设为首页收藏本站

弧论坛

 找回密码
 立即注册
搜索
热搜: 活动 交友 discuz
查看: 8344|回复: 0
打印 上一主题 下一主题

上帝的指纹 |奇妙的斐波那契螺旋线

[复制链接]

5919

主题

6627

帖子

7187

积分

坛主

Rank: 10Rank: 10Rank: 10

积分
7187
跳转到指定楼层
楼主
发表于 2017-5-31 02:05 | 只看该作者 回帖奖励 |倒序浏览 |阅读模式
上帝的指纹 |奇妙的斐波那契螺旋线

2017-05-31
李大潜 徐诚浩
癌图腾


                               
登录/注册后可看大图
斐波那契数列中的斐波那契数会经常出现在我们的眼前——比如松果、凤梨、树叶的排列、某些花朵的花瓣数、黄金矩形、黄金分割、等角螺线等。
现在,木匠保罗·塞勒斯(Paul Sellers)要和我们展示下,他是怎么通过一把凿子,自己创造美丽的斐波那契木雕花:




                               
登录/注册后可看大图


视频:斐波那契数列的秘密


                               
登录/注册后可看大图

斐波那契数列


斐波那契数列和斐波那契螺旋线

斐波那契数列(Fibonacci sequence),又称黄金分割数列、因数学家列昂纳多·斐波那契(Leonardoda Fibonacci)以兔子繁殖为例子而引入,故又称为“兔子数列”。

斐波那契数列指的是这样一个数列:0、1、1、2、3、5、8、13、21、……在数学上,斐波纳契数列以如下被以递归的方法定义:F0=0,F1=1,Fn=Fn-1+Fn-2(n>=2,n∈N*),用文字来说,就是斐波那契数列列由 0 和 1 开始,之后的斐波那契数列的项就由之前的两数相加。依次类推下去,你会发现,它后一个数等于前面两个数的和。在这个数列中的数,就被称为斐波那契数。2是第3个斐波那契数。这个级数(数列也叫级数)与大自然植物的关系极为密切。几乎所有花朵的花瓣数都来自这个级数中的一项数字:菠萝表皮方块形鳞苞形成两组旋向相反的螺线,它们的条数必须是这个级数中紧邻的两个数字(如左旋8行,右旋13行);还有向日葵花盘……倘若两组螺线条数完全相同,岂不更加严格对称?可大自然偏不!直到最近的1993年,人们才对这个古老而重要的级数给出真正满意的解释:此级数中任何相邻的两个数,次第相除,其比率都最为接近0.618034……这个值,它的极限就是所谓的"黄金分割数"。

特别指出:0不是第一项,而是第零项。在现代物理、准晶体结构、化学等领域,斐波纳契数列都有直接的应用,为此,美国数学会从1960年代起出版了《斐波纳契数列》季刊,专门刊载这方面的研究成果。

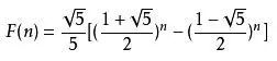
斐波纳契数列的通项公式是:


                               
登录/注册后可看大图

可以看到一个神奇的现象,斐波纳契数列中的每一项都是自然数(有理数),可是它们却是由一些无理数表示出来的。这个公式又称为“比内公式”,是用无理数表示有理数的一个范例。


斐波那契螺旋线,也称“黄金螺旋”,是根据斐波那契数列画出来的螺旋曲线。其画法是:以斐波那契数为边的正方形拼成的长方形,然后在正方形里面画一个90度的扇形,连起来的弧线就是斐波那契螺旋线。



                               
登录/注册后可看大图

自然界中存在许多斐波那契螺旋线的图案。



                               
登录/注册后可看大图


                               
登录/注册后可看大图

                               
登录/注册后可看大图

建筑

                               
登录/注册后可看大图
美术

                               
登录/注册后可看大图


                               
登录/注册后可看大图

                               
登录/注册后可看大图
还有很多很多。。。。
在感叹造物之美的同时,
还有哪些未被发现的规律?
大自然还有多少惊喜在等着我们?
(来源:高中数学学习辅导 2017-05-06 )

神圣几何(Sacred Geometry)里的宇宙智慧和疗愈力量



                               
登录/注册后可看大图
斐波那契数列有多神奇?

在所有的数列中,斐波那契数列无疑是最著名的一个:1, 1, 2, 3, 5, 8, 13, 21, 34, 55, 89, 144, 233, 377,……




由来

1202 年,生于意大利比萨的数学家 莱昂纳多·斐波那契 完成了他的传世名著《算盘书》,书中对一个有趣的 “兔子繁殖问题” 进行了研究,斐波那契数列便由此而来。


兔子繁殖问题实际上是 斐波那契 提出的一个数学模型:

  • 假定一对大兔子一年生一对小兔

  • 一对小兔子一年后长大成为一对大兔子

  • 且所有的兔子都长生不死

  • 那么这些兔子是按照什么样的规律繁殖的呢?



  • 第一年,

    • 只有一对小兔子

  • 第二年,

    • 这对小兔子长大成为一对大兔子
    • 兔子的对数还是 1

  • 第三年,

    • 大兔子生出一对小兔子
    • 兔子的对数变为 2

  • 第四年,

    • 大兔子又生出一对小兔子
    • 原来的一对小兔子长大成为一对大兔子
    • 兔子的对数变为 3

  • ……


总结兔子的繁殖规律,可以发现:

每年的兔子对数

  • =上一年的兔子对数+该年新生的兔子对数
  • =上一年的兔子对数+上一年的大兔子对数
  • =上一年的兔子对数+上上一年的兔子对数


也就是说,如果把第 n 年的兔子对数记为 Fn,则:

  • F1=F2=1,且对 n ≥ 3,有 Fn=Fn-1+Fn-2
  • 于是便得到如下的数列:

    • 1, 1, 2, 3, 5, 8, 13, 21, 34, 55, 89, 144, 233, 377, 610, 987,……
    • 其中,从第 3 项起,

      • 每一项均等于前面两项之和


由于这个数列是由 斐波那契 首先加以研究的,后人就将其称为 斐波那契数列。




奇妙的性质

斐波那契数列是一个非常有趣、有用而且有名的数列,它有许多奇妙的性质,数学家对它的研究至今没有停止。下面简单介绍几项。


用斐波那契数列的前六个数 1, 1, 2, 3, 5, 8 为边长的 6 个正方形,可以拼成一个边长为 8 和 13 的矩形:


                               
登录/注册后可看大图

加上扇形线之后,就可以形成 斐波那契螺旋线:



                               
登录/注册后可看大图

网上还有不少斐波那契螺旋线的图,摘录了两个:


耳朵


                               
登录/注册后可看大图

川普

                               
登录/注册后可看大图

一般的说,以斐波那契数列的前 n 个数为边长的 n 个正方形可以拼成一个矩形,它的边长为 Fn 和 Fn+1。

实际上,可以用数学归纳法证明下述性质:


                               
登录/注册后可看大图

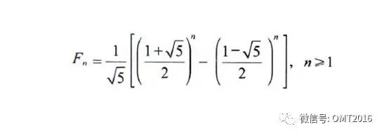
斐波那契数列还有通项公式:


                               
登录/注册后可看大图

其中,φ=(1+√5)÷2=1.618 033 988…… 就是著名的黄金分割

【也有将 (√5 -1)÷2=0.618 033 988…… 称为黄金分割比例】


一个完全由自然数构成的数列,其通项公式竟然是由无理数 φ 来表示的,是不是很神奇呢?


早在 18 世纪中叶,著名数学家棣莫佛和欧拉就已知道这个公式。到 19 世纪中期,法国数学家雅克·菲利普比内 又重新发现了这一公式。


此外,可以看出的是,当 n 越来越大,斐波那契数列中连续两项的比例 Fn+1/Fn 会越来越趋近于黄金分割  φ 。




除了许多数学上的奇妙性质外,科学家还注意到,植物界中某些数量分布也是遵循斐波那契数列的,比如树枝分叉的数目、鲜花花瓣的数目、果实颗粒的分布、果皮螺纹的排列等。


在美丽的向日葵上,其花盘就有一左一右的螺旋线,如果有 13 条右旋,就有 21 条左旋,总数是 34 条:



                               
登录/注册后可看大图
里面的数不清,外圈数下来是 34 和 55

松果的鳞片也以螺旋状排列,小型的松果鳞片向右或向左排出 5 列,反方向则有 8 列;较细长松果的则是 8 列或 13 列:



                               
登录/注册后可看大图


另外,许多植物的花瓣数多为 3、 5、 8、 13、 21 等,有兴趣的话,可以找些花朵来数一数。【这个感觉有些牵强,也有不少花瓣数不是斐波那契数列的吧……



                               
登录/注册后可看大图



此外,植物的叶子在茎上的排列呈螺旋形上升。


1611 年,德国天文学家开普勒发现,如果把位于枝干或茎的周围的同一方向上的最近的两片叶子分别看成一个周期的开始和结束,在这个周期内可能有很多叶子,它们沿着枝干或茎也许会绕很多圈。


记一个周期中叶子的总数为 m,而这个周期中叶子所绕圈数为 n,则 m 与 n 都是与斐波那契数列有关的数。例如:


  • 榆树: n=1,m=2



                               
登录/注册后可看大图



  • 山毛榉: n=1,m=3



                               
登录/注册后可看大图



  • 樱桃、橡树:n=2,m=5


    • 也就是说,每个周期内有 5 片叶子,绕 2 圈才结束一个周期




                               
登录/注册后可看大图



  • 梨树: n=3,m=8



                               
登录/注册后可看大图



  • 柳树:n=5,m=13



                               
登录/注册后可看大图

这些数都是斐波那契数列中的数!

(来源:小学奥数思维  2017-03-20 )


大道至简 万物于弧
*滑动验证:
您需要登录后才可以回帖 登录 | 立即注册

本版积分规则

手机版|Archiver|小黑屋|国际弧学研究会    

GMT-7, 2025-12-13 23:39 , Processed in 0.533515 second(s), 22 queries .

Powered by Discuz! X3.1

© 2001-2013 Comsenz Inc.

快速回复 返回顶部 返回列表