恰相反,无论刚开始存在多么大的误差,最后都会自行修复,这也是冰雹猜想最为神奇之处。

@我姓姬

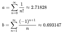
在自然数中,有一种从左往右,从右往左读起来都相同的数,叫做“回文数”,例如11,101,121,1111等

如果有一个数不是回文数,比如说19,那么把它左右两边顺序的数相加:19+91=110,继续相加:110+011=121,得到121就是回文数,

再比如253:253+352=605,605+506=1111,1111就是回文数,

那么所有的自然数都有这样的规律吗?

不知道。

有个计算器不就行了?

哈哈,问得好,
有一个数196,可以试一下,
没几下计算器就满了,

那用电脑或者超级计算机行不行呢?

哈哈,问得好,
有人用超算算出了200万位的数,还是没找到那个回文数,
还有人用分布式算了几十亿步,得到一个6亿位的数,还是没找到,

如果有一个数无法通过上面的步骤得到回文数,这个数就叫利克瑞尔数,196就是最小的“疑似”利克瑞尔数,到底是不是,谁也不知道,

就这么一个看起来简单相加的问题,目前还没人能证明,
科学家这么无聊吗,没事算这个?

当然不是,哥德巴赫猜想也很无聊,看起来也没用,
如果有人能用理论来证明是否存在利克瑞尔数,而不是暴力相加,没准能从证明过程中发现新的大陆。

@李永乐老师

甩鞭子为什么会啪啪啪。


                               
登录/注册后可看大图

甩鞭子时候会发出啪的一声,科学家们已经认识到这是由于在鞭子甩动的过程中末端速度超过音速产生的音爆效应,但是具体原理的探讨直到现在还在进行。

一个简单通俗的解释是甩动鞭子的过程中鞭子具有一定动能,而甩动时由于一端A被手握住,动能就被不停的驱赶到左边运动的一段。但由于B端向下运动,左段越来越短,质量越来越小,就造成B端速度越来越快,从而超过声速,产生音爆。


                               
登录/注册后可看大图

显然,这个模型是很粗糙的。因为在甩鞭子的过程中鞭子的动能没理由保持不变。而且,最后发出声音的部分究竟是末梢,还是中间部分,也存在很大争议。例如PRL上的这篇论文认为声音来源于鞭子中间形成的圆圈。


                               
登录/注册后可看大图

软绳问题是至今难以解决的问题之一。

再比如一根竖直棍子上连接一个绳子,当棍子旋转起来时绳子被甩开,求稳定时绳子的形状。


                               
登录/注册后可看大图

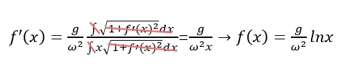
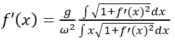
基本分析方法是微元法。但在微元法过程中,绳子微元长度与角度变化角度是等阶小量,二者之比是曲率半径,因此不能认为每个绳子微元两端的力是反向的。有些同学按照下面的方法求解出对数函数,就是犯了这个错误。


                               
登录/注册后可看大图

实际上,绳子的形状可以通过一个复杂的微分方程求解,如下:
(经原作者李老师提醒,公式有修正)


                               
登录/注册后可看大图

这个方程的解析解难以找到,只能通过计算机做一些数值解。这是某位大神为我用计算机模拟出来的结果。


                               
登录/注册后可看大图


                               
登录/注册后可看大图
ps 当我讨论这个问题时居然有个物理学博士非跟我说绳子的形状是对数,她说要把上下两个根号约分就可以了,并让我回去重学微积分。


                               
登录/注册后可看大图

                               
登录/注册后可看大图

                               
登录/注册后可看大图


                               
登录/注册后可看大图


来源:知乎、超级数学建模
编辑:AHa


大道至简 万物于弧
*滑动验证:
您需要登录后才可以回帖 登录 | 立即注册

本版积分规则

手机版|Archiver|小黑屋|国际弧学研究会    

GMT-7, 2026-1-25 12:29 , Processed in 0.821735 second(s), 22 queries .

Powered by Discuz! X3.1

© 2001-2013 Comsenz Inc.

快速回复 返回顶部 返回列表