设为首页收藏本站

弧论坛

 找回密码
 立即注册
搜索
热搜: 活动 交友 discuz
查看: 5310|回复: 0
打印 上一主题 下一主题

10分钟让你快速了解行列式的几何意义

[复制链接]

5919

主题

6627

帖子

7187

积分

坛主

Rank: 10Rank: 10Rank: 10

积分
7187
跳转到指定楼层
楼主
发表于 2017-5-12 00:28 | 只看该作者 回帖奖励 |倒序浏览 |阅读模式
10分钟让你快速了解行列式的几何意义

2017-04-15
超级数学建模

5年高考3年模拟
已经满足不了我了

上次超模君跟5岁表弟讲解什么是行列式(传送门),今天要吵着超模君问:三阶行列式是什么意思?


                               
登录/注册后可看大图
摊着这么爱学习的表弟,超模君也表示很无奈(内心OS:舅妈,这三年高考五年模拟的卷子)


                               
登录/注册后可看大图

不过表弟既然提起,那还是要认真对待一下:

那我们还是来说说三阶行列式:

                               
登录/注册后可看大图

上次说到,二阶行列式代表两个向量组成的平行四边形的有向面积,那三阶行列式呢?
三阶行列式则代表三个向量组成的平行六面体的有向体积


                               
登录/注册后可看大图


                               
登录/注册后可看大图
一个行列式可以通过拆分某一个列向量得到两个行列式的和。


                               
登录/注册后可看大图


                               
登录/注册后可看大图
当行列式的有两行或者两列元素相同,它对应的空间平行六面体的两条邻边重合,相当于将三维空间中六面体压成了高度为0的二维平面

显然,这个平面的三维体积

                               
登录/注册后可看大图
为0。


                               
登录/注册后可看大图


                               
登录/注册后可看大图
由于向量是具有方向性的,一个行列式的值对应矩阵A的列向量的一个固定顺序。当detA为负值时,它确定原象的一个反射。所以,这种变换改变了原象的定向。

                               
登录/注册后可看大图


                               
登录/注册后可看大图


                               
登录/注册后可看大图
这就是说,平行六面体的体积的k倍等于六面体的三条棱中一条棱长的k倍。这是显然的。因为立方体的体积增大可以沿着立方体某一棱方向增大相同的倍数。


                               
登录/注册后可看大图


                               
登录/注册后可看大图
此性质表述了以

                               
登录/注册后可看大图
为底面积的平行六面体在a方向上进行了切向变换,变换的后的六面体因为底面积不变,高也不变,因此体积不变。


                               
登录/注册后可看大图



                               
登录/注册后可看大图
5岁表弟:表哥,你真厉害,不过这个又要怎么解释呢?

                               
登录/注册后可看大图

为什么可以把他们拆分出来呢?

超模君:。。。你这么爱学习,你爸妈真的知道吗?

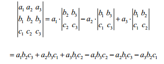
其实这个叫做行列式的乘积项,这里我们就拿二阶行列式来说:


                               
登录/注册后可看大图

上次超模君已经讲过,二阶行列式的几何图形是一个有方向的面积(面积方向的确定:叉积的右手定则),那结果很明显:


                               
登录/注册后可看大图

那对于三阶行列式乘积项来说:

                               
登录/注册后可看大图

其实三阶行列式与二阶行列式的乘积项意义是类似的

三阶行列式的乘积项,可以看成具有有方向的小长方体的体积。
也就是说,在三阶方阵张成的三维平行六面体可以分解为一个个由各座标分量混合积构成的小长方体。这些小长方体共有六块,每一块的体积都具有方向

什么意思呢,就是说有些方向相反的体积会被相互抵消掉

5岁表弟:表哥,那你赶紧画图给我看看呀!


                               
登录/注册后可看大图
(此处并没有图)这次好好发挥想象力吧。

其实呢,一个行列式的几何意义是有向线段(一阶行列式)或有向面积(二阶行列式)或有向体积(三阶行列式及以上)。

因此,从几何的角度来看,行列式是由各个坐标轴上的有向线段所围起来的所有有向面积(或有向体积)的累加和。这个累加要注意每个面积(或体积)的方向(或符号),方向相同的要加,方向相反的要减,因而,这个累加的和是代数和。


                               
登录/注册后可看大图
对了,等会回家记得桌子上那堆书带回去!


                               
登录/注册后可看大图

本文由超级数学建模编辑整理
资料来源博客园


大道至简 万物于弧
*滑动验证:
您需要登录后才可以回帖 登录 | 立即注册

本版积分规则

手机版|Archiver|小黑屋|国际弧学研究会    

GMT-7, 2025-12-13 15:03 , Processed in 0.586907 second(s), 26 queries .

Powered by Discuz! X3.1

© 2001-2013 Comsenz Inc.

快速回复 返回顶部 返回列表