设为首页收藏本站

弧论坛

 找回密码
 立即注册
搜索
热搜: 活动 交友 discuz
查看: 5102|回复: 0
打印 上一主题 下一主题

数学之美|欧拉传奇|π之旅

[复制链接]

5943

主题

6662

帖子

7222

积分

坛主

Rank: 10Rank: 10Rank: 10

积分
7222
跳转到指定楼层
楼主
发表于 2017-10-8 16:49 | 只看该作者 回帖奖励 |倒序浏览 |阅读模式
数学之美|欧拉传奇|π之旅

2017-09-24
Surein
Aziz/善科 天文物理


数学之美Surein Aziz作者简介
Surein Aziz, 他写这篇文章时17岁,是高中学生。他认为数学有意思并很美妙,很多难以置信的结果可以从一系列的逻辑推理中和寻找规律中得到。他喜欢花很多时间考虑有趣的数学问题,并且希望读完中学后可以去大学读数学。他第一次接触到欧拉等式是从电视节目上看到的;这激发了他的钻研兴趣。

                               
登录/注册后可看大图

1人物名言

虽然不允许我们看透自然界本质的秘密,从而认识现象的真实原因,但仍可能发生这样的情形:一定的虚构假设足以解释许多现象。

因为宇宙的结构是最完善的而且是最明智的上帝的创造,因此,如果在宇宙里没有某种极大的或极小的法则,那就根本不会发生任何事情。


2人物速读
欧拉1707年4月15日出生于瑞士,在那里受教育。他一生大部分时间在俄罗斯帝国和普鲁士度过。欧拉是一位数学神童。他作为数学教授,先后任教于圣彼得堡和柏林,尔后再返圣彼得堡。欧拉是有史以来最多遗产的数学家,他的全集共计75卷。欧拉实际上支配了18世纪的数学,对于当时的新发明微积分,他推导出了很多结果。在他生命的最后7年中,欧拉的双目完全失明,尽管如此,他还是以惊人的速度产出了生平一半的著作。



[size=1em]通常,当阅读一本不错的数学书时,作者将一个特别复杂的证明、定理或想法解释得很透彻,并提到数学所涉及到的“美”。我一直想知道,这究竟意味着什么。我错过了一个特别利落的示意图吗?难道那些被深藏不露的数学美真的需要拿一个博士学位才能欣赏?

我曾认为后者在起作用------也许有一天,经过多年最高水平数学的学习,我突然窥见到一些不可思议的深刻真理,并从看起来枯燥琐碎的公式里体验到那令人难以置信的美。
[size=1em]

                               
登录/注册后可看大图

数学就像浓密的丛林——很难去参透。
[size=1em]
但实际上,我认为你不必花太多的精力就可以一瞥数学家关于美的深层含义。这就是下文我所要试图说服你的。数学有点像一个密集的、永无止境的丛林,可以让你觉得不时会远离它,很难到达你想去的地方。但如果你停下来看看四周,你经常会看到令人难以置信的、充满异国情调的植物和动物。

下面我试图介绍我认为很美丽的一件特别事情,这是我在一个电视节目中看到的。当时我几乎不知道是什么意思,当然也不知道它是怎么来的,但我有兴趣去了解更多的信息。

我说的是欧拉等式

                               
登录/注册后可看大图

现在你可能认为我疯了。它有什么美?那么,我应该提醒你,不只是我------《数学信使》读者的投票把它选为“数学中最美丽的定理”。物理学家理查德·费恩曼认为该公式“是所有数学中最卓越的、最惊人的公式之一”。

但是,它到底有什么特别之处呢?首先,我应该解释符号的真正含义是什么。

你可能很熟悉π,它是圆的周长与直径之比。数e也是一个常数,你可能不是很熟悉它,它是自然对数之底。e的前20位小数为e=2.71828182845904523536
[size=1em]e和π均是无理数------它们有无限多个小数位,你不能把它们写成一个整数除以另一个整数。

这三个数中可能最奇特的是i。它是−1的平方根,即i2=−1,称为虚数。你不能在通常数轴的任何地方找到它,因为没有实数的平方为负数。


                               
登录/注册后可看大图

欧拉是最伟大且最多产的数学家之一
[size=1em]
你开始得到欧拉等式之美的念头吗?如果你把常数e取π乘上i的次方,然后拿走1,你会得到0。三个非常奇怪的数字,它们没有任何明显的方式联系在一起,一结合却给出这样一个普通而熟悉的结果,是不是有点古怪?

那么,为什么会出现这种情况呢?最奇怪的问题是:我们怎样取一个数的i次方?但实际上,得到欧拉等式并不困难,这也是它美妙的一个方面!但首先你必须看看导出这个美丽等式的一般的欧拉公式:

                               
登录/注册后可看大图

这个看上去也一样整洁漂亮,不是吗?但是,要理解这个公式是如何来的,我们需要一样东西,叫做泰勒级数。确有一种方法能将像sin(x)或cos(x)这样的函数表达为无穷和的形式。他们由数学家布鲁克·泰勒发现(他也是裁定牛顿和莱布尼兹是谁先发明微积分的委员会成员)。

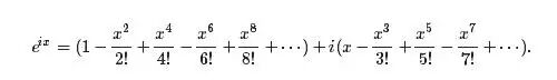
函数ex的泰勒级数是

                               
登录/注册后可看大图
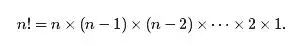
[size=1em]其中n!(读做n的阶乘)表示乘积

                               
登录/注册后可看大图

你可以用计算器来验证这个泰勒级数:选取一个数x,看看计算器给ex什么样的值。再然后使用计算器算出和

                               
登录/注册后可看大图

的值,如果n比较大的话,你会发现结果几乎等于你得到的数ex,且添加的求和项数越多,两个结果越靠近。在某些时候,计算器上的两个结果是一样的,因为计算器无法检测它们之间的微小区别。当你对无穷多项求和时,两个结果是一模一样的。

出现在欧拉公式的其他两个函数的泰勒级数为

                               
登录/注册后可看大图

同样,你可以用计算器检验,请记住角度x是用弧度,而不是度数。

现在,让我们将泰勒级数中的变量x换成ix,得到

                               
登录/注册后可看大图

但是,某些i的次方可以简化,例如,由定义i2=−1,所以i3=−i及i4=1,等等。因此,上式可简化为

                               
登录/注册后可看大图

我们可以将涉及i的项合并在一起,给出

                               
登录/注册后可看大图

注意到这两个级数与上面的sin(x)和cos(x)的对应级数一样,所以我们将它们代入而得到

                               
登录/注册后可看大图
这就是欧拉公式。

我们现在要做的是让x=π。由于sin(π)=0及cos(π)=−1,我们得到

                               
登录/注册后可看大图



                               
登录/注册后可看大图

所以你看,在一系列不算太复杂的数学运算后,我们回到了我们开始的地方:欧拉等式。我认为这个等式很美:它将非常奇怪的数与很基本的数联系在一起。理解了为什么工作,感觉上有点像通过数学丛林,踩在一条鲜为人知的路径上,到达厚厚灌木丛中的某个秘密目的地。

转自善科网
作  者:Surein Aziz
翻 译:丁玖,密执安州立大学博士,南密西西比大学数学教授
校 对:汤涛,香港浸会大学数学讲座教授
(原文有改动)
[size=1em]刊发-微信公众号:博科园
[size=1em]微信号:Bky-natural-sciences


大道至简 万物于弧
*滑动验证:
您需要登录后才可以回帖 登录 | 立即注册

本版积分规则

手机版|Archiver|小黑屋|国际弧学研究会    

GMT-7, 2026-4-25 00:35 , Processed in 0.592384 second(s), 22 queries .

Powered by Discuz! X3.1

© 2001-2013 Comsenz Inc.

快速回复 返回顶部 返回列表