设为首页收藏本站

弧论坛

 找回密码
 立即注册
搜索
热搜: 活动 交友 discuz
查看: 5367|回复: 0
打印 上一主题 下一主题

世界上最美的方程

[复制链接]

5919

主题

6627

帖子

7187

积分

坛主

Rank: 10Rank: 10Rank: 10

积分
7187
跳转到指定楼层
楼主
发表于 2017-4-29 12:46 | 只看该作者 回帖奖励 |倒序浏览 |阅读模式
世界上最美的方程

2017-04-19
Clara Moskowitz
天文物理


对于什么是最美的数学方程,在Quora上,目前榜首为复分析领域的欧拉方程(后文提到的欧拉方程是在几何学与代数拓扑学领域的形式),获得了3300多个投票:


                               
登录/注册后可看大图


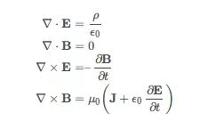
其次是麦克斯韦方程:

                               
登录/注册后可看大图

 简介

  数学方程不仅实用,很多还非常优美。许多科学家承认,他们常常喜欢一些特别的公式,不仅仅因为它们功能强大,还因为它们形式优雅、简洁及其中所蕴涵着诗一般的真理。

  当某些特别著名的方程,比如爱因斯坦的质能方程$E = m c^2$,在公众面前享誉极盛时,许多公众不那么熟悉的方程在科学家群体中却拥者甚众。LiveScience咨询了许多物理学家、天文学家和数学家,将他们喜爱的数学公式罗列如后:

  广义相对论


                               
登录/注册后可看大图


 上面的公式是爱因斯坦于1915年发现的,是具有划时代意义的广义相对论中的一部分。该理论让科学家对引力的认识发生了革命性的转变,引力在这里是空间与时间结构的一种弯曲。

  “让我惊奇的是,这样一个方程就揭示了全部的时空本质。”太空望远镜科学研究所的天体物理学家马里奥·利维奥(Mario Livio)如是说,他声明此方程为自己的最爱。“爱因斯坦所有的真正的天才之处都蕴含在这个方程中。”

  “方程的右侧描述了宇宙的能量构成(包括促使宇宙加速膨涨的暗能量),左侧是时空的几何结构。”利维奥解释道,“此方程揭示了这样的事实,在爱因斯坦广义相对论中,质量和能量决定了几何,以及伴随的时空弯曲,它显示为我们所说的引力。”

  “这是个非常优雅的方程,它还揭示了时空、物质和能量之间的关系。”纽约大学物理学家凯利·克兰默(Kyle Cranmer)说,“此方程告诉你它们之间是如何关联的——比如,太阳的存在如何导致了时空弯曲,从而令地球沿着其轨道运转,等等。它还告诉你宇宙自从大爆炸之后是如何演化的,并且预言了黑洞的存在。”

  标准模型


                               
登录/注册后可看大图


  标准模型是物理学中的另一个主流理论,它描述了构成目前宇宙的所有可见的基本粒子。

  这个理论可浓缩为一个主方程,即标准模型的拉格朗日量,该名字来自于十八世纪法国数学家和天文学家约瑟夫·路易斯·拉格朗日(Joseph Louis Lagrange)。加利福尼亚SLAC国家加速器实验室的兰斯·迪克逊(Lance Dixon)在他的著名公式中采用了这个方程。

  “它成功地描述了迄今所有在实验室中能够观测到的基本粒子和力——除了引力,这当然包括了最新发现的希格斯玻色子,即公式中的$\phi$。它与量子力学和狭义相对论完全自洽,”迪克逊向LiveScience杂志解释道。

  标准模型理论还没有与广义相对论统一起来,所以它还不能够描述引力。

  微积分


                               
登录/注册后可看大图


  前两个方程描述了宇宙的特定形态,而微积分这个令人喜爱的方程则可以应用于各种各样的情况。微积分基础理论是微积分学数学方法的基石,它将两个主要思想连接了起来,即积分与求导的概念。

  “简单来讲,它表明,平滑连续的量的净改变,比如经过给定时间区间后的行进距离(也就是说,时间区间端点的量的差值),等于该量的变化率的积分,亦即,速度的积分,”美国福德汉姆大学(FordHam University)数学系主任特里维西克(MelkanaBrakalova-Trevithick)如是说,她将此方程选为最爱。“微积分的基础理论(FTC)允许我们基于整个区间内的速率变化来测定该区间的净变化。”

  微积分的萌芽从古代就开始了,但其完善集中在十七世纪并归功于艾萨克·牛顿,他使用微积分解释了行星环绕太阳的运动。

  毕达哥拉斯定理

                               
登录/注册后可看大图


  说到经久不衰的方程,非著名的毕达哥拉斯定理(勾股定理)莫属,每个几何初学者都要学习它。这个方程表明,对任意直角三角形,弦(直角三角形的最长边)的平方等于其余两边长的平方和。

  “第一个令我惊奇的数学事实就是毕达哥拉斯定理。”康奈尔大学(Cornell University)的数学家丹尼娅·泰敏娜(Daina Taimina)如是说,“当我还是孩子时,它就令我惊奇不已,它不仅在几何中有用,在数论中也一样!”

  欧拉公式(Euler's equation)


                               
登录/注册后可看大图


  这个简单的公式蕴含着球体的纯粹本质:

  “如果把一个球切割成面、棱和顶点,令F表示面数,E表示棱数,V表示顶点数,你始终能得到V−E+F=2,”马萨诸塞州威廉姆斯学院(Williams College)一名数学家科林·亚当斯(Colin Adams)解释说。

  “比如以四面体为例,它有4个三角形,6根棱和4个顶点,如果你使劲吹一个表面柔软的四面体,它会胀成一个球,故这样看来,一个球可以切割成四个面、六根棱和四个顶点。我们就有了V−E+F=2。对于金字塔方锥也一样,它有五个面——四个三角形和一个正方形,八根棱和五个顶点。对于任意其它的面、棱和顶点组合也一样,”亚当斯说。“这是一个非常酷的事实!顶点、棱和面的组合提示了球体的一些非常基本的东西。”

  狭义相对论

                               
登录/注册后可看大图


  爱因斯坦又一次榜上有名,这次是因为他的狭义相对论方程,它表明时间和空间不是绝对的概念,而是受观察者速度影响的相对概念。上面的方程表明,一个人在任意方向运动得越快,时间会愈加膨涨,或变得更慢。

  “它非常简洁,任何一名高中毕业生都会用,没有复杂的求导和线性代数。”欧洲核子中心日内瓦实验室的一名粒子物理学家比尔·莫瑞(Bill Murray)说,“但它表达的是一种全新的观察世界的方式,一种对待现实和我们与它之间关系的全新态度。突然间,那个刚性的不变的宇宙被扫除干净了,取而代之的是一个人性的世界,它同你的观察相关。你从在宇宙之外的审视者变成了其中的一部分。而这个概念和数学可以被任何想学的人掌握。”

  莫瑞说,比起爱因斯坦后续理论中的复杂方程,他更偏爱狭义相对论方程。“我都没弄懂广义相对论中的数学。”他补充道。

  1 = 0.999999999…


                               
登录/注册后可看大图

                               
登录/注册后可看大图

  这是一个简单的方程式,它的意思是,0.999紧跟着无限个小数位的9,其结果与1等价。这是康奈尔大学数学家斯蒂芬·斯托加兹(Steven Strogatz)的最爱。

  他说:“我爱它的简单,任何人都能够理解其意思——但是它又多么挑衅啊!许多人就不相信这是真的。它也是优美的平衡,左侧代表数学的开始,而右侧则代表神秘的无限。”

  欧拉-拉格朗日方程及诺特定理


                               
登录/注册后可看大图


  “这非常抽象,但令人惊奇的强大。”纽约大学的克兰默说,“更酷的是,这种思考物理的方式经历了物理学的许多主要革命却依然正确,比如量子力学、相对论的出现,等等。”

  在这里,L表示拉格朗日量,它代表一个物理系统的能量量度,比如弹簧、杠杆或基本粒子。“求解这个方程会让你明白系统会如何随时间演化,”克兰默解释说。

  拉格朗日方程的一个副产品是诺特定理,以二十世纪德国数学家埃米·诺特(Emmy Noether)命名。“该定理对于物理学和对称论来说非常基础。简单地讲,该理论是说如果你的系统有一个 对称性,则必伴随一个守恒量。比如,今天的物理基本定律与明天是一样的(时间对称性),这个思想则意味着能量是守恒的。物理定律在这儿的与在外太空是相同的,则意味着动量守恒。对称性在基础物理中是起推进作用的概念,这主要得益于诺特的贡献,”克兰默补充道。

  卡兰 -西曼齐克方程(Callan-Symanzik Equation)


                               
登录/注册后可看大图


  “从 1970 年起,卡兰-西曼齐克方程就是非常重要的第一原则性方程,尤其是用于描述朴素的预测在量子世界中会如何失败,”罗格斯大学(Rutgers University)的理论物理学家马特·斯特拉斯(Matt Strassler)说。

  此方程有很多应用,包括让物理学家用它来预测质子和中子的质量和大小。质子和中子是构成原子核的基本粒子。

  基础物理告诉我们,两个物体之间的引力和电磁力,与它们之间的距离成平方反比关系。简单来讲,这也适用于强核子力,该力把质子和中子捆绑起来构成了原子核,也是它将夸克捆绑起来构成了质子和中子。但是,微小的量子涨落会影响力与距离的依赖关系,这对强核力带来的影响是巨大的。

  “这阻碍了此力在长距离处的衰减,结果导致对夸克的囚禁,迫使它们形成了质子和中子,从而构造了我们的世界,”斯特拉斯解释说。“卡兰 -西曼齐克方程的作用与这个巨大的难以计算的效应相关联,当距离在大概质子大小的尺寸时它很重要,当距离比质子尺寸小很多时它更加敏感,更容易计算其效应。”

  极小曲面方程


                               
登录/注册后可看大图


  “极小曲面方程以某种方式形成了美丽的肥皂薄膜,这个你可以用金属框伸进肥皂水中泡一下再拿出来而制作。”威廉姆斯学院的数学家弗兰克·摩根(Frank Morgan)说,“此方程是非线性的,涉及到导数的幂和乘积,其中暗含的数学表现在肥皂薄膜的奇怪反应上。它的非线性与大家熟悉的线性偏微分方程相不同,比如热传导方程,波动方程,以及量子力学中的薛定谔方程。”

  欧拉线(The Euler line)

                               
登录/注册后可看大图

  纽约数学博物馆的奠基人格伦·惠特尼(Glen Whiteney)选择了另一个几何定理,它与欧拉线有关,以十八世纪瑞士数学家和物理学莱昂哈德·欧拉(Leonhard Euler)来命名。

  惠特尼这样解释:“选择任一个三角形,画一个包含此三角形的最小的圆,并找到其圆心。找到三角形的重心——如果把三角形从纸上切下来,针顶着重心可令它保持平衡。画出三角形的三条垂线(过三角形任意定角,并垂直于该角对边的线),找到它们交汇的点。该定理是说,你刚才找到的同一个三角形的这三个点始终位于一条直线上,这条线就叫三角形的欧拉线。”

  这条定理蕴含了数学的美与强大,数学经常会用简洁、熟悉的形状提示出令人惊讶的模式。
作者:Clara Moskowitz     编译:心蛛 校对:锁相
来源:livescience / 科学公园(点击查看)
刊发-微信公众号:博科园
微信号:Bky-natural-sciences


大道至简 万物于弧
*滑动验证:
您需要登录后才可以回帖 登录 | 立即注册

本版积分规则

手机版|Archiver|小黑屋|国际弧学研究会    

GMT-7, 2025-12-14 22:55 , Processed in 0.757441 second(s), 26 queries .

Powered by Discuz! X3.1

© 2001-2013 Comsenz Inc.

快速回复 返回顶部 返回列表