设为首页收藏本站

弧论坛

 找回密码
 立即注册
搜索
热搜: 活动 交友 discuz
查看: 4867|回复: 0
打印 上一主题 下一主题

闵氏几何是什么?它是如何统一时空并极大简化狭义相对论的?

[复制链接]

5923

主题

6632

帖子

7192

积分

坛主

Rank: 10Rank: 10Rank: 10

积分
7192
跳转到指定楼层
楼主
发表于 2019-5-22 13:49 | 只看该作者 回帖奖励 |倒序浏览 |阅读模式
闵氏几何是什么?它是如何统一时空并极大简化狭义相对论的?[color=rgba(0, 0, 0, 0.298)]

[color=rgba(0, 0, 0, 0.298)]Original: [color=rgba(0, 0, 0, 0.298)]长尾科技
长尾科技
[color=rgba(0, 0, 0, 0.298)]2 days ago
[color=rgba(0, 0, 0, 0.298)]

[color=rgba(0, 0, 0, 0.298)]
1905年,爱因斯坦正式提出了狭义相对论;1908年,闵可夫斯基给出了狭义相对论的几何表述,也就是我们这里说的闵氏几何。爱因斯坦一开始对这套几何语言很反感,认为这些纯数学上的“花架子”没什么用,还增加了相对论的复杂度。但是,他很快就发现闵氏几何非常重要,发现这绝不是什么纯数学技巧,而是有着深刻物理内涵的洞见。而且,如果要建立广义相对论,少了它根本不行。

                               
登录/注册后可看大图

几何语言清晰直观,在处理许多问题时有很大的优势,这在双生子佯谬里体现得非常明显:使用代数语言,使用洛伦兹变换去处理双生子佯谬,其中难度之大思维之绕,绝对是对智商极大的考验;而使用几何语言,这个问题就简单得不像是个问题。然而,目前绝大部分介绍相对论的书籍文章还是使用的代数语言,所以你还是能经常看到许多人在一些非常简单的问题上纠缠不清,争论不休。

梁灿彬老师说他上世纪80年代从“言必称几何”的芝加哥大学回来以后,就一直在国内大力推广相对论的几何语言,但是不明白为啥过了三十多年大众对它还是很排斥。长尾科技就在这篇文章里跟大家好好聊一聊,希望能够解开大家跟闵氏几何之间的心结。

因为这是从零开始的一篇文章,所以我暂时就只谈相对论里最简单的几何语言,也就是狭义相对论里的闵氏几何。至于广义相对论里涉及的黎曼几何,我们后面再说。


01为什么很多人觉得几何语言难?

了解相对论的人大多知道一点闵氏几何,知道我们可以通过画时空图的方式来解决一些很复杂的问题,但是他会觉得闵氏几何很难:把时空图画出来很难,画出来之后去解释时空图更难当看到别人对着时空图“轻而易举”地把问题解决了,他心里没底。他无法理解为什么你说时空图里的这个代表了相对论的里的那个,为什么你对时空图里的一些点、线、面做这样的处理就对应着相对论里的那个问题。所以,他觉得你在时空图里做的那些几何操作非常“虚”,他不理解这些几何背后的实质,自然会觉得很难。

然而,这不该是几何该给我们留下的印象啊。我们平常接触的几何,一个点、一条线、一个正方形、一个圆,这些都是我们日常生活里一些形状的完美投射,它们非常的实在,一点都不虚。很多在代数上不好理解的东西,我们把它画到几何图形上一下子就理解了。几何原本就应该比代数更加简单直观,但是为什么到了相对论这里,大家反而觉得几何语言更加难以接受了呢?原因就是狭义相对论里使用的几何并不是我们熟知的欧式几何,而是一种全新的闵氏几何,当我们把欧式几何里的一些习惯和常识代入进来的时候,自然会引起各种水土不服。

所以,这里我们先不谈闵氏几何和欧式几何的具体区别,我们先来看看狭义相对论是怎么和闵氏几何对上眼了的。为什么狭义相对论不用欧式几何来描述,而非得使用一个我们不熟悉的闵氏几何呢?这个问题不清楚,讲再多闵氏几何的性质也是白搭。


02两个基本假设

为什么狭义相对论要使用我们不熟悉的闵氏几何,原因当然还是得从自身来找。大家都知道狭义相对论有两条基本假设:相对性原理光速不变。从这两个假设出发我们可以很自然的推导出狭义相对论里各种奇奇怪怪的结论,这里我们先来审查一下这两个假设。


                               
登录/注册后可看大图

相对性原理物理定律在所有的惯性参考系里都是平等的,不存在一个特殊的惯性系。这一点很自然,伽利略很早就发现这点了,他意识到一个人在一个匀速移动(惯性系)的密闭船舱里根本无法区分这艘船到底是静止的还是以某个速度匀速运动。无法区分的意思就是这两个参考系(静止和匀速运动)是平等平权的,否则,你就应该有办法把它们区分开。

不同的是:伽利略只敢给力学定律打包票,他只敢说我们无法用力学实验区分两个惯性系,其他定律(比如电磁学实验)能不能区分惯性系他就不敢说了。爱因斯坦说你不敢打包票我来,我打赌所有的物理定律(力学的也好,电磁学或者其他的也好)都无法区分惯性系,你在船舱里做什么实验都也无法区分这艘船是静止的还是匀速运动的。

从这里我们可以感觉到,相对性原理好像并没有那么反常识,它只是把伽利略的那套相对性原理的适用范围给扩大了。那么,狭义相对论里那么多结论的“诡异”似乎就应该来自另外一个假设,也就是光速不变

光速不变真空中的光速在所有的惯性系里都是一样的。不论你在哪个惯性系(注意一定要是惯性系,非惯性系里光速就没人管它了)里测量光速,在静止的地面也好,飞速的火车飞船里测也好,测得的光速都是一个定值c。

这就太反常识了,怎么能够在不同的参考系里测量同一个物体的速度都相同呢?比如,在一辆速度为300km/h的高铁上,有一个人以5km/h的速度朝车头走去。那么,高铁上的人会觉得他的速度是5km/h,而地面的人会觉得他的速度是300+5=305km/h,这两个速度肯定是不一样的。但是,如果我把这个人换成一束光,让这束光射向车头,光速不变就是说不管你是在高铁上测量,还是在地面上测量,这束光的速度都是c。你以为在地面上测量的光速应该是c+300km/h么?对不起,并不是这样。

你觉得这个事诡异么?诡异!为什么会这样呢?不知道,光速不变是狭义相对论的一个基本假设,这个类似数学里的公理,我们只能假设它是对的,但是却无法证明它是对的,它的可靠性由实验保证。其实,这个事情很多人还是知道的,但是,大多数人并不知道如果我们再深挖一下光速不变原理的秘密,我们就能找到一条通向闵氏几何的隐秘通道


03光速不变的秘密

光速不变说你在任何惯性系中测量光速,得到的结果都是c,我们来定量的分析一下这个原理。

假设我们在K系里测量一束光,假设这束光在Δt的时间内走了Δl的距离,那么显然就有Δl=Δt×c。如果我们把这束光在x,y,z三个坐标轴方向移动距离的分量记为Δx,Δy,Δz,那么根据勾股定理就有:Δl²=Δx²+Δy²+Δz²,再把这两个式子合起来就能得到:Δx²+Δy²+Δz²-(Δt×c)²=0。如果这时候我们用一个新的量Δs²表示左边的东西,那么就有Δs²=Δx²+Δy²+Δz²-(Δt×c)²=0。

好,事情发展到这里,一切都非常容易理解,上面的事情倒腾来倒腾去就是一束光在空间里走了一段距离,然后套用了小学生都知道的距离等于速度乘以时间而已。而且,大家也会发现这个事跟光速不变也没有什么关系,你就是把上面的光换成一颗子弹,把光速c换成子弹的速度,那么上面的一切推理都还是那样的。没错,因为光速不变说的是光速在不同的惯性系里都一样,那么我们还得再考察一个惯性系

还是上面那束光,我们这次在另一个参考系K’里对它进行测量。假设我们测量的结果是它在Δt’的时间内走了Δl’,我们同样对这个距离做一个分解,假设它在x,y,z三个坐标轴方向移动距离的分量记为Δx’,Δy’,Δz’。根据光速不变原理,光在这个参考系里的速度还是c,那么,按照上面的逻辑,我们依然可以得到Δs’²=Δx’²+Δy’²+Δz’²-(Δt’×c)²=0

当我们把K和K’这两个参考系了的结果拿来对比的时候,光速不变原理带来的反常效应就出现了:大家有没有发现Δs和Δs’的表达式的形式完全一致,而且值还相等(都等于0)?

我们只是把K系里测量的时间和距离全都换成了K’系里测量的时间和距离,其它的东西我们一概没动。而在牛顿力学里,ΔsΔs’的表达式形式是不一样的,因为牛顿力学里另一个惯性系的测量速度会加上两个参考系之间的相对速度。也就是说在牛顿体系里,在K’系里测量的光速应该是c加上两个参考系的相对速度,这样Δs’的形式就Δs跟不完全一样了,而相对论是用光速不变强制保证了它们的形式一致

这一点大家好好想一想,它并不难理解,但是却是后面的关键。我们现在等于说是定义了一个Δs对于光来说,这个Δs的值在不同的参考系里是相等的,刚好都是0

那么,重点来了:如果我把这个Δs从光推广到所有物体,我仍然从两个不同的惯性系K和K’去测量这个物体在空间上运动的距离Δx、Δy、Δz和时间上经过的间隔Δt,然后一样把它们组合成Δs和Δs’。那么,这个物体的Δs和Δs’之间有没有什么关系呢?它们是不是还跟光的Δs和Δs’一样相等并且都等于0呢

是否等于0很好回答,一看就知道肯定不等于0。假设博尔特1秒钟跑10米,那么Δt=1、Δx=10,不考虑另外两个维度(Δy=Δz=0),看看Δs²的表达式:Δs²=Δx²+Δy²+Δz²-(Δt×c)²=100+0+0-(1×3×10^8)²,这显然是个非常大的负数。那么问题的关键就落在在惯性系K和K’里测量的这两个值Δs和Δs’是否相等,也就是说,如果博尔特在跑步,我们从地面和火车上测量得到的 Δs和Δs’是否相等

这个答案我直接告诉大家:一样

这个证明过程其实也非常简单,这不就是同一个事件看它在不同的惯性系里是否满足某个式子么?同一个事件在不同惯性系下变换关系,在相对论里这不就是洛伦兹变换的内容么?所以,你直接用洛伦兹变换去套一下Δs和Δs’,你很简单就能发现它们是相等的,这里我就不做具体计算了,当作课后习题。

所以,我们通过分析就得到了这样一个结论:在相对论里,不同惯性系里测量一个物体的位移、时间等信息可能不一样,但是它们组合起来的Δs²=Δx²+Δy²+Δz²-(Δt×c)²确是相等的,而这个值对光来说还刚好就是0

注意了,这个结论极其重要,正是它决定了为什么我们要使用闵氏几何来描述狭义相对论,甚至,从某种角度来说,它几乎包含了闵氏几何里的全部奥秘。为了让大家更好地了解这个结论背后的意义,我们先去看一看欧式几何里的类似情况。


04欧式几何不变量

在欧式几何里也有一些量是不随坐标系的变化而变化的,比如最简单的线段的长度

在二维的欧式几何里,我们假设在一个直角坐标系里有两点A(x1,y1)、B(x2,y2),令Δx=x2-x1,Δy=y2-y1,那么,利用勾股定理就能非常容易的算出AB之间的距离Δl²=Δx²+Δy²。这时候我们如果在建一个新的直角坐标系,在这个新的坐标系里原来A、B两点的坐标变成了A(x1’,y1’)、B(x2’,y2’),同样令Δx’=x2’-x1’,Δy’=y2’-y1’,AB之间新的距离Δl’²=Δx’²+Δy’²。这时候我们可以很轻松的验证Δl=Δl’,也就是说Δx²+Δy²=Δx’²+Δy’²

                               
登录/注册后可看大图

这个结论一点都不奇怪,我们都可以很直观的感觉到,为什么呢?因为欧式几何就是我们日常熟悉的空间啊,我们现在就假设有一跟2米长的尺子AB,我在一个直角坐标系里计算它的长度的平方Δl²=Δx²+Δy²=2²=4,难不成我在另一个坐标系里算得它的长度的平方Δl’²=Δx’²+Δy’²还能不等于4么?我这把尺子的长度是一定的,如果我在不同坐标系下得到尺子的长度却不一样了,那还了得,那这几何就有问题了。

因此,在欧式几何里,Δl²=Δx²+Δy²也是一个坐标系不变量,这个值不随你取坐标系的变化而变化。很显然的,如果把欧式空间从二维推广到三维,那么这个不变量自然就可以写成Δl²=Δx²+Δy²+Δz²;推广到四维,我们用t表示第四个维度,那么Δl²=Δx²+Δy²+Δz²+Δt²,再往上推广几维,我就加几个分量就行了。

大家肯定注意到了:在欧式几何里,不随坐标系变化的是Δl²=Δx²+Δy²+Δz²+Δt²,而我们上面在讲狭义相对论的时候,不随惯性系变化的量Δs²=Δx²+Δy²+Δz²-(Δt×c)²。这两者非常的相似,这个光速c是个常数,可以不用考虑,为了方便计算我们甚至可以直接约定c=1,这样的话Δl²Δs²的差别就仅仅只差一个Δt前面的负号而已。

那么,这种形式上的相似和那个负号的差别到底意味着什么呢?毕竟它们一个代表的是不随惯性系的变化而变化的量(Δs²),一个代表的是欧式几何里不随坐标系的变化而变化的量(Δl²),一个是物理量,一个是几何量,好像并没有直接的关系。但是,我们这样想想:如果我想用一种几何来描述狭义相对论里Δs²=Δx²+Δy²+Δz²-(Δt×c)²不随惯性系的变化而变化的这种性质,我们肯定就不能选欧式几何了(因为欧式几何里不随坐标系变化的量是Δl²=Δx²+Δy²+Δz²+Δt²)。所以我们需要一种新的几何,在这种新几何里,不随坐标系变换而变化的量是类似Δs²这样带有一个负号的量,这种全新的几何自然就是闵氏几何

你这时候心里可能有点疑惑:我们真的可以只凭借不随参考系变化的量是Δs²和Δl²,就断定这是两种不同的几何么?Δs²和Δl²这些东西到底意味着什么?或者说,到底是什么决定了一种几何?


05线元决定几何

我们从小就在学习欧式几何,我们学习直线、三角形、圆等很多几何图形,我们关心它们的各种性质,比如两点的距离、曲线的长度、两条线的夹角、一个图形的面积。但是,大家有没有想过:在欧式几何的各种各样的性质里,有没有哪个是最基本的?也就是说,我们能不能只定义这个最基本的量,其他的各种量都可以从这个量里衍生出来?这样的话,我们就只需要抓住这一个最基本量的性质,就可以抓住这种几何的性质了。

答案是:有,这个最基本的量就是弧长,准确地说是组成任意曲线、弧线的基本元段长

要把这个说清楚,我们这里得稍微引入一丢丢微积分的思想,别慌,这个很容易理解的~在欧式几何里,我们很容易求一根线段的长度(直角坐标系里利用勾股定理就行了),但是,如果要你求一条任意曲线的长度呢?

                               
登录/注册后可看大图

比如上图的曲线AB,这是随手画的很一般的一条曲线,不是什么特殊的圆弧,你要怎么求它的长度呢?数学家们是这么考虑的:我在曲线AB之间取一些点,比如P1、P2、P3,然后这三个点就把这段圆弧的分成了四个部分。我们用线段把这几个点连起来,这样我们就得到了一条折线,这时候我们就用折线的长度(也就是这四条线段的和AP1+P1P2+P2P3+P3B)来近似代替曲线AB的长度。当然,你肯定会说,曲线的长度明显比这四条线段加起来更长啊,你怎么能用折线的长度来代替曲线呢?

是的,如果你只在AB之间取三个点,那么曲线AB的长度肯定要比折线的长度多很多,这样近似的误差很大。但是,如果我再多取一些点呢?我在AB之间取十个、一百个甚至一千一万个点,那么,这成千上万条线段组成的折线的总长度跟曲线AB比呢?当然,还是会短一些,但是,你可以想象,这时候这些折线已经跟曲线AB非常接近了。如果一根1米长的曲线被你分成了1万条线段,这时候你用肉眼根本分辨不出来这是原来的曲线还是折线。但是你内心还是知道折线要短一些,那么接下来就是重点了:如果我在曲线AB之间放无穷多个点呢

无穷是一个很迷人,同时也很迷惑人的词汇。从上面的分析我们知道:当我们在曲线AB里放越多的点,这些小线段连起来的折线就越接近曲线AB本身。那么,当我们放了无穷多个点的时候,这无穷多个线段组成的折线是不是就应该等于曲线AB的长度了?答案是肯定的,而这,就是微积分最朴素也是最核心的思想。


                               
登录/注册后可看大图

在这种思想的指导下,我们要求任意曲线的距离,最终还是要求小线段的距离,因为无穷多个小线段累加起来的长度就是曲线的长度。因此,我们只要知道如何求无穷小的线段的长度,我们就能用微积分的思想求出任意曲线的长度,我们把这个最基本小线段称为曲线的一个元段长,记做dl

                               
登录/注册后可看大图

在欧式几何里,我们把基本元段dl在坐标系里分解一下,用dx和dy表示dl在x轴和y轴上的分量,那么根据勾股定理就有dl²=dx²+dy²,我们就把dl²称之为线元

提炼出了线元这个概念以后,我们就可以开始反推了。在任何一种几何里,如果我们确定了线元,就等于知道了元段dl的长度,然后就可以利用上面微积分的思想求任意一段曲线的长度。那么,接下来,我们会发现几何里的其他性质都可以按照这些定义。比如,我们就可以把两点之间的距离定义为这两点之间所有可能的曲线里最短的一条,把两条直线的夹角定义为弧长和半径的比值(想象在一个圆里,半径固定,弧长越大角度越大),其他什么面积、体积之类的几何性质就都可以根据这些基本性质来定义。

最后,你会发现只要给定了一个线元,我们就能把它所有的几何性质都确定下来,也就是说:线元决定几何

那么,什么是欧式几何呢?欧式几何就是由欧式线元(dl²=dx²+dy²)决定的几何。非欧几何呢?只要你的线元不是欧式线元,那么这个线元决定的几何就是非欧几何。用这种新线元,我们一样可以定义出在这种新几何里的曲线长度、两点的距离、线的夹角等等几何性质。


                               
登录/注册后可看大图

那么,闵氏几何是什么?闵氏几何的线元又是什么呢?

答:很显然,闵氏几何就是由闵氏线元决定的几何。闵氏线元是这样的ds²=-dt²+dx²+dy²+dz²,如果只考虑二维闵氏几何的话,那么ds²=-dt²+dx²。

闵氏线元(ds²=-dt²+dx²)跟欧式线元(dl²=dx²+dy²)十分相像,它们之间唯一的差别就在于闵氏线元的第一个分量dt²的前面是负号,而欧式线元全部都是正号。也因为如此,闵氏几何欧式几何也非常像,所以闵氏几何还有一个称呼,叫伪欧几何。但是,我们也要特别注意这个负号,正是这个负号,决定了闵氏几何和我们熟悉的欧式几何里所有不一样的地方,而这些不一样,恰恰是我们通过闵氏几何来理解狭义相对论的关键。


06闵氏几何与狭义相对论

我们现在知道了,所谓的闵氏几何,不过是由闵氏线元ds²=-dt²+dx²+dy²+dz²决定的几何。在这种几何里面,曲线的长度、两点的距离、线的夹角等一切性质都有这个第一项带了一个负号的闵氏线元决定

看看这个闵氏线元ds²=-dt²+dx²+dy²+dz²,再看看我们最开始提到的那个在狭义相对论里不随惯性系的变化而变化的量Δs²=Δx²+Δy²+Δz²-(Δt×c)²,是不是非常像?在相对论里有两种单位制:国际单位制几何单位制。国际单位制就是我们平常熟悉的那一套单位制,几何单位制就是选择光速c=1,这样可以大大简化在用几何处理相对论问题的难度。采用几何单位制的话,不随惯性系变化的Δs²=Δx²+Δy²+Δz²-Δt²,这就真的跟闵氏线元ds²=-dt²+dx²+dy²+dz²一模一样了。

这就是为什么我们要用闵氏几何,而不是欧式几何来描述狭义相对论的根本原因

在牛顿的世界里,时间是绝对的,三维的空间也是绝对的,一根木棒在三维空间里随便怎么变换,随便怎么变换参考系,它在三维空间里的长度是一定的,这个是跟三维的欧式线元对应的(因为三维的欧式线元dt²+dx²+dy²也不随坐标系的变化而变化)。

但是,在狭义相对论里,空间不再是绝对的,不再是一成不变的,我们熟悉的尺缩效应不就是说从不同的惯性系里观测同一把尺子,这个尺子的长度是不一样的么?这就是说空间上的“长度”在狭义相对论的不同惯性系里不再是不变量。但是,我们发现如果把时间也考虑进来,把三维空间和一维时间一起组合成四维时空,那么这个四维时空里的间隔Δs²=Δx²+Δy²+Δz²-Δt²就是不随惯性系的变化而变化的量(这个在前面说过,用洛伦兹变换可以非常方便的证明)。


                               
登录/注册后可看大图

所以,在牛顿的世界里,三维空间是绝对的,他必须保证同一把尺子在不同的三维空间的坐标系里长度是一样的,也就是说在度量三维空间里长度的方式(这个有个更专业的概念叫度规,这里我们知道就行)必须跟坐标系无关,而欧式几何正好有这样的特性,所以牛顿力学的背景是欧式几何

而在狭义相对论里,三维空间并不是绝对的,三维空间里一把尺子的长度在不同惯性系里是不一样的。但是,三维空间和一维时间组成的四维时空是绝对的。四维时空里如果也有这样一把“尺子”,那么这把“尺子”无论从哪个惯性系来看,它的四维“长度”都是一样的。而狭义相对论的这种四维“长度”,或者说我们在四维时空里度量长度的方式,它跟闵氏线元表达式的形式是一样的。也就是说只有在闵氏几何里,狭义相对论的时空间隔才对应于他们几何里的“长度”的概念,所以我们要使用闵氏几何来描述狭义相对论。

理解这一段非常的重要,因为只有理解了这个,你才能从根本上把闵氏几何和狭义相对论对应起来。有很多闵氏几何的科普文章里上来就是直接给你画时空图,然后告诉你闵氏几何里的这种图形这个几何性质对应着狭义相对论里的这种概念,这样很多人就感觉难以接受,然后对几何语言产生抵触的心理。

好,既然我们打算用闵氏几何来描述狭义相对论,那么肯定就要把狭义相对论里的物理语言翻译成闵氏几何里的几何语言。几何肯定是离不开画图的,在欧式几何里我们经常会画出一个几何图形在空间上的样子,这是空间图。而狭义相对论把时间和空间看作一个整体, 它要求我们以同等的地位来看待时间和空间,所以我们需要画出一个事件同时在时间和空间里的样子,这种图就叫时空图


07时空图

在时空图里,你能非常自然地感觉到时间和空间被统一起来了,因为时空图里的时间轴和空间轴有着完全的平等的地位


                               
登录/注册后可看大图

在时空图里,一个粒子现在在哪,你找到它的空间坐标(x,y,z),记下现在的时间t,那么你就得到了它的时空信息(x,y,z,t),那这个时空信息就对应时空图里的一个点,这就叫时空点

同样的,你再记下它下一个时刻t1的位置(x1,y1,z1),那么它又对应了坐标系的另一个点(x1,y1,z1,t1)。所以,一个粒子在任一时刻的时间、空间信息就都对应了时空图里的一个点。那么,如果考察这个粒子的全部历史,你就可以得到一系列的这种时空点,这些点在时空图里就会形成一条线,这条能代表粒子全部历史的线就叫粒子的世界线

现实生活里一个粒子有四个维度(三维空间+一维时间),那么对应的坐标轴应该也是四维的,但是我们在二维平面里勉强可以画出三维图形,对四维图形实在无能为力。为了方便起见,我们假设粒子只沿x轴方向运动,这样我们就可以不考虑y轴和z轴的情况,从而把四维的问题简化为二维,然后我们就可以很愉快的在一张二维的纸上画这二维时空图了。

我们先建立一个坐标系,横轴x代表粒子的空间信息,纵轴t代表粒子的时间信息。为了再次简化问题,我们采用几何单位制,也就是取光速c=1,然后我们再来看一些具体问题。

问题1一个静止不动的粒子在时空图里是什么样的?或者说它的世界线是什么样的

这个答案很容易想到,一个粒子静止不动,就是在空间上没动,那么它的x坐标一直为零,但是时间依然在流逝,也就是粒子的时间坐标在一直变大。所以,静止不动的粒子是世界线是一条跟t轴重合,垂直于x轴的直线

                               
登录/注册后可看大图

问题2:一个匀速向右运动的粒子的世界线是什么样的

这个也不难想象,一个匀速向右运动的粒子,它在时间轴不停往上走的同时,空间轴上也在不停地往右走,那么这个粒子的世界线应该是一条斜直线。问题是,斜多少?是所有的坐标空间它都可以斜,还是有什么限制?这个问题我们先放着,先看看第三个问题。

问题3:一条朝右上方45°的斜直线(如下图的L1)代表了什么粒子的世界线

                               
登录/注册后可看大图

我们先来算一算这个粒子的速度:我们在粒子的世界线L1上取两个点,也就是假设粒子在t1时刻在位置x1,在t2时刻在位置x2。因为这条直线是45°的,所以很显然x2-x1=t2-t1,.那么粒子的速度v=(x2-x1)/(t2-t1)=1

速度等于1是什么意思?我们在画图的时候采用的是几何单位制,也就是取光速c=1(如果我们不采用几何单位制,那么竖轴的单位就不是t,而是ct,本质并没有什么不同)。现在这个粒子的速度等于1,其实就是代表这个粒子的速度是光速,速度是光速那自然就是光子了,那么这条45°斜直线就代表了光子的世界线

从这里我们可以看到,在时空图里,光子的世界线是45°的斜直线。我们也知道在相对论里任何有质量粒子的速度都是小于光速的,那么一个有质量的粒子做匀速直线运动的世界线该是一条什么样的斜直线呢?是在区域1还是区域2

我们可以这样想一下:如果粒子的速度比光速小,那么假设粒子在t1时刻在x1处,那么到了t2时刻它肯定到不了x2地方,那么这两点的连线肯定就在L1的上方,也就是区域1。其实我们也可以想一个极端的粒子,假设这个粒子在原点不动,那么粒子的世界线就是跟t轴重合,粒子速度到达光速就是45°的那条直线,那么速度在静止和光速之间的粒子世界线自然就是在区域1的斜直线了。

现在我们知道了这样一个结论:在时空图里,45°的斜直线代表了光子的世界线(如L1),比光子世界线更陡,更加靠近t轴的斜直线(如L2)是有质量粒子匀速直线运动,或者说惯性运动(速度小于光速)的世界线


                               
登录/注册后可看大图

有了这样的基本认识,我们来用几何语言分析一下狭义相对论里入门教材里必定会碰到的问题:火车闪光问题。这个问题之所以重要,是因为它揭示了同时的相对性,也就是说在一个惯性系看来是同时发生的事件,在另一个参考系里不一定是同时发生的。爱因斯坦敏锐地发现了这点,然后借此从看似牢不可破的牛顿力学里撕开了一道口子。


08同时的相对性

在牛顿力学里,时间是绝对的,所以同时必然也是一个绝对的词汇。在一个参考系看来是同时发生的事件,不管谁来看都绝对是同时发生的,这也是一个非常符合常识的论述。

但是,爱因斯坦用一个简单的火车实验就让人们的这个信念坍塌了,这个实验是这样的:假设地面上有一辆匀速运动的火车,在某一个时刻,地面上的观察者发现这个火车的车头和车尾同时被闪电击中。也就是说,对于地面参考系而言,闪电击中车头和车尾这两个事件是同时发生的。但是,爱因斯坦认为在火车参考系里,这两个事件就不是同时发生的。

原因也很简单,我们假设在闪电击中火车头尾的时候,在地面这两点的中点有一个观察者。因为两个事件在地面系看起来是同时发生的,所以,站在地面中间的那个观察者肯定会同时看到车头和车尾发过来的闪光,所以这两个事件是同时的。

但是,站在火车中间的观察者就不是这样了,因为车头车尾的闪光在向中间传播的时候,火车本身也在前进,所以火车中间的人就会先看到车头发过来的闪光,后看到车尾发过来的闪光。所以,火车上的观察者就会觉得这闪电击中车头和车尾这两个事件不是同时发生的,而是击中车头的先,击中车尾的后。


                               
登录/注册后可看大图

爱因斯坦从这个火车闪光实验出发,发现了同时的相对性,进而打开了狭义相对论的大门。这个实验比较简单,整个逻辑过程也不复杂,但是这样讲不够直观,不够具有普遍性。因为很多人会把这个实验当做一个特例来处理,也就是只有当他们意识到要讲同时的相对性的时候才会想起这个实验,平常就会把这个实验带来的同时的相对性给忘了,然后带来一系列的“相对论诡异疑难”。下面我们从几何语言来看看这个问题,看看如何让这个重要问题更直观,更具有普遍性。

我们假设闪电同时击中车头车尾(从地面系观测)的时候,火车的车尾M’、车头N’刚好经过地面的M和N点,P点为地面MN的中点,P’为火车上的中点,我们来看看怎么在时空图上描述这个闪电击中火车的问题。

我们先来看看地面上M和N点的世界线,因为M、N在地面上没有动,所以M和N点的世界线都是一条沿着时间轴t竖直向上的直线(空间位置没动,只有时间t在动)。同样的,在MN中间的P点也没动,它的世界线也是一条竖直向上的直线。这三条线好画,那么在火车上的M’、N’和P’,它们都在做匀速直线运动,那它们的世界线是什么样的呢?这个我们上一节刚好说了,做匀速运动的粒子的世界线是一条比45°线更陡的斜直线。那我们把这六个点的世界线都画出来,不难理解应该就是下面这样(横轴为空间x,纵轴为时间t,这里省略了)。

                               
登录/注册后可看大图

下面是关键的了,怎么画车头、车尾的闪光向中点传播的过程?我们知道,闪电击中车头车尾之后,这个事件就会向四面八方发射光信号(所以四面八方的人都能看到火车被闪电击中了),但是,其他的信号我们都不关心,我们只关心被地面中点P和火车中点P’所接收到的那一束光信号。那么,这个光信号要怎么画呢?它们的出发点肯定在m和n,那接下来呢?这次我们再次想起了上一节中提到的:光子的世界线是45°的斜直线。那么我们就加上这两条45°的世界线,最后的图就是下面这样的。

                               
登录/注册后可看大图

这两根世界线跟两个中点P、P’的世界线产生了三个交点A、B、C,这是三个很有意思的点,我们来分析一下它们的物理含义。

首先是A点,A点是闪光世界线跟地面中点P点的世界线交点,它们相交了是什么意思?纵轴代表时间,横轴代表空间,相交了就代表这两个粒子此时时间和空间信息都一样,都一样那就是相遇了啊,具体到我们这个问题就是闪光传播到了地面上的中点。因为地面没有动,M和N点到P点的距离又是一样的,那么车头车尾的闪光肯定同时到达地面中点,所以它们都相交于A点是正确的。

再来看B点和C点。B点是车尾的闪光的世界线和火车里面的中点P’世界线的交点,那B点代表的意思自然就是火车中间的观察者观察到车尾的闪光这个事件。同理,C点是车头闪光世界线跟P’世界线的交点,那C点就是火车中间的观察者观察到车头闪光的这个事件。这样看就非常明显了,纵坐标是时间轴,那么B事件明显就是在C事件之后发生的啊。

这正是同时的相对性的表现:对于地面系,它们都交于A点,所以是同时的;对于火车系,它们分别交于B点C点,所以是不同时的,这在时空图里极为直观。

这里有一个事要强调一下:我们在这个火车闪光问题里虽然涉及到了地面系和火车系,但是我们是一直在地面系来分析问题的。我们画的时空图,不管是地面上的点还是火车上的点,我们都是在地面系画,因为毕竟一张图只有一个坐标系嘛。那么,我们能不能在一张图里同时把地面系和火车系两个惯性系都画上呢

答案当然是可以的。


09两个坐标系

我们来具体看看这个问题:假设我们现在已经画了一个地面系的直角坐标系x-t,那么我们要如何把火车系的坐标系x’-t’画出来

                               
登录/注册后可看大图

第一次遇到这个问题的同学可能有点懵,不着急我们一步步来,我们先看看火车系的纵轴t’要怎么画。要画火车系的纵轴,我们先想想一个坐标系的纵轴的是什么意思?我们知道如果我们让一个点的横坐标为零,那么这个点的轨迹就是跟纵轴重合的。还记得我们上面说的静止粒子的世界线么?静止粒子的空间坐标x为0,所以它的世界线就是垂直于x轴,与t轴重合的一条直线。那么,火车系的t’轴自然也是在火车系里静止在原点处粒子的世界线

这一点很重要,大家好好理解一下,也就是说我们只要把火车系处于原点处粒子的世界线画出来,我们就能得到火车系的t’轴。那么,一个在火车系静止的点,在地面系看来它是在做匀速直线运动,而匀速直线运动的点的世界线,我们上面也说了,就是一条比45°更陡的斜直线。所以,火车系的t’轴就是这样一条更陡的斜直线,如下图所示:

                               
登录/注册后可看大图

火车系的t’轴画好了,那火车系的x’轴呢?大家可以看到我在图上用虚线画了一根与t’垂直的轴,并且特意标明了“错误的x’轴”。为什么要这样标呢?因为这是相对论初学者极容易犯的错误。我们已经习惯了欧式几何,欧式几何里直角坐标系都是相互垂直的,所以到了这里很多人看到我们已经画出了t’轴,就立马条件反射地画一根和t’轴垂直的当做x’轴,但是这是错误的,为什么呢?

这里我们第一次感受到了闵氏几何的异样。我在最开始花了那么大的篇幅告诉大家为什么狭义相对论要使用闵氏几何,我们也知道了闵氏几何的线元跟欧式几何不一样(时间项前面多了一个负号),所以,我们在画时空图处理狭义相对论问题的时候,一定要意识到自己虽然是在欧式平面里画图,但是我们画的是闵氏几何里的图形

有人可能会有点疑问,我们前面不是已经用时空图解决了同时的相对性问题么?我们不是已经把爱因斯坦火车闪光问题用时空图画出来了么,我没感觉啥异样啊?那只是因为那个问题比较简单:它只有一个坐标系,而且也不涉及到线长相关的问题,所以我即便在一个欧式直角坐标系里把它画出来了,它也暂时没什么冲突。如果我们生活在一个闵氏空间里,那么我们画出的闵氏直角坐标系肯定都是相互垂直的,但是我们生活在欧式空间里,我已经用一个欧式空间里的直角坐标系画了一个闵氏坐标系,那么另一个就肯定不可能再是垂直的了。

这里的逻辑有点绕,大家可以细细品味,搞得不是很懂也不要紧,我接下来会把另一个坐标系画出来,大家能看懂再回去看上面的一段话就明白了。

好,回到正题,我们再来看看火车系正确的x’轴该怎么画。我们再来整体回顾一下这个事情:我们现在是已经画好了地面系x-t,要画火车系x’-t’,火车系和地面系它有没有什么关系呢?有啊,洛伦兹变换说的不就是地面系和火车系的关系么?什么是洛伦兹变换?比如我在地面系观测到了一个粒子的位置和速度,现在我想知道它在火车系里是什么情况,我并不需要重新再到火车系里测量一遍这个粒子的位置和速度,我只需要根据洛伦兹变换就可以直接得到火车系里那个粒子的运动情况。所以,洛伦兹变换就是两个惯性系之间的联系,我只要知道了一个惯性系里粒子的运动情况,立马我就可以知道其他惯性系里粒子运动的情况。

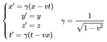
所以,我们可以根据洛伦兹变换来找到两个惯性系之间的联系。我现在不是根据地面系的坐标轴来找火车系的坐标轴么?我们对着洛伦兹变换改就是了。洛伦兹变换是下面这样的:


                               
登录/注册后可看大图

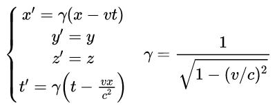
其中,x,y,z,t代表地面系里观测到的,x’,y’,z’,t’是火车系里观测到的。v是火车系相对地面系的速度,火车的速度一旦给定了,这个v就是一个定值,c是光速,所以右边的γ都是一个常数。如果我们再根据几何单位制来,取c=1,那么洛伦兹变换就可以简化成下面的样子:


                               
登录/注册后可看大图

因为我们只考虑火车系相对地面系在x轴方向上的运动,所以在y和z方向上还跟原来一样,我们可以不考虑。我们现在画图也是来画x-t图,所以我们重点关注这两个式子:


                               
登录/注册后可看大图

这是什么呢?这不就是火车系了的x’和t’么?我现在要画的就是x’的坐标轴,也就是火车系的空间坐标轴,那怎么找到这个坐标轴呢?这个我们前面也提过:纵坐标的那条线就是横坐标为0的所有点的集合,反过来也是,横坐标就是纵坐标为0的点的集合。所以,我们令火车系的时间等于0,也就是纵坐标t’=0就能找到横坐标x’轴了

那我们令t’=γ(t-vx)=0,因为γ是一个不为零的常数,所以就只有t-vx=0了,也就是t=vx

这在x-t坐标系里就是一条过原点的直线,斜率为火车的速度v(斜率就是这条直线的倾斜程度,你可以理解为一个坡越陡斜率越大。当直线与横轴重合的时候,斜率为0;当直线跟横轴成45°的时候,斜率为1;当直线跟纵轴重合的时候,斜率为无穷大)。因为我们这里是几何单位制,光速为1,在狭义相对论里任何有质量的物体它的运动速度都是小于光速的,所以火车的速度v肯定是小于1的,也就是说这条直线的斜率比45°的直线(刚好是光的世界线)小。

再者,我们可以用同样的方法令x’=γ(x-vt)=0,就能得到火车系的纵轴是这样一条直线:t=x/v。它的斜率是1/v,因为v小于1,所以1/v是个大于1的数,所以这条斜直线的斜率比45°要大(我们前面画的也正是这样)。这里我给一个初中数学的结论:斜率互为倒数(比如v和1/v)的两条直线它们是关于y=x,也就是45°的直线对称的。所以,我们的x’轴是跟t’轴关于45°的直线对称的。这样我们就能精确地把它画出来了,如下图:


                               
登录/注册后可看大图

第一次看到这样一个坐标系的同学可能会感觉非常别扭,为什么火车系x’-t’的坐标系不是正交的,不是一个直角呢?我们得这样看:它们是正交的,只不过它们是在闵氏几何里正交,我们现在强行把它画在欧式几何里,那么肯定就看起来不正交了

还有同学也会有疑惑,你不是说狭义相对论里惯性系都是平权的么?那么为什么这里把地面系画成直角的,而把火车系画成了一个小于直角的坐标系?我要是人就在火车里,我非要把火车系画成直角的,不行么?行,当然行。你可以按照上面的思路把火车系画成直角的基准系,再反推过去画地面系,最终的两个图虽然形状不一样,但是实质上还是等价的。

理解这个双坐标系非常关键,它第一次向我们展示了闵氏几何不一样的地方。有了它,我们就可以很方便的处理不同惯性系里的一些事情,比如,我们喜闻乐见的尺缩效应。


10尺缩效应

尺缩效应是狭义相对论里比较有趣的一个效应,它简单说来就是一句话:运动的物体长度会收缩,也就是动尺收缩。但是这样描述会让许多初学者心生疑惑,你动尺收缩是真的收缩了还是只是看起来收缩了?这是一种观测效应还是一种由于光速有限造成的传播误差?你相对尺子没动,觉得尺子没缩,我觉得缩了,那么它到底缩了没有(这是个很常见的错误的问题)?

其实,用非几何语言初学相对论的人不可避免地会遇到很多类似这样的问题。因为大家在牛顿的那一套环境里浸润久了,想一下子把思维切换过来很麻烦。而且学相对论的人最容易载到“相对”两个字里来,该相对的东西不相对,不该相对的东西又跑去相对,最后把自己绕进去了。但是用几何语言却没有这样的烦恼,因为有很多物理量在3维的时候是相对的,在4维里就都是绝对的了。而且,几何图形清晰直白,会大大降低这类问题的难度和迷惑性。

好,现在我们来看看怎么用几何语言处理尺缩效应。

一个粒子的世界线是一条线,而一把尺子是由许多粒子组成的,所以一把尺子在时空图里留下的轨迹就应该是一个面,我们称之为尺子的世界面。我们还是以地面系为基准系,假设尺子相对地面系静止,那么尺子每个粒子的世界线都是一条平行于t轴的线,合起来它的世界面应该是一个有一定宽度的面。上一节我们已经学会了如何把运动的惯性系也画出来,我们再把相对尺子运动的参考系x’-t’(假设为火车系)画出来,总的时空图就是这样:

                               
登录/注册后可看大图

如上图所示,阴影部分就是在地面系静止的尺子的世界面,它跟x轴的交点为a,跟x’轴的交点为b。那么我们很容易就能知道oa就是尺子在静止地面系的长度,ob就是尺子在运动的火车系x’-t’的长度

为什么呢?你想想oa代表什么意思?oa就是当地面系的时间为零的时候尺子在空间x轴的投影,那这显然就是尺子的长度了。那么,同样的道理,因为运动的火车系的坐标是x’-t’,ob也是当t’都为0的时候尺子在x’轴的投影,所以ob就是运动的火车系测得的尺子长度。

所以,尺缩效应就变成了比较oa和ob的长度。很显然,oa和ob的长度肯定不一样,那么到底是oa长还是ob长呢

没错,你的眼睛没有看错,我就是在问到底是oa长还是ob长?可能这个时候你的脑袋是懵的,明明oab组成了一个直角三角形,ob是斜边,斜边肯定比直角边更长啊,这是初中生都知道的,ob比oa长难道还有什么疑问么?

没错,搁在欧式几何里,斜边大于直角边这绝对毫无疑问。但是,我们始终要记住我们处理狭义相对论问题用的是闵氏几何(否则也不会出现x’-t’这样看起来不正交的坐标系),那闵氏几何里要怎么样比较两条线段的长短呢?

这个时候你可能意识到了:我们在闵氏几何里连怎么定义线段的长度都不知道,更别提比较两条线段的长短了。那么,闵氏几何里一条线段的长度是怎么定义,怎么计算的呢?


11闵氏几何的线长

在讨论怎么定义,计算闵氏几何一条线段的线长之前,许多人可能对为什么这个问题会是一个问题都心存疑惑:线段的长度不就是用尺子去量一下线段么,为什么还需要什么定义?即便我不用尺子去量,一条线段我在直角坐标系里把它投影到x和y轴,假设它在x轴和y轴的投影长度分别是Δx和Δy,那么我就可以利用勾股定理很简单的算出这条线段的长度L²=Δx²+Δy²。

但是,我还是得再强调一次:你能这样做,是因为你已经假设了你是在欧式几何里。只有在欧式几何里,一条线段的长度才可以这样用勾股定理去计算,但是狭义相对论的几何背景是闵氏几何。为了让大家能更直观的了解,我们先不谈闵氏几何,我们就来看看球面几何


                               
登录/注册后可看大图

球面几何顾名思义就是在在一个球面上的几何。你可以想象在一个篮球的表面,或者地球的表面上有两个点,那么,这两个点之间的距离应该是一段圆弧长,而不再是欧式几何里的直线。你想想,在这种情况下,你还能用勾股定理去计算这两点之间的距离么?你要硬用勾股定理去计算,那么算出来的是这两点之间的直线距离,并非在球面上的圆弧长,这显然是不对的。就好比你在地球表面计算北京到深圳的距离,你用勾股定理算出来的距离是在北京地底下打一个直线隧道通到深圳的距离,这显然不是你在地球表面从北京直线开车去深圳的距离。

从这里我们能直观地感觉到:在不同的几何里,长度的计算方式是不一样,每一种几何都有自己度量长度的规则(这就是度规),一旦这种规则确定了,这种几何也就确定了。其实,这一点我在「线元决定几何」这一节里已经说得非常明确了,不光是线长,所有的几何性质都是由线元决定的,不同的几何拥有不同的线元,自然就拥有不同的计算线长的方式。

二维欧式几何的线元是dl²=dx²+dy²,二维闵氏几何的线元是ds²=-dt²+dx²。二维欧式几何里线段长度的计算公式是这样的:


                               
登录/注册后可看大图

那么,二维闵氏几何里线段长度的计算公式自然就是这样的:


                               
登录/注册后可看大图

因为闵氏几何的线元的时间项前面有个负号,所以,为了避免根号里面的值出现负数从而让式子无意义,我们套了一个绝对值(它保证所有值都是非负的,比如-5的绝对值为5,记做|-5|=5)的符号。

也就是说,我们在闵氏几何里是根据这个式子来计算一条线段的长度的,Δt和Δx分别代表这条线在t轴和x轴的投影。这个式子跟欧式几何的距离计算公式很类似,唯一的不同还是时间项前面的那个负号。也正因为这个负号,闵氏几何里的线长问题才会变得更我们平常想的不一样。为了让大家熟悉一下这种新的线长计算方式,我先来举个简单的例子。

问题4:大家还记得光子的世界线是一条45°的斜直线把,我们现在随便在光子的世界线里取A、B两点,那么线段OA、OB的长度分别是多少呢?如下图所示:

                               
登录/注册后可看大图

我们先来看看OA的长度,因为这条直线是45°,所以A点在x轴和t轴上投影得到的距离就是一样长的,也就是Δt和Δx的大小是一样的。但是,闵氏几何里线段长度的计算公式是它们两个相减再开根号,现在这两个值是相等的,那么相减的结果不就是0了么?再开根号结果自然还是0。

也就是说,OA在闵氏几何里的长度为0

你没有看错,它的长度就是0。OA你看着有这么长的一段,但是它在闵氏几何里的长度却是0,这就是那个负号带来的效果。同样的,你可以接着去算OB的长度,或者直接算AB的长度,你会发现它的长度一样全部都是0。

所以,我们有这样的结论:光子的世界线长度恒为0。这很反直觉吧?我们再来看个例子。

问题5:还是上面的图,我过B点做一条垂直于t轴的线,然后随便在BC之间取一条点D。那么OC就是静止不动的粒子的世界线,OD就是一条匀速直线运动的粒子的世界线,OB是光子的世界线,那么它们三个的长短怎么比呢

                               
登录/注册后可看大图

乍一看,好像的OB>OD>OC。但是我们刚刚算过了光子世界线OB的长度为0;OC是静止不动的粒子的世界线,那么它在空间上的位移Δx就为0,那么OC的长度就是粒子在时间轴里走的长度;OD在时间轴上的投影跟OC一样,但是它的Δx不等于0,那么它们相减(-Δt²+Δx²)之后的数值肯定就变小了,那么OD是小于OC的。于是,我们得到的结论确实跟之前的感觉截然相反的,三者的长度是OC>OD>OB=0

所以,当我们在说时空图了某一条曲线的长度的时候,我们都要意识到我们是用闵氏几何那把尺子(时间项前面有负号)来度量曲线的长度,这跟我们平常生活里感受的(欧式几何度量长度)是不一样的。一开始大家会觉得这种方式非常不习惯,但是一旦习惯了就会觉得这个非常自然。

好了,这里我们介绍了闵氏几何里线长的定义和计算方法,理论上我们就可以计算任意一条线段的长度了,也能比较两条线谁长谁短了。我们上一节不就是最后把尺缩效应归结比较两条线段oa和ob的线长么?那现在可以直接比了啊。

                               
登录/注册后可看大图

我们看到ob在x轴的投影跟oa是一样长的,但是oa在t轴的投影为0,ob在t轴的投影却大于零。但是,根据闵氏几何的线长公式,线长是这个线段在时间轴t和空间轴x投影长度平方相减再开根号。既然两条线段oa和ob在空间轴x上的投影都一样,那么在时间轴t上投影长度越大的,相减之后得到的值就越小,那么最后的线长就越小。

所以,我们能直接就这样感觉到,在闵氏几何下,ob是比oa更短的。而ob代表的是运动参考系下尺子的长度,oa是静止参考系下尺子的长度,既然ob比oa更短,那么就是说在运动参考系里尺子的长度更短,这就是我们常说的尺缩效应

这里我们是直接用线长的计算公式算出oa和ob的长度然后再来做比较,虽然算出来了,但是可能不是很直观。在许多教材和文章里都会提到另外一种看起来更直观的比较方式,那就是使用校准曲线,很多人也经常看到这个但是不是很明白,我这里就一起再讲一下。


12校准曲线

校准曲线其实是回答了这样一个问题:闵氏几何里,到原点距离相等的点组成的轨迹是什么

老规矩,我们先看看欧式几何的情况。在欧式几何里,到原点距离相等(比如说都等于2)的点组成的轨迹是什么呢?这个我们都知道,这就是一个圆,到定点的距离等于定长的点的集合就是圆,这个点就是圆心,这个定长就是半径。

在欧式几何里,如果一个点(x,y)到原点的距离为2,那么,根据勾股定理我们就可以很容易写出下面的关系:x²+y²=4。而学过一点解析几何的人就都知道,这就是圆的坐标方程。

那么,再回到闵氏几何,在闵氏几何里到原点的距离为2的点组成的轨迹是什么呢?其实也简单,我们不是已经有闵氏几何的距离公式了么?代入进去就行了,因为是求到原点的距离,所以Δx和Δt就分别是点的坐标x和t,如下图:


                               
登录/注册后可看大图

我们把两边平方展开就得到了:

                               
登录/注册后可看大图

大家对比一下,这个x²-t²=4跟我们在欧式几何里圆的方程只有一个符号的差别(因为坐标轴不同,作为纵轴t和y是完全等价的)。这个式子,学过高中数学的同学一眼就能看出来这是一条双曲线,没学过或者忘了的可以自己去找一些具体的点描上去(自己找一些x的值,然后去算t的值,最后把(x,t)组成的点画到坐标系上去,看看轨迹是什么)。我这里用GeoGebra(这是一个免费的在线数学绘图工具,你输入函数或者方程,它就会自动把对应的图像画出来,有兴趣大家自己也可以去画一画)给大家画了一个图,大家可以看看,双曲线大致就是这么一个形状:


                               
登录/注册后可看大图

我们先甭管双曲线在欧式几何里的各种几何意义,我们是怎么得到这个图的?我们是在闵氏几何里找距离原点距离相等(这里等于2)的点的集合,也就是说,你别看这个曲线是弯弯曲曲的,但是在闵氏几何里,这个曲线里所有的点到原点的距离都是相等的,都等于2

因为这种曲线上所有点到原点的距离都相等(闵氏几何下),所以我们就可以用这种曲线当作一个标准来校准,这就是把它叫校准曲线的原因。还是那个尺缩效应的图,这次我们用校准曲线来看一下。

                               
登录/注册后可看大图

大家看到,我加了一条过a点的校准曲线,我们假设它跟x’轴交于c点。这样就非常清楚了,什么是校准曲线?校准曲线就是闵氏几何里到原点的距离都相等的点,因为a和c都在曲线上,所以,在闵氏几何里oa和oc的长度是相等的,也就是oa=oc。而b、c两点都在x’轴上,很显然的ob<oc,合起来就是ob<oc=oa,那我们就很自然地得到了ob的长度比oa更短的结论。

而oa就是在静止的地面系观测得尺子的长度,ob是在相对尺子运动的火车系上观测到尺子的长度。我们得到的结论是ob<oa,这不就是说在运动的参考系里观测到的尺子的长度更短么?完美符合尺缩效应的结论。

在狭义相对论里经常跟尺缩效应一起出现的还有一个钟慢效应,它说相对钟运动的参考系观测钟会觉得它走地更慢一些,也就是动钟变慢(这个不同于广义相对论引力钟慢效应说的引力越大,时间越慢)。但是钟慢效应和尺缩效应在时空图的处理上是类似的,所以我这里就不说了,大家可以自己去画一下,想知道答案的可以参考梁灿彬老师《从零学相对论》的4.2节(没有资料的可以在公众号后台回复“梁灿彬”或“梁老师”,获取《从零学相对论》+《微分几何入门与广义相对论》以及梁老师配套的的教学视频)。

接下来,我们来看一个狭义相对论里让无数新人头痛不已,也让无数科普者无比心烦的一个问题。这个问题用几何语言处理极为简单,但是读者不认,他们不太了解闵氏几何,更无法理解几何图形里代表的物理实质,你凭什么用这个这个就代表了那个那个?但是,这个问题如果用传统的代数语言讲就极为复杂,而且逻辑非常绕,一不小心就在各种相对里面把自己都绕进去了,分析它简直是对智商极大的挑战。没错,这就是大名鼎鼎的“双生子佯谬”问题。


13双生子佯谬

双生子佯谬的描述倒是非常简单:假设地球上有一对双胞胎,有一天哥哥驾着宇宙飞船去太空里里飞了一大圈再返回地球。那么按照狭义相对论,我们就会发现哥哥再次回到地球的时候他会比弟弟更年轻。比如说,哥哥从地球出发的时候,这对双胞胎都是20岁,现在哥哥在太空飞了一圈再回来之后,有可能弟弟已经30岁了,哥哥才25岁。当然,这个具体的数字依赖于特定的飞行情况,但是哥哥肯定会比弟弟年轻这是一定的。

这个问题的争议点在哪呢?它争议就争议在:狭义相对论里有钟慢效应,也就是说运动的物体他的时间会变慢。那么似乎可以说哥哥离开地球在太空里运动了一圈,所以哥哥是运动的,那么哥哥的时间会变慢,回到地球更年轻好像说得通。但是,运动不是相对的么你站在地球上觉得是哥哥在动,那么我站在飞船的角度来看,我也可以觉得是弟弟(包括整个地球)在远离我然后靠近我,那么运动的那个人就是弟弟,因此弟弟的时间更慢,兄弟见面的时候应该弟弟更年轻。这样不就前后矛盾了么?

双生子问题是一个佯谬,佯谬就是说它看起来是错的,是矛盾的,其实是正确的。也就是说,如果我们真的有这样一对双胞胎,哥哥去外面浪了一圈再回到地球,他是真的会更年轻。但是,这样的话,我们要如何解释后面那种矛盾的说法呢?也就是,站在飞船上哥哥的角度看来,运动的是弟弟和地球,为什么不可以认为弟弟和地球才是那个时间变慢的呢?

有人意识到是加速减速这个过程在作怪,但是加速减速他一样可以说,我在飞船上看,地球也是加速离我远去,再加速再回来。然后甚至有人说这里有加速度,就应该把广义相对论搬进来解释,在这条邪路上走地更远的甚至说:哥哥不是加速运动么?等效原理说加速度等效于引力,所以哥哥在加速的过程产生了引力,而广义相对论又说引力是时空弯曲,那么哥哥加速使得时空弯曲了。

其实,双生子佯谬不仅是让许多初学者疑惑,在相对论的几何语言普及之前,许多物理学家对它也是头疼不已。他们到了20世纪50年代还在吵这个,物理学家们吵就不是像我们这样在群里或者论坛里发表一下意见看法,他们是发文章到《自然》、《科学》这样的顶级学术杂志里吵,所以你可以想象一下那时的情况。但是,当几何语言普及之后,物理学界几乎就没人再因为这个争论了,因为在几何语言下,这个问题简直简单得不像话,它就跟2+2=4一样清晰简单,那还有什么好吵的

为什么几何语言可以如此大幅度的降低双生子佯谬的难度呢?这里就涉及到了学习相对论里最重要的一个事:学习相对论最重要的就是要分清楚相对论里哪些东西是相对的,哪些是绝对的。你要是看这个理论的名字叫相对论,就认为什么都是相对的,那就完了。其实相反,狭义相对论的两个根基“光速不变”和“相对性原理”都是绝对的:前者说光速是绝对的,后者说物理定律的形式是绝对的,这其实是一个不折不扣的“绝对论”

我们再回过来想一想,双生子佯谬到底为什么这么麻烦?不就是因为滥用相对,认为什么都可以相对,所以站在哥哥的立场和弟弟的立场应该都一样从而导致了佯谬么?那为什么我们用几何语言可以轻松把这个问题理清楚呢?因为我们在使用几何语言的时候,我们是把时3维空间和1维时间看做一个整体的4维时空。用3维眼光看世界,3维空间和时间都是相对的,但是4维时空确是绝对的。当我们站在更高的维度(4维时空)里看问题的时候,那些因为相对产生的各种问题就自然消失了。所以,使用几何语言思考相对论,是站在更高的维度上看问题,这是一种思维方式上的降维打击。看过刘慈欣《三体》的同学,想必都对降维打击产生的效果印象深刻,学习相对论,我们也要尽快提高自己的维度~

如果想体会一下3维语言处理双生子问题的复杂度,可以看看我之前写过的一篇《双生子佯谬过程全分析》,其处理问题之麻烦,逻辑之烧脑简直灭绝人性。虽然我已经尽量清晰通俗的语言来说这个问题了,但是读者的问题还是跟雪花一样飞过来。最开始我还比耐心的一个个在群里解释,后来就实在受不了了。要跟人把这个问题彻底解释清楚,少则一两个小时,多则一下午,太费时费精力了。而且,后面要理解许多人的问题都非常困难,因为要提出一个正确的相对论的问题也需要一定基础,有些同学相对论的基础知识不牢,提的问题都是问题,那还怎么去理解双生子佯谬呢?

这就像是游戏里刚出来就要去打终极BOSS,下场自然可想而知,这也是我为什么现在就这么着急的来讲几何语言的一个原因:我实在不想再回答3维语言的双生子问题了。而且,把自己局限在这几个效应佯谬里,也不是什么好事,因为讲相对论的人虽然经常讲这个几个东西,但是这些东西绝非相对论的精髓,大家早点从这些框框里跳出去,去感受一下相对论里更精妙的东西才是好事

14双生子佯谬的几何解释

好,我们下面来看看从几何语言是如何降维解决双生子佯谬的问题的。我们先假设地球做惯性运动(忽略地球自转和引力场什么的),以地面系为基准系,我们在时空图里画一画哥哥和弟弟的世界线。

弟弟的世界线简单,因为他一直待在地球没动,所以他在空间坐标里没动,流逝的只有时间。那么,弟弟的世界线就是一条跟t轴平行的直线。

哥哥的世界线稍微复杂一点,但是也很容易。哥哥从地球出发,去太空浪了一圈再返回地球,这其中的过程无非是先加速远离地球(加速之后有没有匀速我们都不管了),太空里飞了一段时间要掉头返回地球,那么其中必定先减速,再反向加速驶向地球,最后还要减速降落在地球上。因为匀速运动的世界线是一条斜直线,那么加速运动的世界线就是曲线了,这曲线大致就是下面这个样子。

                               
登录/注册后可看大图

我们用a表示哥哥离开地球这个事件,b表示哥哥返回地球跟弟弟见面这个事件,那么这个时空图就大致是下面这样的:

问题来了,时空图在这里,哥哥弟弟的世界线也都画出来了,那么如何从图中判断哥哥弟弟谁更年轻呢?时空图里纵轴是时间轴,单从时间轴来看,哥哥和弟弟的世界线在时间轴的投影刚好是一样长的,那么是不是这样就代表哥哥弟弟经历的时间是一样长的呢?如果他们经历的时间一样,那么重逢时哥哥弟弟的年龄就应该一样大啊,那怎么还会有双生子佯谬呢?这显然跟事实不符。

那么这个时间到底要怎么看呢?我们先来想一想,我们要判断地球重逢时谁更年轻,其实就是判断在事件a和事件b之间哥哥弟弟谁自己经历的时间更长,我这里特别强调是自己经历的时间,为什么要这样强调?在牛顿力学里,时间是绝对的,全世界的人都共用一个时间,因此这么说是多余的。但是在相对论里时间是相对的,不同参考系对时间的测量也是不一样的(正因如此洛伦兹变换里两个系的时间t和t’是不相等的),那么在哪个参考系测量的时间可以表征一个人的真实年龄变化呢?或者换句话说,哪个时钟可以表征一个人年龄的真实变化呢

答案显而易见:只有一直跟自己处于同一个参考系的时钟测量的时间才是自己年龄变化的真实时间。也就是说,只有我口袋里那块表的走时才是真正跟我的年龄增长对应的,我们把这个自己随身携带的时钟测量的时间称为固有时。相对论里时间是相对的,伦敦的那口大笨钟跟我不在一个参考系,凭什么说它的走时测量的是我的时间?

想通了这点,上面的事情就好理解了:我们把哥哥和弟弟的世界线都投影到时间轴,这其实得到的是地面系的时钟测量哥哥弟弟经历的时间,这钟相等没有任何意义。我们得用地面系的时钟测量弟弟的时间,再用飞船系的时钟(也就是哥哥随身带的时钟)测量哥哥经历的时间,也就是哥哥的固有时,这样对比才行。

那么问题来了:根据时空图和世界线,我们要如何得到哥哥的固有时呢?


15世界线和固有时

在这里,我先给出这个极为重要的结论:世界线的线长等于固有时

这句话很短,意思却很明确,他就是告诉我们时空图里那个粒子的世界线的线长就表征了粒子的固有时,也就是跟粒子一直保持相对静止的时钟测量的时间。在上面的双生子佯谬的时空图里,哥哥和弟弟的世界线都画出来了,那么我们可以求出他们的线长。现在你说世界线线长等于固有时,那我们要比较哥哥弟弟的固有时,直接比较他们的世界线线长就完了。

所以,如果我们知道上述结论,那么双生子佯谬这个问题就简化为比较哥哥和弟弟世界线的线长,谁的长一些谁经历的时间就多一些,那谁就更老,那问题就相当简单了。因此,现在问题的关键就是如何理解上面的结论:为什么在闵氏时空里世界线的线长会等于固有时呢

这个事情我们可以这样理解:固有时是什么?固有时就是自己随身带的时钟测量的时间,说得再准确一点,那就是跟自己一直处在同一个参考系里的时钟测量的时间。因此,如果一个时钟始终跟你处在同一个参考系里,它自然觉得你一直是静止不动的。比如,在飞船里的哥哥虽然要经历加速减速运动,还可能在宇宙里各种浪,但是在飞船里的人和时钟看来,哥哥一直坐在那里没动。

那么,重点来了:时钟觉得你不动,其实是觉得你在空间里没动,也就是说觉得你在空间上的位移为零。那么,你在时空(时间+空间)里移动的间隔就将全部由你在时间上的间隔贡献(因为空间没动,间隔为0)

什么意思?我们再来理一下时空间隔这个概念:狭义相对论统一了时间和空间,用时空图上的一个点表示发生在某个时间某个空间上的一个事件,那么两个事件肯定就表示为时空图上的两个点,那么这两个点之间的距离(闵氏距离)就是这两个事件的时空间隔。而且,我们还反复强调了,闵氏几何里的时空间隔,就跟欧式几何里的空间间隔一样,它是不会随着参考系的变化而变化的。也就是说,只要发生了两个事件,那么不管我是在地面系看,还是在飞船系看,这两个事件信息虽然不一样,但是它们的时空间隔一定是一样的

在欧式几何里,欧式线元是dl²=dx²+dy²,所有在x轴上相隔dx,y轴上相隔dy的两个点的空间间隔,或者说空间距离也就是dl²=dx²+dy²。同样的道理,在闵氏几何里,闵氏线元是ds²=-dt²+dx²,所以,在时间上和空间上分别相差dt、dx的两个事件,它们之间的时空间隔也就是 ds²=-dt²+dx²

我们现在想知道固有时,也就是想知道跟自己处在同一个参考系里的时钟的走时。上面我们已经分析了,在自己所处的参考系里,肯定觉得自己是静止的,也就是空间间隔dx=0。因为时空间隔是ds²=-dt²+dx²,把dx=0代入进去我们就能得到ds²=-dt²。这就是在上面说的,自己参考系里的时空间隔全部由时间间隔贡献的意思。

有了ds²=-dt²,事情就明朗了:dt就是在自己所在参考系里的时间流逝,而ds是时空间隔,也就是时空图上两点的距离。这个微分符号d就是在告诉我们这是两个间隔无穷小的事件,如果我们把许多无穷小的这种事件累积起来(也就是对ds²=-dt²积分运算),那么dt累积起来就是时钟流逝的时间,也就是固有时;而把ds累积起来,也就是把所有相邻时空点之间的距离累积起来,那得到的就是时空图里这条世界线的长度

这就无可辩驳的向我们证明了:世界线的长度等于固有时

其实,只要我们理解自己相对于自己所在的参考系肯定在空间上是静止的,所以时空间隔全部由时间间隔贡献。而时空间隔就是时空图里两点的距离,这个距离累积起来就是世界线的长度,而时间间隔累积起来自然就是这个参考系里流逝的时间就行了。上面做的各种简单的计算,无非就是从数学上更加严格地证明了这一点而已。

想通了这点就会觉得其实“世界线长等于固有时”是很正常的事情,在一些相对论的教材里,他们甚至直接拿这个来定义标准钟的。也就是说,他们在教材不会向你解释为什么“世界线长等于固有时”,而是直接告诉你“只有世界线的线长等于固有时的钟才是标准钟”,才是准确的钟,否则你的钟是有问题的。可见,在大家眼里,这个结论实在是非常自然的。


16双生子佯谬之完结篇

好了,如果我们能够理解“世界线的线长等于固有时”,那么困扰大家多年的双生子佯谬就瞬间变成了一个极其简单的问题。我们再来看看双生子佯谬的时空图:

                               
登录/注册后可看大图

比较哥哥弟弟重逢时谁的年龄更大,就是比较他们两个的固有时,就是比较哥哥和弟弟世界线的线长。那么,他们两个的世界线谁的更长一些呢?

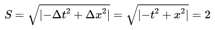
其实这根本都不用定量的去计算,一眼就能看出弟弟的世界线更长,因为闵氏几何里线段长度是时间和空间项的平方相减之后再开方得到的。这个求线段距离的公式我们前面也说了,其实就是闵氏线元稍微处理一下,如下图:


                               
登录/注册后可看大图

所以,如果两条线在时间轴上长度一样(比如哥哥和弟弟的时间都是从a到b),那么在空间上走的越多的它的总线长就越短。弟弟静止没动,他的世界线是完全平行于t轴的,在x轴上都没有任何分量,也就是Δx=0,所以他的世界线肯定是最长的。哥哥因为去太空飞了一圈,所以空间上的分量Δx>0,那最终得到的S的值肯定就比弟弟更小了。

我们可以想象一个最极端的情况,我们假设哥哥以光速运动,那么它在空间上走的距离就最大。而我们知道光子的世界线长度为0,所以这时候哥哥的世界线长度就是最小值0了,0肯定比弟弟的世界线长度更小吧。

如果大家对这种粗略的讨论不放心,我们可以换种更精确的方式讨论。如下图,我们把弟弟和哥哥的世界线用很多平行于x轴的虚线分隔开,如果我们的分割线足够多,那么在每一个小段里哥哥的世界线就可以近似看做一条斜直线,而它的线长是显然比弟弟世界线里的那一小段短的(这我们在上面已经给过结论了)。由于每一小段里哥哥的世界线都更短,那么累加起来的总世界线肯定还是更短了。

                               
登录/注册后可看大图

总之,大家如果理解闵氏时空的线长计算公式,我相信理解哥哥的世界线更短是非常容易的,而世界线更短就意味着自己经历的时间(固有时)更短,那么重逢时哥哥就更年轻。这样,双生子佯谬就是很明显的事情了。

于是乎,我们发现让我们头疼不已的双生子佯谬就这样被解决了。在几何语言里,复杂的双生子问题被简化到仅仅比较一下哥哥弟弟两条世界线的线长就行了,而只要我们理解在闵氏几何里计算线长要用闵氏几何的方式(ds²=-dt²+dx²)去度量就没什么问题了。其实,你也不用觉得奇怪,把代数问题几何化之后带来问题难度的大幅度降低并不是什么奇怪的事情,我们在初中高中的数学里,不也经常借助画图去理解函数、方程的性质么?

这样处理问题简单是简单了,但是细心的人还是会有疑虑,他觉得:虽然你在这个以地面为基准系的时空图里确实严格地证明了哥哥的世界线更短,所以回来的时候更年轻。但是我如果不以地面系为基准系呢?我在其他的参考系里来看,来画时空图,比如我要是站在哥哥飞船的视角来画时空图,那结果会不会又不一样呢?因为说到底,大家觉得双生子佯谬难以理解,就是因为你可以站在弟弟的角度,也可以站在哥哥的角度,这样一相对就没完没了了。

这在以前的思维里确实是大问题,但是,在几何语言里这确不是问题。为什么呢?因为线长是一个几何量,这种几何量是不会随着坐标系的变化而变化的(因为它们是根据线元定义的,而线元在不同的坐标系里都是一样的),也就是跟坐标系的选择无关。这一点我们在二维欧式几何里也可以非常清楚地感觉到:你在二维欧式平面里有一条线段,那么这条线段的长度就是固定的。不管你是上下左右的移动这个直角坐标系,还是顺时针逆时针旋转这个直角坐标系,线段的长度始终都是一样的,这一点相信大家不难理解。

那么,同样的,在闵氏几何里,不论你选择哪个惯性系作为基准系,一条世界线的线长都是一样的。也就是说只要哥哥的世界线在一个参考系里比弟弟的世界线短,那么再所有的惯性参考系里都比弟弟的世界线短。这就跟在欧式几何里一根木棒只要在一个直角坐标系里比另一根木棒长,它在所有的直角坐标系里都比那根木棒长一样的道理。

其实,我们再仔细想一下,当初我们为什么选择闵氏几何来描述狭义相对论?不就是因为我们发现了在洛伦兹变换下,也就是在惯性参考系之间不论怎么相互转换,ds²=-dt²+dx²作为一个整体它的值是不变的么?然后我们以ds²=-dt²+dx²为线元建立了闵氏几何,而在闵氏几何里曲线的长度就是根据这个线元来定义的。所以,世界线的长度在闵氏几何不同的参考系里肯定就是一样的,我们也压根没必要舍近求远,去选择更复杂的参考系给自己找不痛快。

这样,我们就能消除那个疑惑,放心大胆的说哥哥的世界线更短了。于是,用闵氏几何讨论双生子佯谬的问题就全部结束了。其实,只要把几个关键的弯转过来,你就会发现双生子佯谬其实是非常简单的一个问题,它完全不值得我们花费那么多的时间精力在这里绕来绕去(这个问题跟薛定谔的猫在社群里并称两大月经问题),但是不使用几何语言,这好像也是没办法的事,太复杂了。相对论还有非常多精彩的东西等着我们去探索发现,在双生子这棵小树上把自己吊死了岂不可惜?闵氏几何虽然看上去有点怪异,但是当我们顺着思路慢慢看的时候,就会发现它其实也没那么奇怪,它不过就是在欧式线元的前面加了一个负号而已,其他的逻辑跟欧式几何都几乎是一模一样的。


17结语

文章到这就先告一段落,能够坚持看到这里的那妥妥的都是真爱了。我写这篇文章主要是想让更多人了解闵氏几何,了解闵氏几何是如何处理狭义相对论里的问题的,最好是让读者能开始习惯用几何语言讨论相对论问题。

所以我不能直接给你下定义,然后告诉你如何用闵氏几何处理这个那个问题,因为这样很多人会不服气,凭什么相对论的问题可以转化成这样的几何问题?为什么闵氏几何里的这个就对应了相对论里的那个问题?因为闵氏几何并没有那么直观,你把狭义相对论翻译到闵氏几何并不像我们把一个图形画到黑板上那么显而易见,所以我必须先把自己的知识清空,从头从零一点点的开始讲,让大家自然的切换到闵氏几何中来。于是,文章就不可避免的长了起来。

另一方面,我这只是科普性质的文章,重点是想让大家了解闵氏几何处理狭义相对论问题的核心思想,因此,我不会像教科书一样把各个概念和术语都写出来。相反,为了降低大家理解的难度,能不用术语的地方我尽量不用术语,能不写公式的地方尽量不写公式,我这真的只是一个闵氏几何的入门篇。大家如果想更全面深入的了解相关内容,可以去找专业的闵氏几何和相对论的教材,这里我还是推荐北京师范大学梁灿彬老师的《从零学相对论》(入门篇)和《微分几何入门与广义相对论》(高级篇),需要这两本书的电子版和配套教学视频的,可以在后台回复“梁灿彬”或者“梁老师”。把我这篇文章看懂了,再去看《从零学相对论》应该会很容易,更深入的问题我们后面再说。


大道至简 万物于弧
*滑动验证:
您需要登录后才可以回帖 登录 | 立即注册

本版积分规则

手机版|Archiver|小黑屋|国际弧学研究会    

GMT-7, 2026-1-24 09:22 , Processed in 1.230973 second(s), 23 queries .

Powered by Discuz! X3.1

© 2001-2013 Comsenz Inc.

快速回复 返回顶部 返回列表