设为首页收藏本站

弧论坛

 找回密码
 立即注册
搜索
热搜: 活动 交友 discuz
查看: 5101|回复: 0
打印 上一主题 下一主题

恒星际旅行可能的未来方式

[复制链接]

5919

主题

6627

帖子

7187

积分

坛主

Rank: 10Rank: 10Rank: 10

积分
7187
跳转到指定楼层
楼主
发表于 2017-1-21 02:23 | 只看该作者 回帖奖励 |正序浏览 |阅读模式
恒星际旅行可能的未来方式

2017-01-17
天文物理

在开始讨论问题之前,我们先从历史中的一个小片段开始:

1977年的8月和9月,承载着时人重大梦想的旅行者号飞船1号(Voyager 1)和2号(Voyager 2)相继出发,离开地球(这里只讲旅行者号,因为篇幅所限,先驱者10号和11号的事不提,要了解的朋友去这里:Space Today Online -- The Pioneer spacecraft still are outbound)。

作为追寻星辰大海中生命火种的重大使命之任务载体,星际航行这种技术既是人类空间争霸的阿喀琉斯之踵,同时也是打通宇宙帝国河西走廊的任督二脉,说它如何重要都不为过,我在这里为大家大致梳理一下旅行者号的时间线:


                               
登录/注册后可看大图

早在2013年的9月,NASA就宣布了旅行者1号飞出了太阳系,成为现时距离地球最远的人造飞行器,也是第一个进入星际空间的航天器,而在40000年后,它将会飞过其路线上距离鹿豹座的恒星格利泽445(目前正在以119km/s的径向速度接近我们的太阳)最近的位置:1.6光年,这是一个什么概念呢?1.6光年=100915.2AU(1AU=150000000km,1个天文单位定义为地球到太阳的距离),大约是海王星到太阳距离的3400倍,相当于奥尔特云(Oort cloud)最外层到太阳的距离。




得益于当时176年一遇的行星连珠(the grand tour)大事件,旅行者号飞船得到了强大的引力助推作用,使其速度达到了远超于太阳系逃逸速度的数值(大于先驱者和新视野号的速度,对比数值详见[Spacecraft escaping the Solar System):


                               
登录/注册后可看大图
图片来自voyager 1 accelerate

根据NASA的数据,在2012年时他们得到旅行者1号的对日速度是17.043km/s,这个速度有多快呢,大家点进这个网站感受一下:旅行者一号的距离

但即便是这样,要抵达距离太阳系最近的恒星——半人马座的南门二三合星系统中的比邻星Proxima Centauri),以对准比邻星的方向和高达17.043km/s的对日速度匀速航行,也要花上73775年的时间!

另外,旅行者1号使用的是放射性同位素热电机(Radioisotope thermoelectric generator)来进行发电,其原理是利用热电偶阵列接受一些合适的放射性物质(比如放射性同位素钚238),然后转化其衰变时所放出的热量为电能进行供电。


                               
登录/注册后可看大图

图片来自Radioisotope thermoelectric generator

虽然它比燃料电池、锂离子电池、普通发电机和太阳能电池在无人维护或者太阳光照不足的条件下更有优势,但是因为其燃料源的放射性衰变,使得放射性同位素热电机的发电功率持续的下降,以每年4.2Watt的速度减少,所以每隔一段时间,旅行者1号就会关闭一项功能以保存剩下的仪器运转正常,比如在2010年它就停止了紫外线分光计的观测,而到2025年以后,就不再会有足够的电力能源保障其余的仪器正常运作了。

如果我们想要在短时间抑或几代人的时间内完成星际旅行,那么我们就必须指望新科技或者就有技术的提升,下面我将根据youtube的这个视频:


为模板,为大家呈现五种可能的星际旅行方案:

伊·马镇楼

                               
登录/注册后可看大图

记得开wi-fi哦

1.传统火箭燃料型(Traditional Rocket Fuel)
人类史上最快的载人航天器飞行记录的保持者是阿波罗10号,曾经达到39897km/h的速度,换算一下就是11.08km/s,那么以这个速度奔向南门二(Alpha Centauri,距离太阳系最近的恒星系),也要······120000年!额······,究竟还想不想看《名侦探柯南》的结局了?


                               
登录/注册后可看大图
图片组合自Alpha Centauri

这还没完呢,星际旅行中,推进器燃料才是最大的问题,因为动量守恒sucks!

而我们知道,最大速度与火箭排气速度、燃料质量和飞行器质量有关,换言之,就是依据齐奥尔科夫斯基火箭方程(Tsiolkovsky rocket equation):


                               
登录/注册后可看大图

排气速度(exhaust velocity)实际上跟引擎的性质有关,选择不同的引擎,不同的燃料,其排气速度可以从几千到几百万米每秒不等,这里有一个引擎列表网站,大家可以一览:Engine List - Atomic Rockets

长征五号起飞的质量大概是869吨。如果你想要在人类生命的有限时间内达到南门二,那么航行的速度至少要达到光速的10%,把数据带入一算,你会发现,呵呵,所需要的燃料质量有这么大:


                               
登录/注册后可看大图

比可观测宇宙(~10^53kg)还要大!显然是不可能的了。

所以这有一种解决方案,装载数量较少、但能量密度很高的燃料来推进达到10%的光速:


                               
登录/注册后可看大图

没错,这就是第二种恒星际旅行方案:Fusion!

2.核聚变动力型(Nuclear Fusion)
为什么不试一试直接在飞行器尾部不断引爆核弹,然后依靠爆炸来推进呢?这个概念其实早就有了,美国的猎户座计划(Project Orion (nuclear propulsion))的核心宗旨就是利用核弹引爆推进:

This fabled technology converts the impulses of small nuclear detonations into thrust.
The small shaped-charge bombs each have a mass of 230 kg (including propellant) and a yield of a quarter kiloton (1 terajoule). The fissile material is curium 245, with a critical mass of 4 kg, surrounded by a beryllium reflector.  The soft X-rays, UV and plasma from the external detonation vaporize and compress the propellant to a gram per liter, highly opaque to the bomb energies at the temperatures attained (67000 K).
引自[url=]Engine List - Atomic Rockets[/url]

在上世纪50年代的后期,弗里曼·戴森和泰德·泰勒等人就这个项目煞费苦心,但是没办法,1963年的《部分禁止核试验条约》(Partial Test Ban Treaty, PTBT)直接中止了这个项目,合约中明确说明了不能在外层空间包括大气层、外太空进行一切核试验有关的活动。


                               
登录/注册后可看大图
图片来自Project Orion

但是让我们假设,人类的生存条件危在旦夕,不得不使用这项技术了,并且现代的热核装置已经足够先进。把星际战舰总质量的3/4都腾给300000颗当量1兆吨的氢弹,并在1个月内逐次逐个地引爆这些核弹,以1g的加速度来加速至光速的10%


                               
登录/注册后可看大图

这样我们就可以在44年内到达到达南门二喽,假设我们不需要减速下来的话。实际上,高速航行的减速一直是很大的难题,一般需要使用一半的燃料进行减速,所以就意味着实际装载的燃料只能提供到5%的光速,不过那也没关系,还是可以在90年内完成这个单程的旅途。也就是说,需要三代人在星际战舰上的传承,并保证星际宝宝能安全的出生和成长。


                               
登录/注册后可看大图
图片来自space babies

对于核弹的建造,我们早已不再陌生,其他部件不管难度如何,都不会阻拦这项科技成为目前为止,在短期内最为可行的方案。

在未来,当具有更加复杂的磁性限制以及防止等离子体不稳的控制方案提出后,轻小型的核聚变反应堆就有可能发明出来,进一步提高比冲量、效率,减少燃料载量,比如·······

Option A——代达罗斯计划(Project Daedalus)

代达罗斯计划是英国星际学会在1973至1978年之间倡导的研究计划,考虑使用无人太空船对另一个恒星系统进行快速的探测。其技术就是运用核聚变火箭推进,并且只要50年,在一个人的有生之年内,就可以抵达另一颗恒星。巴纳德星(除南门二之外距离太阳系第四近的恒星,公元11800年时,会距地球仅3.85光年,那时它就会成了除太阳以外离地球最近的恒星)被选择为其中一个主要的目标。


                               
登录/注册后可看大图
图片来自[url=]Project Daedalus[/url]

虽然是一个无人探测器,代达罗斯却重达5.4万吨,相当于半艘尼米兹级核动力航空母舰的质量,其中燃料的质量达5万吨,科学仪器质量只有区区的500吨。因为实在太大,所以这个探测器将在地球轨道上建造。代达罗斯探测器是个两级的飞行器,第一级工作2年,把它加速到光速的7.1%。之后第二级工作1.8年,把它加速到光速的12%,然后关闭发动机,在茫茫太空中巡航46年,最后到达目的地。因为在太空中要经受住极低温的考验,探测器外壳大量使用了铍,使飞行器在低温中仍然能保持结构强度。
引自Project Daedalus

Option B——惯性约束聚变(Inertial confinement fusion,ICF)

因为我的专业不是高能物理方向,把话语权暂时转给wiki吧:

惯性约束聚变是一种核聚变技术,这项技术利用激光的冲击波使得通常包含氘和氚的燃料球达到极高的温度和压力,来引发核聚变反应。


                               
登录/注册后可看大图

以激光进行惯性约束聚变的图解。蓝色箭头代表激光;橘色代表固态球状核燃料向外爆裂的力量;紫色代表因激光热能而产生向内的惯性作用力。
1. 激光光束,或是以激光产生的X光,快速加热燃料球表面,在周围形成等离子体。
2. 燃料核因为表面爆裂产生向内的反作用力,遭到挤压。
3. 当燃料核的密度比铅还大二十倍,温度到达100000000 ˚C,进入最后阶段。
4. 压缩后的燃料核,产生的热量快速向外放射,发散的能量是激光光束加在燃料球上的数倍。
引自Inertial confinement fusion

Option C-可变比冲磁等离子体火箭(Variable Specific Impulse Magnetoplasma
Rocket,简称VASIMR)

这种火箭其实是一种电磁推进器,利用无线电波电离并加热推进剂,同时加载一个磁场来加速产生的等离子产生推力:


                               
登录/注册后可看大图
图片来自Variable Specific Impulse Magnetoplasma Rocket


VASIMR最早是被定位于空间托运用途,一般用于轨道转移交通工具。使用VASIMR加速后托运力可以达到34公吨——从低地轨道到低月轨道而只需要8公吨的氩气推进剂,而普通的化学火箭则需要60公吨的液氧-液氢推进剂。

使用高速档的VASIMR,其排气速度可以达到惊人的294000m/s。2004年,NASA Johnson Space Center的Advanced Space Propulsion Laboratory就写了一篇小科普,大家有兴趣可以去看看:http://web.mit.edu/mars/Conference_Archives/MarsWeek04_April/Speaker_Documents/VASIMREngine-TimGlover.pdf

但是,聚变只能把不到1%的静质量转化成能量,如果我们能做到接近100%呢?
这就是我们要谈的另一种选择·······

3.反物质引擎(Antimatter Drive)
反物质和物质一旦相遇,就会相互吸引、碰撞而100%转化为光并释放出的巨大的能量,这个过程叫做湮灭。如果把它们用作燃料,则能源效率极高无比。


                               
登录/注册后可看大图
图片来自antimatter annihilation

举个例子,10g的反物质引擎,可以让我们在1个月内到达火星


                               
登录/注册后可看大图

不过,最大的困难是收集、扑捉和保存反物质。我们都知道,反物质无法在自然界找到,要有的话也是稍纵即逝的短暂存在,比如放射衰变或者宇宙射线等影响。即便人们可以在实验室内制造出反物质,又或者在粒子加速器里合成,但也是非常缓慢而且造价及其昂贵,一次只能得到少量的反质子,到不了那种可以航行到恒星的千克级别。

假设我们能达到量产反质子的水平,比如达到现在产能的100万亿万亿倍,那么反物质火箭(更特定地说是π介子火箭)就有可能成为一种选择了:


                               
登录/注册后可看大图
图片来自antimatter rocket

让质子和反质子进行湮灭,你会得到带电的以近光速移动π介子(charged pion)。再加载磁场后,这些π介子就可以提供推进力,它所能提供的能量密度是最优化的核聚变火箭的50倍之多。那么,降低燃料的装载量意味着星际战舰的最大速度只取决于夹带的反物质总量。

于是50%的光速就成为了可能,这样我们到南门二的旅途只要花费10时间。再进一步,逼近80%的光速也是有可能的,而这将会是非常棒的一种尝试,因为时间膨胀效应得到显著加强,以宇航员为参考系:


                               
登录/注册后可看大图

只需要3年零三个月的时间。

火箭和推进器的设想确实非常酷,但如果我们根本就不需要装带推进剂呢?如果我们能“帆航”至别的恒星呢?

下面就是基于这个理念的另一种星际旅行设想······

4.光帆(Light Sail)
光帆,顾名思义,跟普通帆船不同的是,它们依靠不是普通的风力而是由光组成的“光风”。
现今大多数关于光帆的设计都是用在太阳系内巡游的探测器,比如来自行星协会的Bill Nye等人合力推动的“Light Sail Probe”项目,这个项目的目的就是利用太阳的光线进行推进而不用装带任何的化学燃料。因为太阳发出的光子本具有能量和动量,所以借助这些光子的反射,光帆可以得到推进加速,虽然反弹的动量较小,但却是可持续的。

我摘两段话出来,大家看看:

Instead of converting the Sun's energy to usable electricity like traditional solar-powered space vehicles, a fully functional LightSail will coast on the sun's rays, moving its sail to and fro to make sure the solar radiation is constantly propelling it in the direction it wants to go. In other words, it surfs through space without burning fuel.
引自Bill Nye's first LightSail probe to launch Wednesday


                               
登录/注册后可看大图
Solar sail spacecraft capture light momentum with large, lightweight mirrored surfaces—sails. As light reflects off a sail, most of its momentum is transferred, pushing on the sail. The resulting acceleration is small, but continuous. Unlike chemical rockets that provide short bursts of thrust, solar sails thrust continuously and can reach higher speeds over time.
引自LightSail | The Planetary Society

这是一张光帆1号于2015年6月8号在地球同步轨道上拍摄自己的“帆布”的一瞬间:


                               
登录/注册后可看大图
图片来自LightSail | The Planetary Society

但这样的尺寸只是典型的无人飞行器设计形态。

如果我们想要载人风帆呢?如果我们采用不同的材质和光源呢?

设想一种风帆的帆布上是由长和宽约一公里的蓝宝石(Sapphire)铺展的涂层覆盖,通过巨型的空间激光射线推进引航,而这种激光的爆波能量相当于100个核电站之多!


                               
登录/注册后可看大图

选用蓝宝石(蓝宝石是刚玉宝石中除红色的红宝石之外,其它颜色刚玉宝石的通称,主要成分是氧化铝——Al2O3),是因为其具有高反射、热绝缘等绝佳的性能。

想象一下,建造在月亮之上大型He-3反应堆或者围绕太阳轨道的大型太阳能板激发出的光线:


                               
登录/注册后可看大图

因为我们并没有装载任何的燃料,所以风帆的最大速度只取决于激光的能量、激光的瞄准程度以及帆布的大小。

射线的有效距离越长,所获得的速度也就越大,达到10%的光速或者稍微更大一些是有可能的。

当然了,在目的地减速又是一个很大的问题。有人提过用目标恒星的stellar wind(恒星风)来减速,不过也是难度很大。尽管如此,在不断扩大光帆尺寸之后的载人,以及能超过10%的光速的可能确实令人无限向往。

最后一种,可能最酷炫、也许最作死、但却最碉堡的是······

5.黑洞引擎(Blackhole Drive)
或者按照科幻小说——Schwarzschild Kugelblitz(史瓦西球形闪电)


                               
登录/注册后可看大图
图片来自Kugelblitz! Powering a Starship With a Black Hole

Kugelblitz! Powering a Starship With a Black Hole这篇文章花了一大段讲这种科幻技术,太长了。

我为大家摘一段维基上的介绍:

In theoretical physics, a kugelblitz (German: "ball lightning") is a concentration of light so intense that it forms an event horizon and becomes self-trapped: according to general relativity, if enough radiation is aimed into a region, the concentration of energy can warp spacetime enough for the region to become a black hole (although this would be a black hole whose original mass-energy had been in the form of radiant energy rather than matter). In simpler terms, a kugelblitz is a black hole formed from energy as opposed to mass.
引自Kugelblitz (astrophysics)

简单来说呢,就是利用人造的黑洞来为引擎提供动力。这种黑洞不是产生于质量,而是来自于

根据爱因斯坦的广义相对论,足够高能量密度的激光束汇聚于足够小的一个区域,可以扭曲这个区域的时空构造产生一个奇点——Kugelblitz(在德语中由球形闪电的意思),这是一个单纯由能量激发而成的黑洞。一个正好尺寸的黑洞可以提供巨量的霍金辐射,如果尺寸越小,辐射越快,寿命也越短,尺寸太大,辐射则过慢,同时也很难帮助星际战舰提速更不方便夹带。


                               
登录/注册后可看大图

根据视频里的计算

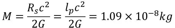
一个质量

                               
登录/注册后可看大图
的黑洞(相当于两座帝国大厦的重量),其尺寸只相当于一个质子,而这样一个黑洞可以达到

                               
登录/注册后可看大图
的辐射功率!相当于全球总能量消耗的10000倍!


                               
登录/注册后可看大图

这个黑洞会在三年半辐射殆尽,假设我们能提取大部分的辐射,这样的功率能在20天内帮助星际战舰提速至10%的光速,在三年半的时间内也许能加速至70%的光速。毫无疑问的是,这个技术将会比其他任何一项科技都要快,都要酷。但唯一的缺陷就是,制造出黑洞的激光功率需要比黑洞的功率还要大,因此对比其余技术,这也是离我们最远的最远的科技。

中场休息一下

                               
登录/注册后可看大图

我们来算算实际情况,根据大型强子对撞机(Large Hadron Collider)的数据,目前为止最强力的质子质子对碰实验能释放出~13TeV的能量,如果我们把这些撞击的能量转化为黑洞,那么根据质能方程:


                               
登录/注册后可看大图
我们可以大致算出这个黑洞的质量为

                               
登录/注册后可看大图
根据公式:

                               
登录/注册后可看大图

可以大致算出这个黑洞的史瓦西半径为

                               
登录/注册后可看大图
,小到没有普朗克长度
如果你相信霍金辐射(Hawking radiation)的话,会有:


                               
登录/注册后可看大图

你会发现,这个集合我们目前为止最强力的对撞实验所释放的能量所可能制造的黑洞,其存在时间只有,呵呵呵,

                               
登录/注册后可看大图


什么概念呢?宇宙大爆炸理论中的暴涨时期(Inflation (cosmology)),大家知道吧


                               
登录/注册后可看大图
截图来自https://www.youtube.com/watch?v=ZL4yYHdDSWs

其持续时间只有

                               
登录/注册后可看大图
!比暴涨还要短的多的多的多

辣么,不说别的,如果我们能弄到史瓦西半径接近普朗克长度的黑洞呢?

                               
登录/注册后可看大图



那么我们可以算出这个黑洞的质量M大约为:


                               
登录/注册后可看大图

如此,根据霍金辐射,这个黑洞的寿命呼之欲出:


                               
登录/注册后可看大图

已经接近暴涨时间了

豁出去了,再把数量级增大15个点,如果能弄到

                               
登录/注册后可看大图
级别的史瓦西黑洞嗫?

我们来看看这个黑洞的质量M:


                               
登录/注册后可看大图

打开霍金辐射,出招后得到:


                               
登录/注册后可看大图

寿命可以有7个小时左右

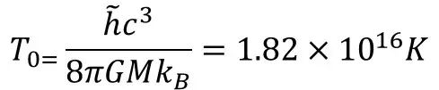
下面我们来算算这个黑洞在一开始时的温度:


                               
登录/注册后可看大图

这是一个非常高的温度,非常非常烫!而如果把这温度变换成能量的话就是1.6TeV!这也就意味着霍金辐射出的粒子不仅仅只有光子了


                               
登录/注册后可看大图
图片来自Electromagnetic spectrum

除了高能伽马射线外,还能辐射出正电子-负电子对(positron-electron pairs)和质子-反质子对(proton-antiproton pairs)。

那么黑洞辐射出的功率能有多少呢?大家看看:


                               
登录/注册后可看大图

这个功率水平大约是全世界2010年平均电力消耗的

                               
登录/注册后可看大图
倍!

那么我们离目前可能出现的最小黑洞还有多长的道路要走呢?

首先,定义一下这个所谓的“最小黑洞”:当你把一个普朗克质量限制在一个普朗克体积所获得的黑洞。

然后,我们看一下LHC的13TeV这个数据。需要多少个质子的撞击来完成这个能量的需求呢?

                               
登录/注册后可看大图

LHC现在有2808束质子流,每束有

                               
登录/注册后可看大图
个质子,一共就是

                               
登录/注册后可看大图
只质子,而这些仅仅是一个普朗克质量黑洞所需能量的34%,意味着至少需要三台大型强子对撞机同时工作同时释放所有的质子流才能够达到最小黑洞的能量需求,然后我们还得把这些能量压缩到一个普朗克体积(

                               
登录/注册后可看大图
)中去来完成这个最小黑洞,完全不可能!更别提这个黑洞几乎在瞬间就蒸发光的事实了。

小结:

上面讲了5种未来的星际旅行方式,大家在看过我的答案后,觉得哪种是最快的航行方式呢?哪种又是最为实际最为可能的呢?

老实说,如果我们必须要在极短的时间内移民或者殖民成为跨星种族,那么我选择核聚变动力型飞船,比如猎户座计划的设计。我们至少拥有核弹技术,要做的只是增加现有基础的200倍核储备,当然这个绝对违反《部分禁止核试验条约》。

即便最新的核聚变技术可能离我们至少50年之远,但聚变型引擎相比其他技术要更加的可持续。假设我们现在就尝试这个计划发射飞船的话,人类会在22世纪的后半叶登陆南门二。

反物质引擎和球形闪电黑洞推进器,它们还在遥远的未来。如果曲速引擎失败的话,它们会成为最有可能的替代品——让人们以相对最为接近光速、最纯粹的时间膨胀和尺缩效应的体验在银河系遨游。

如果我们没有人类火种的重任在肩,那么光帆技术值得一试。我们可以远洋第一艘光帆运载型无人探测器至南门二。从发射之日起不减速,需要45年的时间,再花个4.5年来接受信息。当然,载人光帆离得还很远,但是完全可行。

所以,人类的第一次星际旅行可能就会在光帆和聚变引擎之间的胜者上出现,但不管是哪一种,都会如史诗一般,众人传唱。

你最认可哪种呢?
via:土豆笔记(知乎专栏)
超级数学建模 /编辑:vingce
刊载-微信公众号:天文物理


大道至简 万物于弧
*滑动验证:
您需要登录后才可以回帖 登录 | 立即注册

本版积分规则

手机版|Archiver|小黑屋|国际弧学研究会    

GMT-7, 2025-12-15 05:12 , Processed in 0.901396 second(s), 24 queries .

Powered by Discuz! X3.1

© 2001-2013 Comsenz Inc.

快速回复 返回顶部 返回列表