设为首页收藏本站

弧论坛

 找回密码
 立即注册
搜索
热搜: 活动 交友 discuz
查看: 10434|回复: 0
打印 上一主题 下一主题

混沌理论到底是什么——从蝴蝶效应出发

[复制链接]

5919

主题

6627

帖子

7187

积分

坛主

Rank: 10Rank: 10Rank: 10

积分
7187
跳转到指定楼层
楼主
发表于 2017-7-9 23:32 | 只看该作者 回帖奖励 |倒序浏览 |阅读模式
混沌理论到底是什么——从蝴蝶效应出发

2017-07-01
杨夕歌
中科院物理所



                               
登录/注册后可看大图
赤橙黄绿千百色,东西南北伴芳眠。
梦里庄周游云雾,却见夏蝶迎秋山。
才子佳人泪执手,花丛翩翩续前缘。
作茧自缚何足惧,待得春风满人间。
——by 小编

正如开头诗所言,自古以来,蝴蝶就伴随着许许多多如梦似幻的意向,出现在各种文献中,其中最出名的莫过于庄周梦蝶,梁祝化蝶这类典故了。蝴蝶是文人们睡梦里的常客,是连接梦境和现实之间的纽带;抑或是才子佳人的寄托,在现实过于残酷的时候在来世中淡化悲剧色彩。古人擅长遐想,今人则擅长励志——毛虫破茧成蝶的蜕变过程,则为各种现代散文小说所津津乐道,并俨然成为青春期成长的代名词。或许很多读者在中学作文中都使用过“破茧成蝶”的素材。

不过蝴蝶可不仅仅只出现在文学作品中,也不只是中国人的专利。著名的“蝴蝶效应”最早则是由美国数学家兼气象学家爱德华∙罗伦兹(Edward Lorenz,区别于物理学家洛伦兹Lorentz)于1963年提出[1]。这一概念一经提出便引起轩然大波:在学术界,洛伦兹因他的这篇论文被誉为“混沌理论之父”[2];在商业圈,蝴蝶效应经常被企业家们当作“细节决定成败”的理论信条;在娱乐圈,《蝴蝶效应》也多次作为科幻电影出现在荧幕上,留给观众热烈的讨论。


                               
登录/注册后可看大图
爱德华∙罗伦兹

以讹传讹的蝴蝶效应
那么蝴蝶效应到底是什么呢?或许多数读者都听说过这么一个比喻:“一只南美洲亚马逊河流域热带雨林中的蝴蝶,偶尔扇动几下翅膀,可以在两周以后引起美国得克萨斯州的一场龙卷风”。这个比喻的目的是想告诉我们,任何一个看似微不足道的变化都可能引发巨大的连锁反应。

事实上上面这个广为流传的比喻有诸多不合理之处。当小编第一次看到这个解释的时候一直心生疑惑,既然蝴蝶在美国的地位并没有在中国那么高,那么为什么一定要用“蝴蝶效应”来描述这个现象,为什么不是蚂蚁效应、蜻蜓效应呢?既然蝴蝶拍拍翅膀就能引发龙卷风,那小编趴地上做几个俯卧撑,只怕会引起美洲大陆和欧亚大陆碰撞了。


                               
登录/注册后可看大图
很显然,“蝴蝶效应”的原本解释具有误导性

既然我们所经常听说的解释不那么正确,但“蝴蝶效应”这个词又的确是由罗伦兹本人本人创造的。那么罗伦兹到底是怎么想的呢?我们来看看他的这篇论文到底说了什么[1]。

奇异吸引子(Strange Attractor)——非线性系统的一大杰作
尽管论文[1]研究的是天气系统的变化,并且发表在了大气科学年刊上,但这篇文章的灵魂其实是一个三元一阶常微分方程组:


                               
登录/注册后可看大图

有微分方程基础的读者都知道,这看起来是一个很简单的方程组,怎么会有这么大的名气呢?我们先暂时不关心x,y,z具体表示什么,先看看当有微分方程基础的读者都知道,这看起来是一个很简单的方程组,怎么会有这么大的名气呢?我们先暂时不关心x,y,z具体表示什么,先看看当 u=28 时,上述方程数值模拟的结果:

                               
登录/注册后可看大图
x,y,z的三维图,是不是有几分像蝴蝶?

所以,这才是罗伦兹命名“蝴蝶效应”的真实原因。

不过这么一幅蝴蝶般绚烂的模拟图,似乎应该是艺术家们的宠儿,这又是如何同神秘莫测的混沌理论拉帮结伙的呢?事实上只要我们把初始条件稍微修改一点点,我们立马就得到了完全不同的模拟结果(代码可参见[10],小编用了Java中的StdDraw包):

                               
登录/注册后可看大图
横纵轴分别是x和z,很像两只蝴蝶的相伴相随

“差之毫厘,谬以千里”,古人的智慧在数学方程式中得到验证,这大概也算是不同思想之间穿越时空的不谋而合了。

分歧理论——混沌理论的命根子
小编在《世界到底是不是确定的?》(传送门)中提到过,所谓“混沌”就是《周易》中的“无极”状态,是混乱和不可预知的代名词。那么如此简单的方程组,为什么就具有不可预知的特性呢?答案:方程右边的非线性特性。

                               
登录/注册后可看大图

如果我们令v表示三维向量,v=(x,y,z),那么我们可以把这个方程分解成线形和非线性两个部分:

                               
登录/注册后可看大图

一个线性微分方程组(又称为线性系统)的解是否稳定,也就是能否得到收敛解,完全依赖于矩阵A的特征值大小。若A的特征值的实部(特征值有可能是复数)全都小于零,那么这个方程一定是稳定的(至少局部稳定)。例如一维情况,v' (t)= -v(t)的解是v(t) = C*exp(-t),当t无限大时,v收敛到0这一点,所以是稳定的;一颗老鼠屎打坏一锅粥,只要有一个特征值的实部大于零,那么很不幸,这个方程的解就只好发散了。

但若A的某个特征值实部为零,情况就复杂了。数学上甚至有一个专门的分支来研究这种情况,这个分支就是所谓的分歧理论(Bifurcation Theory)。分歧理论将凝聚态物理、多体问题、自发性对称缺失、微分方程、微分流形、微分拓扑、群表示论、气候变化等众多前沿领域贯穿成一个整体,是现代数学的一大研究核心。文献[4]、[5]、[6]和[7]分别通过方程(主要基于朗道的平均场和序参数理论)、几何(用流形手段研究哈密顿动力系统)、代数(用群表示论研究解的对称性)和拓扑(用拓扑度理论研究解的宏观结构)四种不同观点看待分歧理论,充分体现了这一领域的多样性,供不同背景和有兴趣的读者参考。

通过简单计算可以发现,若在罗伦兹的方程中取u=1,那么A的有一个特征值λ1正好等于零(因此实部也是零),其他两个特征值λ2、λ3都小于零。更为奇妙的是,若u在u=1附近变化,λ1的符号也会随着变化。就好比婚后家庭的财产稳定性多半掌握在老婆手上,u在1附近的波动从而决定了整个方程的稳定性,所以u=1称之为方程的分歧点(Bifurcation Point)。

                               
登录/注册后可看大图

从这个角度看来,分歧点无非就是使方程稳定性发生变化的模型参数值,而分歧理论的主要目的,就是研究分歧点的性质。尽管文献[4]-[7]研究分歧理论的手段各不相同,但上述宗旨始终不变。

经过简单的计算我们可以发现,当u<1时, v=(0,0,0)是唯一的稳定解;当u>1, v=(0,0,0)尽管也是解,但不再稳定,与此同时出现了两个新的稳定解。不稳定解的个数一分为二,这就是分歧,更准确地讲叫做次临界分歧(Subcritical Bifurcation)。用势能的观点能更好理解这一点(把A(u)想像成一个和u有关的势能函数):

                               
登录/注册后可看大图


有了次临界,自然也有超临界分歧。读者们也许可以猜到,超临界和次临界是一对相反的分歧变换:

                               
登录/注册后可看大图

在数学家眼里,分歧图像则是这样的(以超临界分歧为例):

                               
登录/注册后可看大图
三叉戟分歧

这看起来很像三叉戟,所以上面两种分歧又称为三叉戟分歧(Pitchfork Bifurcation)。以此类推,我们甚至还可以定义四叉戟、五叉戟分歧等。不过数学家们只喜欢考虑最基本的情形,命名的任务就交给语言专家去完成吧。

混沌是怎么产生的?
事实上三叉戟分歧只是分歧点的一种类型。科学家们最感兴趣的分歧点类型,叫做霍普夫分歧(Hopf Bifurcation)。

读者们先不要被这个高大上的外国名字吓到了。作为分歧点的一种,霍普夫分歧归根结底还是由于方程参数变化引起的矩阵特征值变化,只不过从图像上看来,方程的解从一点变成了一个周期解(又叫做极限环)[8]:

                               
登录/注册后可看大图
随着参数变化,蓝色的极限环(周期解)出现又消失,潮起又潮落

和线性方程不同,由于一般情况下非线性方程会有不同的解(例如一元二次方程一般有两个解),每一个解都可能发生分歧现象。而大部分混沌的出现都是由于非线性方程不同解在同一参数下发生霍普夫分歧。这便是非线性系统复杂性的一个根本原因。

例如对于罗伦兹方程而言,当u从u=1(次临界分歧点)增加到u=470/19的过程中,方程的几个解会同时多次发生霍普夫分歧产生极限环,随后极限环又消失。这个三维系统的周期性反反复复,于是就产生了第二部分中的奇特景象。关于具体的理论分析,文献[3]给出了非常精彩而详细的证明(文献[3]是小编见过的最全面的一本偏微分方程专著,前面五章都需要极强的数学基础。若只想了解罗伦兹奇异吸引子的产生原因,可以直接跳至第六章)。文献[9]是相对早期的推导,但不及文献[3]深刻。

值得注意的是,罗伦兹的方程是从流体力学中的纳维・斯托克斯方程(Navier Stokes Equation)的一个变种简化出来的。原方程如下所示:

                               
登录/注册后可看大图
看似复杂的方程实际上就是动量、能量和质量三个守恒定律

罗伦兹方程中的x,y,z分量,其实是把上面方程化成极坐标以后,根据大气环流周期性而确定的一种振幅[3]。如此简单的罗伦兹方程已经展现出了内在的复杂性,而原来纳维・斯托克斯方程的复杂性则更是可见一斑。这就是为什么纳维・斯托克斯方程在工科和数学领域都如此受关注的原因。

化混沌为清流
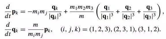
本文介绍的罗伦兹方程只是混沌理论的一个简单例子。很多很多其他例子,例如chua电路[11]、SEIR传染病模型(例如麻疹)[12]和破坏熵增原理的Belousov–Zhabotinskii化学反应[13]等等,在数学模型上和罗伦兹系统非常相似,都是三元非线性方程,这些内容会在以后继续介绍。另外,如果方程只是二元的,那么著名的庞加莱-本迪克松定理(Poincare-Bendixson Theorem)保证此时不会有混沌现象的发生。这就是为什么三体系统会产生混沌,但二元系统则不会。

                               
登录/注册后可看大图
通过哈密顿动力学得到的三体问题的方程描述

混沌理论是研究复杂性的学科,这名字看起来似乎就容易让人敬而远之。但通过本文的介绍,希望读者们都对混沌理论的核心思想有了大概的认识。一言以蔽之,混沌理论的基础是分歧理论,而分歧理论的研究中心是方程解的稳定性是如何发生改变的,其数学本质是方程参数变化诱使矩阵特征值的符号发生变化

科学发展到今天,一方面新的分支在不断出现,另一方面不同分支之间交流之间相互交融,这一点像极了罗伦兹混沌的产生过程——霍普夫分歧不断出现与交互赋予了它蝴蝶般的神秘色彩。不过万物皆有根,就好比混沌理论的“根”栖息于矩阵特征值中一样,如果我们能找到不同分支的共同“根”,这将非常有助于对现代科学的全面理解。

作为结尾,送大家诗一首:
混沌寻根
雨蝶挥翅踏春去,三月扶摇围城来。
青草翠竹君莫笑,等闲山岭千里开。
参数反复初心乱,周期无常混沌灾。
古木参天枝虽密,犹有独根土中埋。

参考文献:
[1] EN. Lorenz, Deterministic nonperiodic flow, Journal of the atmospheric sciences, 1963.
[3] 马天,偏微分方程理论与方法,科学出版社,2011。
[4] Tian Ma and Shouhong Wang, Phase Transition Dynamics, Springer, 2014.
[5] V.I. Arnold, Mathematical Methods of Classical Mechanics, Springer GTM.
[6] Martin Golubitsky et. al, Singularities and Groups in Bifurcation Theory, Springer, 2000.
[7] Hansjörg Kielhöfer, Bifurcation Theory: An Introduction with Applications to Partial Differential Equations, Springer, 2012.
[9] John Guckenheimer, A Strange, Strange Attractor, 1972.
[11] Takashi Matsumoto, A Chaotic Attractor from Chua's Circuit, 1984.
[12] B. M. Bolker and B. T. Grenfell, Chaos and Biological Complexity in Measles Dynamics, JSTOR, 1992.
[13] A. Wolf et. al, Determining Lyapunov exponents from a time series, 1981.


大道至简 万物于弧
*滑动验证:
您需要登录后才可以回帖 登录 | 立即注册

本版积分规则

手机版|Archiver|小黑屋|国际弧学研究会    

GMT-7, 2025-12-18 14:17 , Processed in 0.567813 second(s), 22 queries .

Powered by Discuz! X3.1

© 2001-2013 Comsenz Inc.

快速回复 返回顶部 返回列表