设为首页收藏本站

弧论坛

 找回密码
 立即注册
搜索
热搜: 活动 交友 discuz
查看: 4744|回复: 0
打印 上一主题 下一主题

飞蛾扑火,竟然隐藏着数学秘密

[复制链接]

5923

主题

6632

帖子

7192

积分

坛主

Rank: 10Rank: 10Rank: 10

积分
7192
跳转到指定楼层
楼主
发表于 2018-11-27 22:23 | 只看该作者 回帖奖励 |倒序浏览 |阅读模式
飞蛾扑火,竟然隐藏着数学秘密[color=rgba(0, 0, 0, 0.298)]

黄逸文
中科院物理所 [color=rgba(0, 0, 0, 0.298)]
今天



世界上最神奇的数是什么,这个问题可能会有千奇百怪的答案,就好像一千个人里就有一千个哈姆雷特。大抵每个人都有自己的幸运数字和偏好。

如果问世界上最神奇的方程是什么,那么可能大多数人都会同意,它就是大名鼎鼎的欧拉恒等式。


                               
登录/注册后可看大图

在这个看起来匪夷所思的等式里,汇集了人类科学史上最重要的五个常数。它们在各自的领域里都是皇冠上的明珠,都代表着人类永攀科学高峰的征程中,留下的里程碑式的成就。

01都是有理数,承载着算数王国的基石;虚数i作为虚拟世界的支柱,是代数学的象征;无理数π诠释着几何学的美;e是自然对数的底,则闪烁着分析学的光芒。现代数学的三大分支,代数、几何与分析,都在这个公式里完美而和谐地融合在了一起。

那么,在这个五个数里面,是否就隐藏着这个世界上最神奇的数呢?

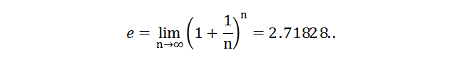
没错,这个数就是自然常数e。

历史上,人们把对数的发明、解析几何学的诞生与微积分的创始并称为17世纪数学的三大成就。e作为自然对数的底,从那个时候起,就逐渐崭露头角,发挥越来越重要的作用,为人类文明的跃升保驾护航。

在欧拉恒等式里,0、1和都是生活中处处可见的数字,虚数i则存在于人们的想象之中,只有e似乎最低调,在生活中,大多数人终其一生甚至都不曾见过e的踪影。然而吊诡的是,就是这样一个处处隐姓埋名的无理数,却揭示了宇宙中最深刻的秘密,并且反映了自然界诸多事物发展的底层规律。

其实,e一直在和我们默默地打交道,只是它隐匿得太深,要理解它还需必要的抽丝剥茧。比如,它直接影响着我们的钱包大小。


                               
登录/注册后可看大图
(图片来源:图虫创意免费版)

理财已经成为现代人必不可少的常识。对于缺乏投资渠道的老百姓,人们更倾向于把钱存入银行。曾几何时,银行以优渥的定期存款利率吸引着大部分的居民存款。

假如某银行一年期的存款利率是100%,我们来看看一年内我们能从银行薅走多少羊毛。如果我们的初始本金是1元,很显然,一年后我们能获得2块钱的收入。

如果我们希望银行半年付一次息,所得利息继续作为本金存入银行,那么一年后我们将获得2.25元的收入。

如果我们希望银行更加慷慨一些,每一个月进行一次利息计算,然后利滚利,一年后我们将获得2.61元的收入。

感谢各种宝宝的出现,我们终于可以实现按天发放利息,并且利滚利,这样算下来,一年后我们将获得2.71456元的收入。

然而,我们的“贪得无厌”总归要有一个天花板,即使银行按分钟、按秒来发放利息,我们一年后最多能获得的收益就是这样一个极限,而这个极限正是e。


                               
登录/注册后可看大图

当然,现实生活中并没有出现过100%的年化利率。常见的利率也就是在2%-5%之间浮动。如果银行年化利率是4%,那么一年后的收入极限就是e开25次方,一年后的利息收入最多只有4.08%。

从某种角度来说,e就是复利的极限,也是增长的极限。e,就这样悄无声息地为人性的贪婪划定了边界。

令人惊奇的是,它还藏身于古人口口相传的故事里。古人常用“飞蛾扑火”来表达对一部分人自不量力的藐视,也用它来称颂为了爱情而视死如归的恋人。然而,飞蛾扑火的悲剧里也伫立着e的背影。人类对这一现象理解的常见误区,是认为昆虫具有趋光性,因此就容易被火光所吸引,从而自取灭亡。通过对昆虫习性的长期研究,人们才发现,飞蛾扑火仅仅是因为它认为自己是在以正确的路线飞行,而不知道早已深处险境。


                               
登录/注册后可看大图
(图片来源:图虫创意免费版)

原来,夜晚活动的昆虫为了确保自己的运动方向,通常以月光作为参考。它在漫长的进化中,已经学会了让自己的行动路线和一束平行光线保持固定的角度,这样就能以直线飞行。

月亮与地球的距离过于遥远,每一束到达地球的月光都可以近似看做平行线。虫子就是靠着这亿万年来皎洁的月光为自己导航。不幸的是,当灯光出现以后,它的亮度远远超过月光时,灯光周围的虫子就会把这个最强的光源作为指引它飞行的灯塔。这就为悲剧埋下了种子。

由于每一缕灯光都是从一点发出来,在周围空间呈现辐射状。飞蛾根据进化的习惯,依然保持跟每一缕光线相同的夹角飞行。最后的结果,就是旋转地一圈一圈坠入灯光的中心。飞蛾的飞行曲线被称为斐波拉契螺旋线。它描述的就是一个在辐射状的网格图里,按照和每条辐射线保持固定夹角的曲线模型。

事实上,大自然中到处都有斐波拉契螺旋线的杰作。

海螺的外壳、向日葵的种子、台风的流动、水中的漩涡,包括DNA形成的双螺旋结构,甚至银河系的俯视图,都呈现出这个规律。原因就是它们在生长过程中,始终保持着与辐射线等角度的发展方向,最终就必然形成一种螺旋线的外形。这里面都包含着数字e。唯一的区别,仅仅是e的多少次方不同。在自然界的底层规律上,依然能找到e的踪迹。大自然在各种微观、宏观、生命和非生命体现象中都透露出对e的喜爱。


                               
登录/注册后可看大图
斐波拉契螺旋线——DNA的双螺旋结构
(图片来源:图虫创意免费版)


                               
登录/注册后可看大图
斐波拉契螺旋线——海螺的外壳结构
(图片来源:图虫创意免费版)


                               
登录/注册后可看大图
斐波拉契螺旋线——向日葵的种子排列
(图片来源:图虫创意免费版)


                               
登录/注册后可看大图
斐波拉契螺旋线——水中的漩涡
(图片来源:图虫创意免费版)


                               
登录/注册后可看大图
斐波拉契螺旋线——台风的流动规律
(图片来源:图虫创意免费版)


                               
登录/注册后可看大图
斐波拉契螺旋线——银河系的螺旋臂
(图片来源:图虫创意免费版)

为什么e会成为宇宙中普遍的现象呢?因为绝对的平行在现实中并不存在,只要尺度足够大,很多事物都会以辐射状的形态分布。这种发散的趋势造就了螺旋线的结构。

这样,一个不起眼的常数,却能在小到DNA的双螺旋,大到星系的分布规律中出现。e,因为反映了大自然的底层规律,也因此才被称为自然常数。

不仅如此,e在现代科学中也发挥越来越重大的作用。它的出现连接了三角函数与指数函数,奠定了分析大厦的基础。以e为基础的傅里叶变换成了信息技术的鼻祖,更造就了今日的IT产业。

同时,e在数学、物理、化学、生物、经济学等学科里变得更加举足轻重。

数学家可以用e来轻易计算高位数的高次方根;物理学家可以用e来求解各种揭示宇宙规律的物理方程;化学家用e来进行PH值的计算,来得到对数的浓度图。生物学家用e来描述微生物的生长和细菌的繁殖;经济学家也用e来处理大数据的金融分析。这是一个无处不在的数字。

e不仅重要,而且是唯一的。如果没有这样一个无理数的存在,也许整个宇宙都将不复存在。它以最让人难懂的价值,却肩负着宇宙间所有事物的进展规律。

因此,我们有充分的理由相信,e,就是世界上当之无愧的神奇。
来源:科学大院
大道至简 万物于弧
*滑动验证:
您需要登录后才可以回帖 登录 | 立即注册

本版积分规则

手机版|Archiver|小黑屋|国际弧学研究会    

GMT-7, 2026-1-25 03:39 , Processed in 0.723545 second(s), 23 queries .

Powered by Discuz! X3.1

© 2001-2013 Comsenz Inc.

快速回复 返回顶部 返回列表