设为首页收藏本站

弧论坛

 找回密码
 立即注册
搜索
热搜: 活动 交友 discuz
查看: 6266|回复: 0
打印 上一主题 下一主题

金刚最大的敌人不是人类,而是物理

[复制链接]

5919

主题

6627

帖子

7187

积分

坛主

Rank: 10Rank: 10Rank: 10

积分
7187
跳转到指定楼层
楼主
发表于 2017-4-10 00:24 | 只看该作者 回帖奖励 |正序浏览 |阅读模式
金刚最大的敌人不是人类,而是物理

Original
2017-04-09
刘小鸥 赛先生


                               
登录/注册后可看大图
电影《金刚:骷髅岛》官方剧照(图片来源:豆瓣电影)

编译:刘小鸥

最近,随着电影《金刚:骷髅岛》的热映,庞然大物“金刚”又一次进入人们视野。根据维基百科统计[1] ,这已经是“金刚”形象第八次出现电影作品中。80多年来,这只巨型大猩猩不厌其烦地爬上帝国大厦,摧毁飞机无数,在日本战胜过哥斯拉,甚至和美女金刚Lady Kong私奔生子过。并且按照传奇影业的计划,他还要在2020年再战一次哥斯拉。

在此过程中,金刚身型大小的设定也多次变化。最新这部《金刚:骷髅岛》的官方资料显示,这座神秘岛屿的“岛主”身高超过30米,是金刚史上之最。你是否担心过,在地球某一处尚未探索的“处女地”,真的存在如此巨大的陆地生物?

重力与生物力学

科学可以打消你的顾虑。这只庞然大物应该很难在现实中存活,主要原因就是重力与生物力学。

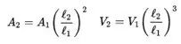
伽利略告诉我们,如果把一只动物成比例放大,它的重量将呈立方增长,但其表面积仅呈两倍增长——这就是著名的平方立方定律在生物学上的应用。而动物骨骼的横截面积决定着骨骼的支撑作用。所以动物长得越大,骨骼所需承受的自身重量就越大。

[url=]平方立方定律[/url](Cubic-squarelaw)
著名的描述比例的定律,1638年由伽利略首次提出,被广泛应用于各科学领域。数学上可表示为[2]

                               
登录/注册后可看大图
l、A与V分别代表长度、面积与体积,下标1与2分别表示成比例改变前后。

这也是为什么那些躲在墙角把你吓一跳的长腿蜘蛛通常只有那么小的原因。影片里的巨型蜘蛛如果放在现实中,它们的大长腿很可能已经被身体的重量压得粉碎。体型巨大的动物相应地也需要更大、更粗壮的肢体来支撑自己,因此陆地上的生物几乎不可能超过100吨。

“金刚”则是将体重接近200千克的西部大猩猩放大了20倍,这在物理上是行不通的。这个“放大版”的骨骼与肌肉并不能承受他的体重。他可能根本不能转身,或许早就会被自己的体重压趴下,更不用说打下直升机了。

地球上的大块头们

陆地上现存的最大哺乳动物是非洲象,当然比金刚小得多。它们身高可超过3米,重量超过5吨。而在遥远的过去,陆地生物可能长得更大。著名的泰坦巨龙(Titanosaur)重约80吨,是非洲象的10多倍(但和金刚比起来还是小不点)。

恐龙之所以能长那么大,是因为它们是冷血的爬行动物。和它们相比,温血的哺乳动物要想维持体温与新陈代谢,需要的能量可能要超过同等体重冷血动物的10倍,这就使哺乳动物很难变得更大。

现存最大的动物并不在陆地上。蓝鲸是目前已知的最大生物,体长超过30米,重达200吨,比恐龙都大得多。因为水中的浮力分担了部分骨骼与肌肉的负担,使它们能够突破陆地上的极限。古生态学家费丽萨·史密斯(Felisa Smith)介绍,理论上蓝鲸应该能够长得更大,生物学家认为,相比于体型,它们的妊娠期偏短(仅11个月),这限制了它们的大小。

同理,生活在重力比地球更小的行星上的陆地生物,也应该会更大。

食物同样重要

除此之外,限制动物体型的另一重要因素是食物。金刚需要大量食物,除非美味的人类时不时就在骷髅岛坠机,金刚可能很难靠岛上的食物填饱肚子。

之前提到的两种大家伙——非洲象和蓝鲸都有很大的觅食范围。科学家早已通过各种间接证据推测,蓝鲸为了觅食、生育每年迁徙数千公里。2015年,托雷斯-弗瑞兹(Torres-Florez)与团队记录下了首个南太平洋东部的蓝鲸的迁徙目的地,成为蓝鲸长途迁徙的直接证据[3] 。此外,非洲象在缺乏食物的情况下每天能够跋涉超过80千米[4]

相反,生存在岛屿环境的大型动物会因为食物来源较少而“侏儒化”。曾生活在地中海岛屿的灭绝种群欧洲矮象高度不足1米。这么说来,骷髅岛上的金刚是只“侏儒猩猩”才更合理。


                               
登录/注册后可看大图
欧洲矮象骨架(图片来源:Wikipedia)

长这么大到底有什么好?

既然大块头有这么多限制,变大究竟有什么好处?

从进化学的角度来说,在一些情况下,变大肯定有一定选择优势性,比如能够更好地自我保护,而不易成为捕食者的盘中餐。当然话得分两头说,毕竟变大也可能意味着行动迟缓,因此动物体型很可能是个权衡利弊后的“折衷方案”。

另外,更大体型也可能意味着能获得更多的食物。蓝鲸巨大的鲸须齿片能够过滤大量海水,它们每天能够吞下成吨磷虾。另一个进化选择的典型例子就是长颈鹿,更高更大的长颈鹿吃到了其他动物够不着的植物,成为进化中的胜利者。

从物理学的角度看,像金刚这么大的生物在地球上几乎不可能实际存在,这可能仅仅是好莱坞想象力的一次突破。但古生物学家乔纳森·佩恩(Jonathan Payne)表示,他并不愿意把话说绝,排除动物变得更大的所有可能。“永远不能说永远。生命总是在意想不到的地方给我们惊喜。每次我们认为生物做不到什么,它往往会想尽办法实现。”

相关新闻链接:
[url=]http://www.smithsonianmag.com/science-nature/why-king-kong-should-have-been-blue-whale-180962603/[/url]

参考材料:
[1] Wikipedia, ‘King Kong’, https://en.wikipedia.org/wiki/King_Kong;
[2] World builders, ‘The size of living things’;
[3] Torres-Florez etal. (2015),’First documented migratory destination for Eastern South Pacific bluewhales’, Marine Mammal Science 31(4), 1580-1586;
[4] Bercovitch, F. (2008), ‘How far do elephants walk inone day?’.

大道至简 万物于弧
*滑动验证:
您需要登录后才可以回帖 登录 | 立即注册

本版积分规则

手机版|Archiver|小黑屋|国际弧学研究会    

GMT-7, 2025-12-15 01:15 , Processed in 0.666696 second(s), 27 queries .

Powered by Discuz! X3.1

© 2001-2013 Comsenz Inc.

快速回复 返回顶部 返回列表