设为首页收藏本站

弧论坛

 找回密码
 立即注册
搜索
热搜: 活动 交友 discuz
查看: 5989|回复: 0
打印 上一主题 下一主题

矩阵力学:海森堡、玻恩与约当的天才共鸣曲

[复制链接]

5917

主题

6625

帖子

7185

积分

坛主

Rank: 10Rank: 10Rank: 10

积分
7185
跳转到指定楼层
楼主
发表于 2016-2-1 22:45 | 只看该作者 回帖奖励 |倒序浏览 |阅读模式
矩阵力学:海森堡、玻恩与约当的天才共鸣曲

原创 2016-02-02 曹则贤
赛先生
编者按

量子力学是一个最不可思议,最有颠覆性的物理理论。比如说在牛顿的经典理论中,我们用六个实数描写一个粒子的状态。这六个数,三个是粒子在三维空间的位置,三个是粒子的动量(包括粒子的运动方向)。但是对粒子状态如此自然而然的描写却是错误的。量子力学告诉我们描写粒子位置和动量的这些物理量,根本不是数,而是矩阵(也叫算符)。这简直是莫名其妙。但这莫名其妙的理论却能正确地得出微观实验观测到的结果。

从数到矩阵,这真是神来之笔。这篇文章告诉你,这神来之笔是怎么被人做出来的。当你抛弃一切课本中学到的包袱,用最纯净天真的心去感受自然的时侯,也许你也能有这神来之笔。
——文小刚
如果谁想要阐明“一个物体的位置”(例如一个电子的位置)这个短语的意义,那么他就要描述一个能够测量“电子位置”的实验,否则这个短语就根本没有意义。
——海森堡


                               
登录/注册后可看大图

曹则贤(中国科学院物理研究所研究员)

玻尔模型认为光是电子在改变状态的跳跃过程中发出的,并且给出了氢原子谱线的位置,即谱线的频率或波长,一个看似合理的解释。索莫菲的模型能解释一些谱线在磁场下的分裂(见后文),这又往前进了一大步。但是,直到1925年,人们对于谱线的相对强度还是不了解。容易从谱图上看出原子所发不同谱线在强度上存在很大的差别(图1)。把一根蘸了食盐溶液的金属丝放到酒精灯的火焰上,火焰的颜色会被黄色主导(图2),这是因为钠的双黄线非常强的缘故。那么,是什么因素决定了一条谱线的强弱呢?

                               
登录/注册后可看大图

图1. 氦原子光谱。不同谱线明亮程度不一。


                               
登录/注册后可看大图
图2. 一点盐水足以让酒精焰变成黄色。
1克拉默斯的努力
在经典理论中,辐射强度同振荡电场的振幅平方成正比。自然,关于原子谱线的强度,人们也希望循着这个思路构造理论。克拉默斯 (Hendrik Kramers)建议对电子的量子轨道变量,Xn,以轨道能量对应的角频率ω为基频作傅立叶分析,

                               
登录/注册后可看大图
           (1)
玻尔曾建议此处的k-次谐波项对应从能级n到能级n-k之间的跃迁,辐射强度正比于 |Xn;k |2 。
这个方案当然不能解释谱线的强度。 不考虑公式(1)的其它内容,它的重要特征是只涉及单一轨道,而跃迁分明是发生在两个状态之间的事情。但是,这个没有丝毫正确可能的尝试却导致了矩阵力学的建立,而这才标志着量子力学的正式建立。
2海森堡的半截子论文
构造恰当的量子力学的努力在哥本哈根(由玻尔领导)、哥廷根(由玻恩领导)和慕尼黑(由索莫菲领导)同步进行。 一个幸运的年轻人,海森堡(Werner Heisenberg, 1901-1976),出场了。说他幸运,是因为他在这三个地方都待过。索莫菲是他的博士论文导师,玻恩是他的授课资格研究(Habilitation,通过后就可以任私俸讲师)的导师。
时光转眼到了1925年,年轻的海森堡博士也在认真考虑光谱的强度问题。此前,在1922年,他的导师索莫菲因为知道他对玻尔的模型感兴趣带他到哥廷根参加玻尔节,第一次见到了玻尔。1923年他从慕尼黑大学博士毕业以后,到哥廷根大学跟随玻恩作资格研究,课题是关于反常塞曼效应。这些都让他很早接触到了量子力学研究的前沿。
海森堡对谱线强度的思考被誉为顿悟(epiphany)。1925年5月,他试图仅仅用可观测量(如谱线位置、强度等), 实际上是观测量之间的关系,而不是电子位置、轨道这些看不见摸不着的概念来描述原子系统。7月7日他因为躲避花粉到北海的一个岛上疗养,期间他一边读着歌德的诗篇一边继续思考原子谱线问题。那天深夜,他的计算有了结果:“差不多是夜里三点钟,计算结果最终出来了。我深深地被震惊了。我很兴奋,一点也不想睡。于是,我离开房间,坐在一块岩石上等日出。”
但是,研究发光的人们都知道,用某个频率的光激发物体发光,发出来的光不一定是原来的频率,一般地是在较低的频率,甚至出现在几个较低的频率上。比如,古人误以为是鬼火的东西(含磷物质的发光,在可见光范围),就是由太阳中的紫外线激发的。设想有个物理过程,自n状态开始,到m状态结束, 但是假设它分两步进行,中间要经过某个k状态。现在引入某个物理量(这个物理量是什么意思,先不管它)描述这些过程,c(n,m)描述自n状态到m状态的过程,a(n,k)描述自n状态到k状态的过程,b(k,m)描述自k状态到m状态的过程,那么也许就应该有

                               
登录/注册后可看大图
,也就是对所有可能的中间过程 k 求和 (图3)。这个公式暗藏玄机,后来我们知道这就是矩阵的乘法,这是量子力学的核心算法!

                               
登录/注册后可看大图

图3. 从状态n到状态m的跃迁,可以是直接的,也可以是经过某个中间状态的。

在经典力学中,振动的强度是和振幅平方成正比。关于(氢)原子发光,玻尔模型认为发光是个电子跳跃过程,这个过程涉及的初态和终态之间的能量差决定了发光频率。可是,对这个过程的描述中应该考虑什么样的振动呢?海森堡和克拉默斯合作过,后者的色散研究给了海森堡很大的启发。海森堡想到,既然发光涉及两个状态,可能引起它的电场振动就应该由这两个状态加以标记,记为 Xnm,其傅里叶分析中的分量只有一个频率,即对应两个状态能量差的频率。这样,这个振动 Xnm 随时间的变化,海森堡猜测,应该为

                               
登录/注册后可看大图

。这样的一通猜测会正确吗?
物理学家构造了一个模型或理论,要想知道它是否有正确性的一个办法是把它用到一个熟知的问题上。海森堡就把他的这套理论用到谐振子问题上,因为谐振子振动的解是现成的,引入一个新变量 A(t) = x(t)+ip(t) ,发现

                               
登录/注册后可看大图
,这是一个单位谐振频率的振荡量。如果也写成 Anm(t) 的形式,顺着这个思路接下来可以计算Xnm 和 Pnm,进一步的计算会发现 (XP)nm ≠ (PX)nm 。这是怎么回事? 海森堡不懂,自然也不指望它能解释谱线的强度了。但海森堡就是海森堡,他把上述结果写了个草稿,交给了玻恩寻求指点,自己度假去了。
3矩阵与矩阵力学
问题摆到了玻恩的桌上,学养深厚的玻恩马上认识到这个公式涉及的是矩阵的乘法。顺着海森堡的思路,玻恩发现谐振子问题给出的矩阵 Xnm 和 Pnm ,满足关系

                               
登录/注册后可看大图
,或者简记为

                               
登录/注册后可看大图
                    (2),
一个把人类的物理学知识提高一个层次的公式出现了。海森堡的半截文章经玻恩完善后顺利发表,不久玻恩和海森堡合作发表了一篇文章,他们俩加上玻恩的助手约当(Pascual Jordan)也合作发表了一篇文章。这三篇文章构成了量子力学的第一种形式——矩阵力学。顺便说一句,这一年天才的约当才23岁。他从关系式(2)出发计算 xpn- pnx,所得到的关系

                               
登录/注册后可看大图
,即动量相当于对坐标的微分,是后来量子力学应用的前提。
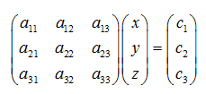
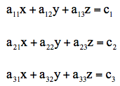
熟悉线性方程组的读者都知道,线性方程组,比如三元的,

                               
登录/注册后可看大图
                     (3)
可以写成更紧凑的形式

                               
登录/注册后可看大图
        (4)
这里括号里排成阵列的数构成矩阵,用行数和列数来标识,

                               
登录/注册后可看大图
是 3×3 矩阵,

                               
登录/注册后可看大图
是 3×1 矩阵,(x y z)是 1×3 矩阵。自然,矩阵一般地是一个 n×m 矩阵。可以把矩阵当成一个数,当然是有其独特加法和乘法的数。两个矩阵 A,B如能相加,C = A+B ,则一定具有同样的行数和列数,且Cnm = Anm + Bnm ;若两个矩阵 A,B能相乘,C = A×B ,则前一个矩阵的列数,一定和后一个矩阵的行数相等,且

                               
登录/注册后可看大图
对于普通的实数和复数,乘法满足交换律 ab=ba 。但是对于矩阵,乘法不一定满足交换律,有可能 A×B ≠ B×A  。但是,矩阵很重要,因为还记得我们前面提到的,设想有个物理过程分两步进行,则描述整个过程和中间过程的物理量之间可能遇到算法

                               
登录/注册后可看大图
,这分明就是矩阵的乘法!请记住,矩阵是量子力学里经常用到的、独特的“数”形式,有独特的算法,因此可以表述相应的物理现象。或者反过来说,特定的物理现象,要求具有特定算法的“数”来表述它!数学与物理的紧密关系,由此可见一斑。
基于把坐标和动量等物理量表示成矩阵的量子力学形式被称为矩阵力学。由于矩阵算法当时还不为物理学家所熟悉,矩阵力学建立的基础说它是瞎猜也不为过,所以矩阵力学并没有能为物理学家所接受。但是,有人看出了其中的非凡之处。狄拉克就指出,海森堡的矩阵力学表明,量子力学用到的物理量,可能是非对易关系的,即不满足乘法交换律。可以想见矩阵力学带给当时物理学家的冲击,怎么坐标、动量这些我们用习惯了的量突然变成了不可对易的怪物了呢?人们一时还转不过来弯来。后来我们将看到,物理操作的非对易性是量子力学的核心。
其实,对于不可对易的算法,没有什么可惊讶的。普通数的减法和除法就具有不可对易性, 除非是 a = b,否则 a-b ≠ b-a,a÷b ≠ b÷a 。如果我们把物理量看成是描述具体动作(操作)的,物理量和操作是对应的,会发现世界上到处是不可对易的操作。早上起来,我们要刷牙、洗脸,似乎先刷牙还是先洗脸都无伤大雅。我们还要穿鞋、穿袜子,这时候顺序就有讲究了,先穿鞋还是先穿袜子效果是不一样的。 另一个比较容易理解的例子是如何救助一个饥渴的人,是先给水喝还是先给饭吃?先喝水或粥,然后给饭吃,这个人算是救下来了;但如果是先给饭吃,后给水喝,很可能会把他撑坏了。如同  xp-px = iħ,(喝水)(吃饭) - (吃饭)(喝水) = 一条人命 。
一个在日常生活中和量子力学中具有相同表现的是转动。设想你侧躺在地上,准备做如下两个动作,倒立,趴下。你自己可以演示一下,(倒立)(趴下)同(趴下)(倒立)的最终效果是不同的。这些例子是想说,在我们的物理世界里,不对易的两个操作很普遍,海森堡的矩阵力学正巧碰到了这一点。量子力学同经典力学不同的地方是,许多在经典力学里可交换的一对操作,在量子力学里就不可交换了。
海森堡和玻恩发现的 xp-px = iħ,后来也被称为量子化条件 (当然是只适应于一些物理问题),很神奇。它一经出现,就吸引了众多物理学家的目光。至于原子光谱线的强度问题,有人会继续关注的。
在矩阵力学被提出不久,实际上也就几个月的时间(许多人还没回过神来),另一种相竞争的量子力学形式就诞生了。

4费米的黄金规则
海森堡试图计算谱线强度的努力导致了矩阵力学的出现,极大地促进了量子力学的发展。但是,谱线强度的问题在那时并没有得到满意的答案。后来,在量子力学得到了充分发展了以后,人们认识到谱线强度不仅依赖于所涉及的初态和终态,还依赖于引起发光的机制。关于谱线强度,或者说谱线所对应的电子跃迁过程的发生几率,由公式

                               
登录/注册后可看大图
给出。此公式的细节及其意义读者暂时可以不必理会,它被称为费米(Enrico Fermi)黄金规则。此规则由天才的狄拉克(P.A.M. Dirac)于1927年提出[1]。
注释

[1] 狄拉克就是这么谦虚。费米-狄拉克统计在他嘴里也就是费米统计。

大道至简 万物于弧
*滑动验证:
您需要登录后才可以回帖 登录 | 立即注册

本版积分规则

手机版|Archiver|小黑屋|国际弧学研究会    

GMT-7, 2025-10-16 20:18 , Processed in 0.508986 second(s), 22 queries .

Powered by Discuz! X3.1

© 2001-2013 Comsenz Inc.

快速回复 返回顶部 返回列表