设为首页收藏本站

弧论坛

 找回密码
 立即注册
搜索
热搜: 活动 交友 discuz
查看: 1917|回复: 0
打印 上一主题 下一主题

对于麦克斯韦方程组,洛伦兹变换的低速极限是伽利略变换吗?

[复制链接]

5917

主题

6625

帖子

7185

积分

坛主

Rank: 10Rank: 10Rank: 10

积分
7185
跳转到指定楼层
楼主
发表于 2022-4-24 17:41 | 只看该作者 回帖奖励 |倒序浏览 |阅读模式
对于麦克斯韦方程组,洛伦兹变换的低速极限是伽利略变换吗?

中科院物理所
[color=rgba(0, 0, 0, 0.3)]2022-04-16 23:05

The following article is from 中国物理学会期刊网 Author 戴希 沙威 陈昊



|作者:戴希1,† 沙威2 陈昊3
(1 香港科技大学物理系)
(2 浙江大学信息与电子工程学院)
(3 普林斯顿大学电气与计算机工程系)
本文选自《物理》2022年第3期


运动介质的电动力学,这个启发爱因斯坦那一代科学家发展出狭义相对论的著名问题,最近再一次成为中国科技界的热点话题。在热烈的讨论过程中,有一个问题反复出现,就是对于描写电磁场运动规律的麦克斯韦方程组,有非相对论极限吗?当运动介质的速度远低于光速的时候,我们可以不考虑相对论效应,用伽利略变换来近似洛伦兹变换吗?经过讨论,笔者发现许多科技工作者对这个问题存在不同程度的误解,其中最大的一个就是以为介质速度不快就没有相对论效应,伽利略变换也近似可用。造成这一误解的主要原因还是对狭义相对论的理解不够透彻,尤其是对狭义相对论与经典电磁学之间的密切联系缺乏认识。下面,笔者将通过这篇短文,专门介绍一下洛伦兹变换的低速近似问题。

01只有在研究高速运动的物体时才需要狭义相对论吗?
许多介绍相对论的科普文章和教科书都以相对论力学为主要介绍对象,这一方面是因为力学研究的对象更贴近人们的生活,另一方面也是为了方便“炫耀”相对论的神奇,以便把“时间旅行”、“回到未来”这些荒诞不经的幻想和薛定谔的那只猫一样,推上大众文化的餐桌,反复消费。其实,狭义相对论是19世纪下半叶科学家们在研究电磁现象的时候逐步建立起来的。在笔者看来,对电磁现象而言,狭义相对论的出现非常自然和必要,相反非相对论的电磁世界才是荒唐且不合逻辑的。实际上,狭义相对论的提出,正是为了统一力学世界和电磁世界中关于参照系变换截然不同的观念[1]。让我们先从相对性原理讲起。

相对性原理是一条自然界的公理,即物理规律在任何惯性参照系下都保持一致。我们很容易检验,经典的牛顿力学满足相对性原理。在通过伽利略变换,把时空坐标从一个参照系变换到另一个参照系后,物体的坐标、速度、动量等都会发生改变;但决定这些物理量演化的规律保持相同的形式,即牛顿三大定律在不同的惯性系下保持完全一样的形式。比如牛顿第一定律:当一个物体处于不受力的状态时,它的速度保持不变。在实验室参照系S下牛顿第一定律可以写成u=常数。现在假设一个以速度v相对于实验室参照系匀速直线运动的S′系,根据牛顿力学背后的绝对时空观,我们可以用如下伽利略变换建立不同惯性系下的坐标(xyzt)和(x′,y′,z′,t′)之间的关系:x′=x-vty′=yz′=zt′=t,并得到在S′系下牛顿第一定律的形式为u′=u-v=常数。可以看到,虽然在不同惯性系下观察者分别测到不同的速度uu′,但不受外力的物体的运动速度在各自的参考系下均保持不变,这一运动学规律的形式是完全一致的。  

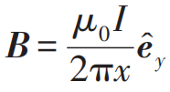
从上面的例子可以看到,相对性原理在牛顿力学中是非常显然的。但是在电磁世界里则完全相反:如果还是坚持牛顿力学的绝对时空观,用伽利略变换来联系不同惯性系的话,相对性原理是显然不成立的。或者也可以这样说,要使电磁现象的规律满足相对性原理,我们需要时空坐标以不同于伽利略变换的方式变换。下面就来看一个非常简单的例子[2],假设在实验室系S中有一个试探点电荷被置于在一根沿着z方向的通电导线的附近x处,试探电荷保持静止,导线保持电中性并通以电流I=env,其中n是导线中电子的线密度,v是电子的漂移速度。在S系的观测者看来,导线中的电子以-v的速度沿着反方向运动而正电荷保持静止,从而形成+z方向的电流I,又由于电子和正电荷的线密度相等,都为n,因此正负电荷完全抵消,导线是电中性的。根据电磁学知识,我们可以轻松得到试探电荷处的磁场强度

                               
登录/注册后可看大图
。由于我们考虑的试探电荷在实验室系中处于静止状态,因而受到的洛伦兹力严格为零;再加上导线是电中性的,在试探电荷处不产生任何电场,在实验室系的观测者看来,试探电荷受到的总的电磁力严格为零,电荷不会产生任何运动。总结一下,在S系的观测者看来,  

                               
登录/注册后可看大图

下面让我们换到另一个惯性参照系S′来观测同一个物理过程。现在我们选择的参照系是以导线中电子的漂移速度-v沿着导线匀速运动的参照系。如果按照牛顿力学的观点对时空坐标做如下伽利略变换:

                               
登录/注册后可看大图
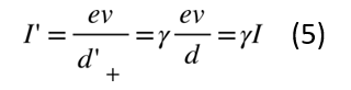
那么在S′参照系的观察者看来,试探电荷以v的速度运动,导线中的电子是静止的,而正电荷以v 的速度沿着导线运动。根据电流的定义,我们得到在S′系的电流I′不变,还是等于S系中观测到的电流I,同时导线依然是电中性的,从而产生与S系中一样的电磁场。现在我们可以总结一下对这一问题进行伽利略变换得到的结果:在S′系中观测到的电磁场严格等于在S系中的电磁场,也就是在伽利略变换下电磁场不变 E′ = E, B′ = B ,因为产生它们的“源”:电流和电荷密度都不变。但是,原先在S系中静止的试探电荷,在S′系的观测者看来以v的速度沿着导线方向运动,从而受到一个指向导线的大小

                               
登录/注册后可看大图
的洛伦兹力,并向着导线方向加速运动。

现在问题来了,同一个物理过程,实验室参照系S和运动参照系S′的两个观察者得出截然不同的结论!一个认为试探电荷不受力,与导线之间的距离保持不变;另一个却认为试探电荷会受力并加速运动。这个简单的案例,给出了对一个经典电磁学问题用伽利略变换进行时空坐标变换的一个佯谬。那么到底谁对谁错,又是在哪个环节出了问题?是相对性原理不适用于电磁现象?还是伽利略变换不适用于电磁现象?

这是19世纪末物理学界最令人抓狂的问题,最后由那一代物理学家中的杰出代表洛伦兹、庞加莱和爱因斯坦等给出了令人信服的答案——狭义相对论。针对上述佯谬,答案应该是S系中观察者的观点是对的,电荷不受力。那么S′系的观察者做错了哪一点呢?问题出在从S系到S′系的时空坐标变换。狭义相对论告诉我们,在两个惯性参照系之间,严格的时空坐标变换形式是洛伦兹变换而不是伽利略变换,无论对力学现象还是电磁现象都是如此。只是对于牛顿力学研究的宏观物体来说,伽利略变换是在低速(远低于光速)下的很好近似。然而对于电磁场这样的规范场来讲,它对应的微观粒子——光子是无质量的,如果要保留电磁场方程自身的动力学,在任何情况下伽利略变换都不是一个物理上可接受的近似。比如上述佯谬就是一个典型案例,哪怕运动速度v远远低于光速,这个问题还是一样存在,是定性而非定量的错误问题。实际上对S′参照系中的观测者来说,他观测到的电流I′并不等于I,更重要的是他测到的导线不再是电中性的而是带有均匀的电荷密度ρ′!正是电荷密度ρ′产生的径向电场严格抵消掉了磁场产生的洛伦兹力,使得S′参照系中的观测者得到跟S系中一样的总力严格为零的结论,从而满足相对性原理。

接下来我们仔细介绍一下如何用洛伦兹变换来解决上述佯谬。首先利用洛伦兹变换写出分别在实验室参考系S和运动参考系S′中测到的时空坐标(xyzt)和(x′,y′,z′,t′)之间的变换关系:

                               
登录/注册后可看大图

                               
登录/注册后可看大图
用一个简单的物理假设来理解导线中的电流I,就是在实验室系S中,导线中的电子一个个间隔均匀排列并以匀速-v沿着z方向运动,而正电荷也以同样的均匀的间隔排列并保持静止。在这一假想实验中,我们设定S系中的观测者测得导线是电中性的,即在S系中负电荷之间的间隔d-严格等于正电荷之间的间隔d+,设d-=d+=d,对应的正负电荷线密度的绝对值为

                               
登录/注册后可看大图
,电流为

                               
登录/注册后可看大图


                               
登录/注册后可看大图
图1 在洛伦兹变换下,两个惯性参照系SS′中电荷运动情况

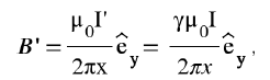
现在换到跟负电荷一起以-v速度沿着z方向运动的S′系。在S′系的观测者看来负电荷是静止的,而正电荷以速度v沿着z方向运动。跟伽利略变换不一样的是,在洛伦兹变换下,电荷之间的间距要发生变化,如图1所示,导致在S′系里正负电荷的密度是不一样的,从而在导线中产生净电荷密度。那么如何得到SS′系中不同的电荷间距关系呢?这就要用到上面给出的洛伦兹变换。先来看S系的观测者是如何理解以-v速度匀速运动的负电荷间距的,在他看来,相邻两个负电荷之间的空间距离是由下面两个时空事件之间“时空距离”的空间分量来确定的。时空事件一:第N号负电荷在时刻t位于时空坐标(xyz1,t)处;时空事件二:相邻的第N-1号负电荷在同时刻t位于空间坐标(xyz2,t)处,于是在S系中测到负电荷之间的间距d-=z2-z1。这两次测量事件在运动的S′系中对应的时空坐标分别为(x′,y′,z′1,t′1)和(x′,y′,z′2,t′2)。这里要注意,狭义相对论的一个重要结论是所谓“同时性”是相对的,在S系中看起来是同时的两个测量事件在S′系中并不同时,因此t′1并不等于t′2,但在S′系中负电荷是静止的。因此,跟S系的观测者不同,为了确定相邻负电荷之间的间距,S′系的观测者并不需要两次测量是同时的;换句话说,他同样可以利用这两次时空事件的坐标得到S′参照系中的负电荷间距d'-=z'2-z'1。现在我们就可以通过上面列出的洛伦兹变换公式得到d′-=γd-,由于γ是一个总是大于1的因子,因此一个匀速运动的物体在其运动方向上的长度要缩短一个因子γ-1,这就是狭义相对论里非常著名的“尺缩”效应 (与距离的尺缩效应相对应,时间差在变换参考系后延长一个因子γ称为“钟慢”效应[3]) 。同样的分析也适用于正电荷的情况,唯一不同的是,对正电荷来说情况正好相反,在S系中静止,而在S′系中匀速运动,因此可以得到d′+=γ-1d+。比较一下上面得到的S′系中正负电荷间距d′+和d′-,可以明显看出它们并不相等,因此S′系中的导线是带电的,净电荷线密度为

                               
登录/注册后可看大图
而电流为

                               
登录/注册后可看大图
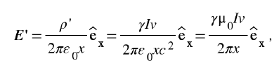
现在我们已经得到S′系中的电荷密度ρ′和电流强度I′,下一步可以计算由上述电荷密度和电流强度引起的电磁场和试探电荷q的受力情况了。再提醒一下,在S′系里的试探电荷qv沿着z方向运动。简单的计算过程如下:

                               
登录/注册后可看大图

                               
登录/注册后可看大图

                               
登录/注册后可看大图
结果是,在S′系的观测者同样得出试探电荷受力为零的结果,相对性原理得到满足。注意,在上面的推导中我们用到了光速c的定义

                               
登录/注册后可看大图
。从上面的结果可以看出,不管速度v的数值有多小,只有正确地运用洛伦兹变换,不同参照系的观测者们才能达成一致。在一个参照系里的观测者只看到磁场,而在另一个系里的观测者则同时测到磁场和电场,不同参照系下的场量不一样,但满足各自参照系下完全一样的麦克斯韦方程组,这就叫相对论协变性。那么洛伦兹变换能不能做低速近似呢?当然是可以的,洛伦兹变换形式中含有v/c因子,可以做小量展开,最低阶是一阶,也就是把上式中所有的γ因子都近似成1。但从上面这个简单的例子可以看出,即使对v/c展开到一阶,电磁场EB也要发生变化,对电磁场来说,洛伦兹变换的低速极限永远不是伽利略变换。同时,也要提醒大家,如果把洛伦兹变换展开到v/c的一阶,那么相对论协变性也只满足到v/c的一阶。下面,我们就以推导动体介质的电动力学方程为例,来介绍一下如何利用洛伦兹变换的低速展开来研究具体的电磁学问题。需要指出的是,在20世纪初,这一问题是启发爱因斯坦思考相对论的重要问题,并最后由闵可夫斯基完美收官。但对于21世纪的我们来说,这就是一道典型的电动力学习题。这就像第一个造出轮子的人一定是天才,而第二个嘛可以算是个好学生,前提是他也能造得足够圆。

02动体介质电动力学方程

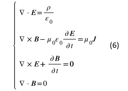
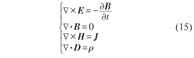
在介绍动体介质电动力学之前,先来简单介绍一下何谓“介质”。介质指的是能对电磁场进行响应的各类物质。最简单的介质以产生电/磁偶极矩的方式对电磁场进行响应,其中电偶极子就是电荷分布缺乏中心对称的分子,而磁偶极子在微观上就是外层电子总角动量不为零的分子,可以看作是存在着围绕分子中心的微观电流。在描写宏观连续介质的电磁性质时,我们引入两个矢量P(r, t)和M(r, t),分别代表空间r处的电/磁偶极矩密度。很容易证明,P(r, t)的散度∇·P(r, t)=ρP(r, t)是介质中的极化电荷密度,M(r, t)的旋度∇×M(r, t)=Jm(r, t)则是相应的分子电流密度。有了P(r, t)和M(r, t),我们就可以讨论介质中的麦克斯韦方程组了。在此之前先澄清一点,在一些教材和文章里把以下这个麦克斯韦方程组说成是所谓“真空里的”麦克斯韦方程组是很不严谨的,因为它既是真空里的也是介质里的麦克斯韦方程组,只要方程右边的电荷密度同时包含自由电荷和极化电荷,电流密度同时包含自由电流和分子电流密度即可,所以应该称之为普适或者基本麦克斯韦方程组。

                               
登录/注册后可看大图

曾在香港科技大学教了10年电动力学的杜胜望老师曾对我提起,这一点他每次上课都是反复提醒,所以我们系毕业的学生大概是不会弄错了。为什么要那么较真,反复强调这个概念呢?这是因为要强调介质里的电磁场是独立的,并按照统一(跟真空中完全一样的)动力学规律演化的实实在在的物质,不是依附于介质的附庸,所以当介质开始运动的时候,其中的电磁场不会“月亮走我也走”,寸步不离地跟着介质一起运动。这一点跟介质中的声波存在本质的不同。

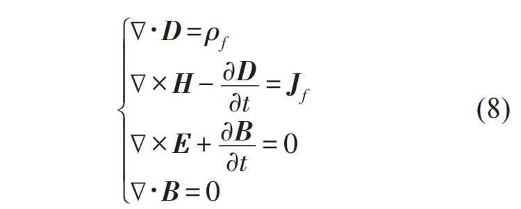
在介质中,电磁场会进一步引起电磁响应,即PM,传统电磁学里将PM所对应的极化电荷密度和分子电流密度与自由电荷产生的电荷/电流密度分开处理,因此定义了两个新的场量DH

                               
登录/注册后可看大图
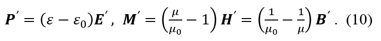
原则上这两个介质中的辅助场量(auxiliary fields)由介质中的电磁场EB自洽确定,而PMEB(或者H)之间的关系称为本构关系,对于大部分介质来说,这个关系展开到线性就基本够用了,称为线性介质。而这些线性介质的本构关系传统上由介电常数ε和磁导率μ来刻画(真空的介电常数和磁导率分别为ε0和μ0)。定义D=εEB=μH,并由此得到P=(ε-ε0)EM=

                               
登录/注册后可看大图
和如下“闵可夫斯基形式”的麦克斯韦方程组:

                               
登录/注册后可看大图
其中,ρfJf分别代表自由电荷/电流密度。前面已经介绍过普适麦克斯韦方程组在洛伦兹变换下是协变的,即保持方程形式不变,只要把所有在方程里出现的量,包括场、时空坐标和对时空坐标的导数都从不带撇的参照系换到带撇的就行。那么动体电动力学方程如果是一道习题的话,它的题面是什么呢?在这里,我们把它严格地写在下面。

动体介质电动力学问题:已知一种电磁介质,其特性在静止时由介电函数ε和磁导率μ来刻画,求当这块介质以匀速v相对于实验室参照系运动时所对应的本构关系。

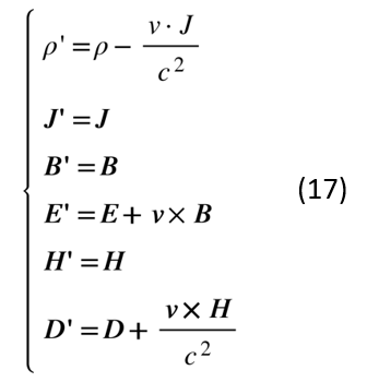
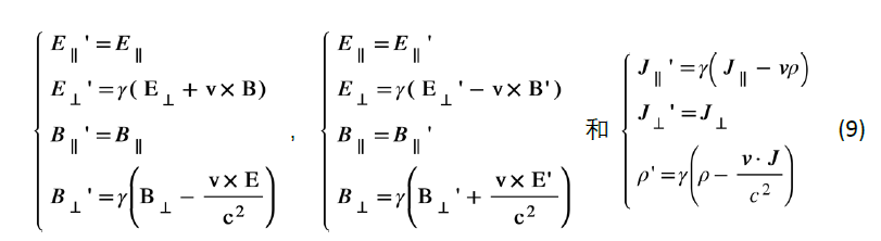
接下来跟前面一样,我们把实验室参照系记为S,把随着介质一起运动的参照系记为S′。由于在S′中介质保持静止,其电磁学特性由εμ来刻画,为了解决上述动体介质电动力学问题,只要简单地做一个从S′系到S系的参照系变换就行。在近期的讨论中,也有同学提出如果有多块运动介质怎么办?其实这正是使用实验室参照系的优势,不管有多少块介质以不同的速度运动,都可以变换到唯一的实验室参考系来统一描述。下面,我们就用洛伦兹变换来解决这个问题。从前面这个特殊例子,可以知道在洛伦兹变换下,电磁场EB和源场电荷/电流密度ρJ都必须跟着变,这里我们先给出严格的洛伦兹变换下场和源的正变换和逆变换形式:

                               
登录/注册后可看大图

                               
登录/注册后可看大图
并且我们已知在S′系中的本构关系为

                               
登录/注册后可看大图
现在要求在S系中的电磁学方程。已经知道,S系中电磁学方程的形式还是一样的麦克斯韦方程组,唯一不清楚的就是S系里的本构关系。这也很容易求,只要在洛伦兹变换下将S′系的P′和M′变换到S系的PM就行了。下面就来求这个变换关系。先看电极化密度P。根据定义,体系里的极化分子贡献的宏观极化强度可以表达为

                               
登录/注册后可看大图
,其中δV(R)为空间坐标R处的体积元,求和 i 遍历该体积元内的所有极性分子,δri代表第i个分子正负电荷中心之间的位移矢量。在S系中介质中的极性分子以v的速度沿着x轴运动,而在S′系中则是静止的,将我们在上一节中对电荷密度的分析应用于此,可以得到

                               
登录/注册后可看大图

                               
登录/注册后可看大图
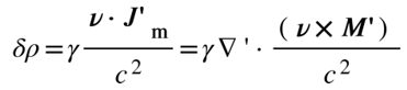
,由此可以得到这部分的贡献在变换以后平行分量不变,而垂直分量要乘以一个γ因子。同时,在S系中除了上面考虑的极化分子会贡献宏观极化强度外,以速度v运动的分子电流也会对总极化强度产生额外的贡献。这部分贡献可以这样计算。首先在S′系中与磁化强度M′(r′)对应的分子电流为Jm=∇′×M′(r′),由上述电流/电荷密度变换关系,变换到S系以后会产生额外的电荷密度为

                               
登录/注册后可看大图
。由此,很容易证明这部分额外电荷密度分布对极化强度的贡献为

                               
登录/注册后可看大图
。将上述两部分相加,得到S系中的电极化强度:

                               
登录/注册后可看大图
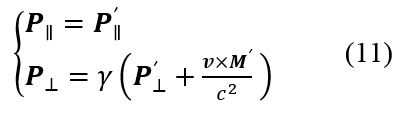
利用磁化强度与微观分子电流之间的关系,我们可以类似地得到磁化强度在不同参照系之间的变换关系,这里不做详细的推导,有兴趣的读者可以参考相关文献[4],最简洁漂亮的推导可以在泡利的Theory of Relativity中找到。与电极化强度类似,在S系中的磁化强度也有两项贡献,除了常规的分子电流带来的磁化以外,运动介质中电极化场的运动效应也将带来额外的贡献,两项相加可以得到:

                               
登录/注册后可看大图

下一步,我们利用S′系中已知的静态介质本构关系将P′和M′表示成E′和B′,然后再利用上述洛伦兹变换将E′和B′变换成EB,最后将表达式里所有的γ都近似成1,就得到了精确到v/c一阶的S系中的本构关系如下[5],

                               
登录/注册后可看大图

闵可夫斯基于1907年得到了上述方程。它的物理含义非常简洁明了,假设一块介质在静止的时候可以用介电函数ε和磁导率μ来描述其电磁特性,那么当它以速度v运动时,就成为了一块具有“磁电”效应的介质,也就是说磁场可以诱导出电极化,而电场也能诱导出磁极化,这种磁电耦合强度,与介质和真空中的光速倒数平方之差成正比,也与介质运动的速度v成正比。当然,在这个简单的例子中,我们只讨论了最简单的均匀线性介质,在闵可夫斯基之后的一百多年时间里,又有不少文献讨论了各种更复杂的情况,比如非均匀介质和包括变形和转动在内的广义运动介质等。但无论是什么复杂的情况,麦克斯韦方程组的协变性都不会受介质运动影响,运动介质带来的影响只能体现在本构关系上,这是闵可夫斯基运动介质电动力学理论最精髓的所在。介质运动带来的最低阶修正正比于介质运动速度的一次方,完全是相对论效应。

03什么是“伽利略电磁学”?
上面我们以如何求运动介质的本构关系为例,介绍了如何做洛伦兹变换的低速展开,即严格按照洛伦兹变换的步骤,同时做电磁场、源场、时空坐标、时空坐标导数的变换,得到最后的表达式后,再对其中出现的所有v/c项做展开到一阶。在大多数情况下就是把其中出现的γ因子近似成1而已。在笔者看来,这样的展开毫无必要,因为哪怕不做任何近似,洛伦兹变换就已经是线性变换了,足够简单了。在这个计算资源丰富的时代,做这点近似带来的变化无非是写程序的时候写一行还是两行,按计算器的时候按三下还是五下的区别。当然,做了近似以后,在解析表达式上我们可以用统一的矢量方程描写,不必把平行和垂直分量分开写,看起来会简洁一些。然而在历史上,还有一种在洛伦兹变换线性展开的基础上,针对不同的具体问题对场量再做进一步近似的方法,称为“伽利略电磁学”[6],下面我们再简单介绍一下这种近似方法和伽利略变换的关系。

简单地说,这种“伽利略电磁学”其实就是我们熟悉的准静态近似,即在某些特殊情况下,可以把动态的电磁学问题近似成静电学或者静磁学问题。相应的,准静态近似也有两种,分别对应静电学和静磁学问题,称为电极限和磁极限。对于电极限准静态近似或者“电学伽利略电磁学”来说,这类问题主要是研究与时间缓变电荷密度相关的电磁学问题。在这种情况下,我们可以把其中的纵向电场和电荷密度看作零阶量,磁场强度和电流密度看作一阶小量,而电场的横向分量则作为二阶小量被忽略掉。这样的电场就是无旋场,可以写作某个标量势的梯度,E(r, t)=∇φ(r, t),并且t 时刻的标量势场φ(r, t)可以由同一时刻t 的电荷密度分布ρ(r, t)通过解泊松方程来确定,相应的磁场则由安培定律来确定,总结如下:

                               
登录/注册后可看大图

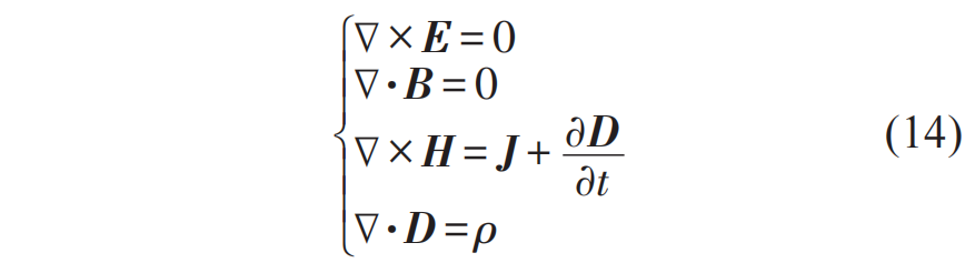
类似的,还有另一类电磁学问题是与随时间缓变的电流分布相关,在这类问题中,可以把磁场强度和电流密度看作零阶量,把横向电场看作一阶小量,而把电荷密度与电场这两者随时间的变化率看作二阶小量予以忽略(等价于问题中电流密度的散度为零)。这种近似就是磁极限准静态近似或者“磁学伽利略电磁学”,使得我们可以在安培定律中忽略掉位移电流的贡献。在这种近似中,t 时刻的磁场强度H(t)完全由同一时刻t 的无散度电流分布J(r, t)通过解瞬时静磁学问题来得到,磁极限准静态近似下的麦克斯韦方程组如下:

                               
登录/注册后可看大图

在凝聚态物理中,求解金属中等离激元(plasmon)的方程就是典型的“电学伽利略电磁学”,而求解超导体中磁通运动的方程则是典型的“磁学伽利略电磁学”。
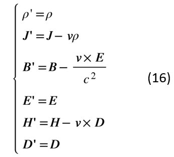
那么现在问题来了,上述两套准静态极限下的近似方程满足伽利略变换吗?关于这个问题的讨论,在20世纪的许多文献里是非常混乱的。在我们给出明确的回答之前首先要澄清一下这些问题,即“当我们在说某个方程组满足伽利略变换的时候,我们到底在说什么”?在许多文献[7,8]里,作者实际上是在说这样一个逻辑过程。第一步,对时空坐标做伽利略变换,然后问需要对电磁场和源场做什么样的相应变换可以保持变换后的方程形式不变,通过这一条件得到场和源的变换关系。这么做其实是在反推洛伦兹变换中场和源的变换方式在满足上述准静态条件时的近似形式。但问题是源场,也就是电荷密度和电流密度,可以由微观带电粒子的坐标和运动速度完全确定,所以它们的变换形式是可以通过伽利略变换直接得到的,不必通过电磁学方程不变这个条件反推。那么,只有通过上述过程反推出来的电荷密度和电流密度的变换形式与伽利略变换直接得到的一致,才可以说这样的近似方程组满足伽利略变换,如果不一致则说明这里面有不自洽之处,源的变换关系不能通过伽利略变换得到。
先来看电极限的准静态方程组在伽利略变换下的行为,相关综述文献[9]中给出如果要求电极限的准静态方程组在伽利略变换下不变,在做时空坐标变换的同时,场和源必须同时做如下变换,

                               
登录/注册后可看大图
从中我们可以看出电荷密度和电流密度的变换关系与通过伽利略变换直接得到的完全一致,因此电极限下的准静态方程组的确满足伽利略变换。这在物理上也很好理解,在这组方程下t 时刻的电磁场完全由同时刻下的电荷密度分布ρ(r, t)和电流密度分布J(r, t)决定,电磁场自身独立的动力学特征被完全忽略以至于成为物质场ρ(r, t)和J(r, t)的“附属场”,从而满足伽利略变换。

对于磁极限下的准静态方程,综述文献中也给出了场和源的变换关系如下。
如果要求磁极限的准静态方程组在伽利略变换下不变,在做时空坐标变换的同时,

                               
登录/注册后可看大图
很明显,这里要求的源场,即电荷密度和电流密度的变换关系完全不能由伽利略变换直接得到。因此,磁极限准静态近似下的变换关系不能看作是跟伽利略变换自洽的,事实上它只能通过对洛伦兹变换做低速展开,并忽略掉上述情况下场量的高阶小量才能得到。这一有趣的电和磁的不对称性是有其深刻物理含义的,伟大的物理学家费曼在其《费曼物理学讲义》第二卷第一章中系统地阐述了这种电磁不对称性,并指出磁现象在本质上是完全相对论性的,不存在“非相对论磁学”,我们拟另文专门展开讨论这一问题。另外,我们还要指出一点,无论是电极限还是磁极限下的“伽利略电磁学”,本质上都是在某些特殊条件下彻底忽略电磁场自身的动力学,而不是对电磁场动力学去做各种错误的“近似”。最后,利用变换(16)和(17),读者可以自己再去做一遍上文中运动介质中的电动力学问题,会发现得到的结果与正确的闵可夫斯基形式(13)并不一致,这也是由于在“伽利略电磁学”中忽略电磁场动力学所导致的。

参考文献
[1] Einstein A. Annalen der Physik,2005,14:194
[2] 费曼物理学讲义,13-6,
https://www.feynmanlectures.caltech.edu/II_13.html
[3] 乔治·伽莫夫,罗素·斯坦纳德 著,吴伯泽 译. 物理世界奇遇记,第一章至第五章. 北京:科学出版社,2008
[4] Van Bladel J. Relativity and Engineering. Springer Series in Electrophysics,1984
[5] Tai C. Proceedings of the IEEE,1964,52:685
[6] Rousseaux G. The European Physical Journal Plus,2013,128:81
[7] Le Bellac M,Levy- Leblond J M. Il Nuovo Cimento,1973,14:217
[8] de Montigny M,Rousseaux G. European Journal of Physics,2006,27:755
[9] Rousseaux G. The European Physical Journal Plus,2013,128:81
[10] 大卫·J. 格里菲斯 著,贾瑜 注释.电动力学导论(英文注释版·原书第4版). 北京:机械工业出版社,2021
[11] J. D. 杰克逊 著.经典电动力学(第3版影印版). 北京:高等教育出版社,2004
[12] 爱因斯坦 著,杨润殷 译,胡刚复 校.狭义与广义相对论浅说.北京:北京大学出版社,2018
[13]W. 泡利 著,洪铭熙,苑之方 译,留润州 校.泡利物理学讲义(第 一、二、三卷). 北京:高等教育出版社,2014


大道至简 万物于弧
*滑动验证:
您需要登录后才可以回帖 登录 | 立即注册

本版积分规则

手机版|Archiver|小黑屋|国际弧学研究会    

GMT-7, 2025-10-16 09:59 , Processed in 0.580622 second(s), 22 queries .

Powered by Discuz! X3.1

© 2001-2013 Comsenz Inc.

快速回复 返回顶部 返回列表