设为首页收藏本站

弧论坛

 找回密码
 立即注册
搜索
热搜: 活动 交友 discuz
查看: 5028|回复: 0
打印 上一主题 下一主题

温度的本质是什么?

[复制链接]

5919

主题

6627

帖子

7187

积分

坛主

Rank: 10Rank: 10Rank: 10

积分
7187
跳转到指定楼层
楼主
发表于 2017-4-16 01:12 | 只看该作者 回帖奖励 |倒序浏览 |阅读模式
温度的本质是什么? | No.52

Original
2017-04-14
Frions 中科院物理所



1Q
偶然注意到在不同介质的声音传播速度中,橡胶为介质时只有几十米每秒,甚至比室温空气中的340m/s还要低。请问这里有什么内在原理吗?是否和橡胶的化学结构有关?声音在介质中传播的原理是怎样的呢?
By  魏诗怡
A
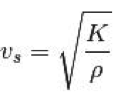
从本质上来说,声速对应的是微小扰动在可压缩介质中传播的速度。在固体中,声波既有横波也有纵波,即材料中的原子或分子在垂直或沿着波传播的方向上来回地振动。我们简单地想一下,如果单个分子或原子自己振动的方向和声波传播方向尽可能相一致,那么在该方向上,分子间碰撞的几率增大,那么扰动传播的速度就越快,换言之声速也就越快。一般说来,固体中声速的公式为:


                               
登录/注册后可看大图

其中K为弹性模量,ρ为密度。计算固体材料的声速,就要从这个材料的具体性质参数出发。因此对于橡胶的情况,也不是一概而论,天然橡胶中声速很低,但如果设法提高了橡胶硬度,如硫化橡胶,那么橡胶中的声速也就很大了。

2Q
为什么用纸或塑料遮住手机Home键,指纹识别依然可以使用?难道这样也导电吗?
By  佚名
A

所谓指纹识别,即通过识别模块收集你的指纹信息,与之前存储在手机中的指纹信息进行对比。根据收集指纹的方式不同,指纹识别模块主要有:光学式指纹模块、电容式指纹模块、射频式指纹模块。

光学式指纹模块利用光学反射成像来识别指纹(下图),但其识别精度并不理想,且占用空间较大,所以手机上很少用这种识别模块。


                               
登录/注册后可看大图

电容式指纹识别模块利用硅晶元与手指导电的皮下组织液构成一个“电容器”。我们知道,两个电极之间的距离远近会影响电容器的电压;根据这个原理,指纹的高低起伏就会在不同的硅晶元上形成不同的电场(下图),于是就把指纹信息转化成了电信号。目前大多数手机的指纹识别使用的都是电容式指纹识别。


                               
登录/注册后可看大图

射频指纹模块有无线电波探测和超声波探测两种,原理即靠特定频率的信号反射来探知指纹的具体形态。这种技术是通过传感器本身发射出微量射频信号,穿透手指的表层,探测里层的纹路(下图)。其优点是手指不需要和识别模块接触。


                               
登录/注册后可看大图

了解这些之后,我想你的问题已经获得解答。首先你的手机指纹识别是电容式的,对于这种模式的指纹识别,只要“中间介质”不是厚到让产生的电场太弱而检测不到,就不会影响指纹识别的。你可以做个小实验,看加多少张纸后,指纹识别功能失效。
另外“湿手无法指纹识别”也很容易理解:水有导电性,这时识别的是水的“纹路”,而不是你手指的。

3Q
温度的本质是什么?人触摸物体时是如何感受到物体的温度的?
By  迟早
A
要想理解温度的概念,应该先抛掉我们在日常生活中由对冷暖的感知而获得的对温度的理解。
从纯粹物理的角度来说,温度是一个统计意义上的概念,它是一个系统中全部分子的平均动能(平均动能和温度之间只差一个常系数)。温度越高(平均动能越大),系统内部就越“热闹”。


                               
登录/注册后可看大图
图1. 温度是系统成分的平均动能。

既然温度是系统的“平均动能”,那么这个系统不管是一个分子,还是1023个分子;是微波背景(空间中弥漫的电磁波),还是黑洞——只要其成分具有动能,我们都可以定义出它的“温度”。只不过对于成分较少的系统,例如只有几个分子的系统,定义温度的概念是没有太大意义的;只有当我们需要在统计意义上研究系统时,温度的概念才有必要性。
从这个角度来理解热力学第三定律的“绝对零度不可达到”,其实直白了说就是,在物理现实中一个系统的平均动能不可能等于零。
上面这些是从微观角度来考虑的,但在我们日常应用中不可能把所有分子的动能都加起来然后平均一下来算一杯水的温度。那怎么办呢?就像量一张桌子需要一把尺子一样,我们也需要一把测温的“尺子”。以我们熟知的摄氏温标为例吧,这把温度标尺的定义是:在标准大气压下,把(例如)水银柱放在水中,选水的冰点时(严格来说,应该是纯水的三相点)水银柱的高度为0度,沸点时的高度为100度,等分100份,每等份为1度。其他(像华氏温标、热力学温标)的定义都与之类似,建立任何一种温度的“尺子”,都需要三个要素:测温物质(水银)、测温属性(水银的膨胀)、固定标准点(水的冰点和沸点)。
当考虑到我们对温度的感觉时情况就变得比较复杂了,因为“冷”、“暖”只是我们的感觉经验,而我们的感觉经验受很多因素的影响。例如皮肤表层有没有神经细胞、神经细胞的密度、细胞兴奋的时间、不同神经细胞感知到的温差、空气湿度、风速等。对于前几种在此不再讨论,详细内容可以查看心理学的相关知识,这里只说后两种。
风速会影响与人体皮肤接触到的空气量。当风速增加时,与人体所接触的空气会增加,其所带走或带来的热量相应地增加,这现象便是“风寒指数”。如图所示,当风速达到20m/s时,空气温度为4度,但我们的感觉却在零下。所以夏季微风会更凉爽(要确保空气温度低于你的体温,否则会相反)。


                               
登录/注册后可看大图
图2. 风寒指数

而另一方面,人体通过排汗来降温,汗液蒸发带走人体热量。但是当空气的湿度较高时,水分的蒸发率就会降低。这意味着散热变慢,相对处于干燥空气中的情况,人体内就保留了更多的热量。这种现象称为“酷热指数”。


                               
登录/注册后可看大图
图3. 酷热指数

综合风速和空气湿度给人对温度所带来的影响,将风寒指数和酷热指数合成为一个词:体感温度。
从上面的回答可以看出,物理中的温度和生活体验中的温度差别还是很大的。所以似乎得出一个结论就是,学习物理就要忘掉日常经验。


                               
登录/注册后可看大图
图4.  一张展示了长期全球月平均地表大气温度平均值的地图。

4Q
请教下,当两个黑洞相互靠近时,会发生什么?
By 东方龙将
A
越来越快地旋进,然后合并。在此过程中会产生引力波,以及可能会产生中微子、伽马暴以及其他波段的电磁波。(视频来源:wiki)


5Q
   弱相互作用与β衰变的关系?
By  cddddddx
A
首先看什么是β衰变。β衰变是指原子核中一个中子放出一个电子和电子中微子,形成质子,或者一个质子放出正电子和反电子中微子形成中子的过程。前者叫β-衰变,后者叫β+衰变。根据原子的唯象理论,在质量数A给定的情况下,原子核的能量关于核电荷数Z是二次函数形式。质子和中子是费米子,由于泡利不相容原理,质子和中子的每个量子态最多只能容纳一个粒子,而原子核中质子和中子分别对应一系列能级,可以看作两口井,一定量的水(给定的核子数)填到两口井中,如果一边高一边低(质子比中子多或者中子比质子多)是不稳定的,两口井水面相平才是稳定的(质子中子数相当)。所以当Z太大时,这种非对称能和库伦作用能会急剧升高。当Z太小时,由于非对称能和中子与“质子电子对”的质量差异,原子核能量也会升高。所以在Z靠近A一半的地方会有原子核的稳定状态,重荷会通过β衰变来调整质子中子数使得整体能量最低。
而这个过程是通过弱相互作用来完成的。弱相互作用是指粒子通过放出或者吸收Z和

                               
登录/注册后可看大图
玻色子来完成相互作用,就像两个人互相朝对方扔球。其中Z不带电,是中性的,W+带正电,W-带负电。由于Z和

                               
登录/注册后可看大图
质量较大,在产生这个玻色子的时候会违反能量守恒:一个人不能从口袋掏出一个比现在口袋装着球的自己更重的球。但是量子力学的不确定关系允许短暂地违反能量守恒,因此弱相互作用的作用时间与距离很短,强度也弱。在夸克模型中,中子由一个u(上夸克)两个d(下夸克)构成,质子由两个u一个d构成。在β-衰变中,中子的一个d放出一个W-,变成u,中子也就成了质子,而W-寿命很短,在这种能量下,马上就衰变成了一个电子和电子中微子。

6Q
一列速度接近光速的火车(静止时的长度比隧道的长度大)经过隧道时,站在地面上的人还看到两个闪电同时击中隧道的两端,但由于“动尺变短”效应,站在隧道旁边的人看到火车完全进入了隧道,刚好不会被闪电击中。但是,站在车上的人看到的却是隧道变得更短,不可能完全遮住整列火车,那么他看到的闪电会不会击中火车呢?
By 卡卡西
A
其实这是一个比较经典的狭义相对论问题。题主的问题可以稍微数学一点地描述为:在地面参考系看来隧道两端同时发生的事件在火车参考系看来它们的空间坐标是否落在火车内?我们通过洛伦兹变换就能得到答案(此处省略4行公式)。狭义相对论告诉我们:如果隧道的长度恰为

                               
登录/注册后可看大图
倍的火车长度,那么能够同时击中隧道两端的闪电也恰能击中火车两端。但是在火车上的人看来,两端遭受电击并不是同时的,而是先看到头部与隧道前端重合,受到一次电击,然后尾部与隧道后端重合又受到一次电击(还是上车更刺激)。
虽然这个结果有点反直觉,但是这是满足光速不变原理所要求的必然。理解相对论的关键在于理解光速这个概念。首先它代表了物质运动相对于一切参考系的极限速度(光只是一个代表),所以速度不可能线性叠加。然后,光速不变它是一个原理,也就是一个假设,当然这个假设得出的推论与实际符合很好,这才是它的价值所在。小编在这里还想留个思考题:火车上的人看到能同时击中火车两端的闪电在地面上的人看来能否击中隧道两端呢?

大道至简 万物于弧
*滑动验证:
您需要登录后才可以回帖 登录 | 立即注册

本版积分规则

手机版|Archiver|小黑屋|国际弧学研究会    

GMT-7, 2025-12-10 07:26 , Processed in 1.852606 second(s), 26 queries .

Powered by Discuz! X3.1

© 2001-2013 Comsenz Inc.

快速回复 返回顶部 返回列表