设为首页收藏本站

弧论坛

 找回密码
 立即注册
搜索
热搜: 活动 交友 discuz
查看: 5473|回复: 0
打印 上一主题 下一主题

外星人会有超越人类的视觉吗?皮皮虾说… | No.60

[复制链接]

5919

主题

6627

帖子

7187

积分

坛主

Rank: 10Rank: 10Rank: 10

积分
7187
跳转到指定楼层
楼主
发表于 2017-6-11 20:33 | 只看该作者 回帖奖励 |倒序浏览 |阅读模式
外星人会有超越人类的视觉吗?皮皮虾说… | No.60

Original
2017-06-09
Frions
中科院物理所

1Q
太阳是个什么样的"火"球?
By 火火火
A

太阳的成分主要是氢和氦,也有少量其他元素;能量来源主要是内部核聚变;结构就比较复杂了,从内到外有不同的区层,肉眼看到的可见光主要是从靠近外层的“光球”层发射出来的,温度5000摄氏度左右(随位置变化),从这个角度讲,有点类似超高温火焰;光球包含很多种类的元素,具体成分可以从太阳光谱中推测,原理类似焰色反应。更外层的日冕,温度极高,达到百万摄氏度,因而其中气体极其稀薄,且几乎完全电离。这些等离子体高速运动会带来磁场(太阳磁场来源不止一种);磁场也会影响到等离子体的运动;离子和电子在磁场中的回旋运动和振荡还会带来各种电磁波辐射;另外,磁重联过程释放巨大的能量,也会带来一系列丰富的现象。总之,把太阳比作火球,形象直观,但也过于简单——其中的物理现象要比普通的火焰丰富得多。


2Q
有没有可能外星人的眼睛能接收红外线或者紫外线,比人类的视野更宽阔?
By 花鸟使
A
可能啊,相当可能!其实都不需要外星人——难道题主忘了江湖上名震天下、红极一时的皮皮虾?当然了,不是吃货嘴里那种土里土气的皮皮虾,而是它的亲戚、色彩艳丽的齿虾蛄科孔雀螳螂虾。这家伙至少有16种视觉感受器,其中6种可分辨普通颜色,6种可分辨紫外线,还有4种可以分辨圆偏振光!是不是很逆天?
其实,涉及视觉方面的能力,与生物拥有的视觉感受器种类直接相关,且往往与其生活环境及生存需求密切相关。人类拥有负责感应光强的视杆细胞和负责捕捉颜色的三种视锥细胞;汪星人和喵星人更关心黑夜里捕捉猎物的能力而对颜色需求不大,故视杆细胞更发达而视锥细胞种类比人的少;蜜蜂和蝴蝶天天在太阳下面拈花惹草,可以在紫外线图景下分辨各种花瓣;响尾蛇需要精确感应温度变化、判断猎物位置,红外视觉对其非常重要。
至于皮皮虾嘛,这么逆天的能力居然用来谈恋爱!色彩艳丽的外壳只有Ta能欣赏,圆偏振光的交流暗号也只有Ta能看懂……同在一个地球,尚且如此不同、各怀绝技,那远在宇宙深处的外星人,你猜会怎样呢?

3Q
原子中的电子为什么不会相互排斥,电子之间没有核力吧?
By 爱问问题的好学生
A
原子中的电子是互相排斥的,电子云的结构是原子核与电子的库仑吸引和电子与电子的库仑排斥共同作用的结果。氢原子或者氦离子核外电子的状态很容易计算,但电子较多的原子就很难计算,因为存在复杂的电子-电子相互作用。当然共同的效果还是使电子被束缚在原子周围。所谓核力指的是形成原子核的力,电子之间当然不存在。

4Q
为什么地球的引力没法束缚氦元素?
By 爱物理
A
题主这么问,显然是了解万有引力与逃逸速度的。如果把空气中的分子想象成一颗微型的卫星,则当其速度大于第二宇宙速度11.2 km/s时,就会完全脱离地球引力,飞向浩瀚的宇宙。考虑室温附近气体温度与分子平均动能的关系,可推得方均根速率v=sqrt(3RT/M),其中M为分子的摩尔质量。这说明,总体而言质量越小的气体分子,其运动速度越大。尽管如此,氦(He)原子速率也不过几千米每秒,与第二宇宙速度还差很多呢。可是别忘了,气体实际速率是依概率分布的,即麦克斯韦速率分布,它拖着一条长长的尾巴;也就是说,有少量的分子速度可以很快。虽然这部分分子比例并不高,但是涉及地球演化的过程,时间尺度是很大的,经过亿万年的积累,这部分逃逸就很可观了。当然,由于分子量的不同,气体间的差异也拉大了。这也是地球大气层中氢气和氦气很少,而以氮气、氧气以及更重的气体为主的原因之一。拓展到其它星体,比如月球,引力太小,啥都留不住;火星呢,引力比地球小些,氮气、氧气容易跑,所以大气中主要就是更重的二氧化碳了;而木星引力比地球大得多,其大气中存在大量的氢气和氦气。

5Q
试管刷没刷干净的标准“既不聚成水滴,也不成股流下”有科学依据么?还是生活经验?
By 绒绒的试管刷
A
这个和本专栏上期第4题讲到的浸润和不浸润现象有关(忘记的请复习荷叶为什么打不湿)。实验中的玻璃器皿的主要成分一般为二氧化硅。玻璃表面处的氧原子会与沾到表面的水产生氢键等相互作用,易于与水分子结合,从而表现为浸润。所以干净的玻璃器皿表面沾上的水总是倾向于在玻璃表面铺展开来,形成均匀的水膜。
而假如玻璃表面存在一些未洗净的杂质(通常是一些疏水的有机物),那么沾有杂质的区域就会排斥水的结合,从而破坏水膜的形成,水膜在表面张力的作用下就会聚成水滴,同时让那些浸润性较好的区域集聚的水无法均匀分布,最终成“股”流下。所以这个标准既是生活经验的总结,也蕴含着一般的科学道理。

6Q
帆船为什么能逆风航行?
By 小麦
A
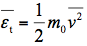
帆船逆风航行的主要动力来自于两个方面,一个是风对帆的冲击作用,一个是流体压强的伯努利效应,这两种作用产生的推力都接近垂直于帆面。当然,平面帆型的帆船主要靠前一种,而对于大多数帆船的动力则主要来源于后一种。
帆船迎风航行时,帆面张成弧面。空气从帆的凸面流过的时候要比从凹面流过的路径更长,速度更快,产生的压强比背侧(即凹面)小。这个压力差将会给船一个向着帆凸面前进的力。通过适当调整帆的角度就能够使船获得前进的动力分力。


                               
登录/注册后可看大图
船帆所受气压图示(图片来自网络)

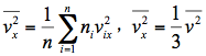
而由于船体形状的原因,水对船侧向阻力很大,平衡掉了船帆获得推力的横向分量,船就会向前航行了。当然,船没法完全沿着逆风方向行驶,而是肯定和风向有一个夹角。所以需要通过及时转舵和调整帆的方向,才可以使船沿着逆风方向呈“之”字形的路线前进。


                               
登录/注册后可看大图
帆船逆风航行路线示意图,其中粗箭头表示船所受到的合力方向(图片来自网络)

7Q
纸湿润过后再晒干,为什么会变皱变硬?
By 天然
A
要回答这个问题,我们需要了解造纸的基本过程。
纸张主要是由纤维(以植物纤维为主)和其它固体颗粒物结合而成的多孔性网状材料,植物纤维的主要成分是纤维素。造纸的第一步就是将纤维分散在水中。我们都知道,水分子间存在氢键,而纤维素分子具有亲水性,它与水分子之间也会形成氢键,并且由于纤维素分子相对分子质量大概在104~106量级,远大于水分子,所以在水中,氢键的相互作用使得纤维素分子与水分子形成了“一座大桥”——两个纤维素分子分别作为“两个桥桩”,而其间的大量水分子通过氢键相连形成“桥身”。紧接着,我们进行脱水处理,纤维素分子间距离会变小,形成比较有规则的靠单层水分子连接的一个整体。最后,加热干燥使水分蒸发,纤维受水的表面张力作用,导致纤维素分子中的羟基之间的距离小到也足以形成氢键,这样就完成了造纸的过程。可以看出,纸张的强度主要受纤维素分子之间的氢键结合力影响,结合力越大,纸张就越牢固。
当纸张被水浸湿后,由于纤维分子的羟基亲水,水分子容易进入纤维之间的空隙,使得纤维分子间距增大,表现为纸张膨胀甚至扭曲。晾晒纸张时,水的蒸发过程是从纤维两头开始,因此水分子的快速蒸发会令纤维硬化,撑开的空隙也不再容易回到初始状态,结果就是纸张变得又皱又硬啦!
另外,告诉你个妙招,把打湿的纸张压平在冰箱里,纸张就可以恢复平整啦。因为冷冻状态下水升华过程比较均匀,但是耗时比较长哦!

8Q
气体的平均分子动能是怎么体现为温度的呢,或者说,温度在微观角度温度是怎么体现的?
By 摇拽拽
A
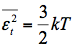
首先与微观建立联系的宏观参量是压强,这很容易理解:理想气体分子不断撞击容器壁,从宏观上看,就体现为压强。压强和温度由理想气体状态方程联系在了一起,从而建立起了速度与动能之间的联系。
下面是具体地推导。注意宏观量的微元的特点是宏观小(统计量均匀),微观大(仍能用统计方法处理):
考虑处于v到v+dv区间内有 n个分子,由于dv具有微观大、宏观小的特点,因此可以认为该区间包含有大量的分子,近似具有速度v。在面积微元dS内,假定x轴穿过dS所在平面且与之垂直,x轴指向容器壁外侧。分子由于运动而与dS发生弹性碰撞,动量改变为

                               
登录/注册后可看大图
。注意,只有速度在x轴方向有分量的粒子会发生碰撞,碰撞只改变分子在x轴方向的分速度。在dt时间内,处于

                               
登录/注册后可看大图
内分子将与面积微元相撞,产生冲量。考虑此速度区间内分子数为ni,因而这些分子对面元冲量为

                               
登录/注册后可看大图
。这只是处于某一速率区间内的分子,对其求和,并减去一半分子(具有x轴负方向速度,不产生冲量)

                               
登录/注册后可看大图
,由压强公式得

                               
登录/注册后可看大图
。考虑m0是常量可以提出,再按定义可知

                               
登录/注册后可看大图
,则

                               
登录/注册后可看大图
,其中

                               
登录/注册后可看大图
称为平均平动动能。最后,由理想气体状态方程可导出

                               
登录/注册后可看大图

                               
登录/注册后可看大图


大道至简 万物于弧
*滑动验证:
您需要登录后才可以回帖 登录 | 立即注册

本版积分规则

手机版|Archiver|小黑屋|国际弧学研究会    

GMT-7, 2025-12-12 00:48 , Processed in 0.603415 second(s), 26 queries .

Powered by Discuz! X3.1

© 2001-2013 Comsenz Inc.

快速回复 返回顶部 返回列表