设为首页收藏本站

弧论坛

 找回密码
 立即注册
搜索
热搜: 活动 交友 discuz
查看: 4671|回复: 0
打印 上一主题 下一主题

等周定理:一个爱情悲剧里的数学问题

[复制链接]

5923

主题

6632

帖子

7192

积分

坛主

Rank: 10Rank: 10Rank: 10

积分
7192
跳转到指定楼层
楼主
发表于 2019-11-17 22:40 | 只看该作者 回帖奖励 |倒序浏览 |阅读模式
等周定理:一个爱情悲剧里的数学问题

中科院物理所
[color=rgba(0, 0, 0, 0.298)]Today
以下文章来源于返朴 ,作者杨帆



平面上的等周问题是非常古老的问题,在维吉尔的史诗《埃涅阿斯纪》中就出现了等周问题的影子。等周定理简单概括就是,在平面上给定长度的简单闭曲线中,圆周所围的面积最大。圆这一答案看似自然而合理,但要严格地证明却并不容易,历史上研究该问题的数学家层出不穷,今天我们就开启一趟数学探索之旅,体会这些不同风格的证明方法。

撰文 | 杨帆(重庆大学数学与统计学院)

著名歌剧里的数学问题
平面上的等周问题是微分几何的基本问题之一,研究历史悠久,若要完整的讲述其中的故事,我们不妨从亨利·普赛尔(Henry Purcell, 1659-1695)最著名的歌剧《狄朵与埃涅阿斯》(Dido and Aeneas)聊起。这部歌剧取材于维吉尔(Virgil)的史诗《埃涅阿斯纪》(Aeneid),演绎了迦太基(Carthagia)女王狄朵和特洛伊英雄埃涅阿斯的爱情悲剧,歌剧中女巫姐妹为了破坏他们的爱情,欺骗埃涅阿斯离开迦太基去完成一项使命,狄朵误以为他背叛了自己,于是自焚身死。

最终,他们出现在你眼前,

可以看到新迦太基建起的塔楼;

在那里买下一块土地,名叫比尔萨。

            ——《埃涅阿斯纪》


                               
登录/注册后可看大图
歌剧《狄朵与埃涅阿斯》宣传图

狄朵与埃涅阿斯的相遇其实并不浪漫,她一生命途坎坷,在此之前因丈夫被暗杀而被迫逃离故土,她一路逃亡来到北非海岸,并设法在此定居,为购买土地与当地人经历了一番讨价还价,最终得到的承诺是她只能占有一块牛皮包住的土地,于是聪慧的狄朵将牛皮切成尽可能多的细条,将细条相连成线从而围住了大片土地。在这里我们看到了等周问题的影子——在给定的周长内围住尽可能多的土地面积,遗憾的是这位潜在的女数学家选择将生命献给爱情,最终这个数学问题还是由古希腊数学家给大致解决了。

何为等周定理?即平面上定长的简单闭曲线中圆周所围的面积最大,其对偶定理与之等价,即平面上面积相等的几何图形中圆的周长最小。设D是长度为L的平面简单闭曲线,由若尔当曲线定理(即在欧式平面上,任意一条简单闭曲线D可把平面分成两个部分,使得同一部分的任意两点可用不与D相交的弧相连),曲线D可围成面积为A的有限区域,用不等式表示为

                               
登录/注册后可看大图
,当且仅当D为圆周时等号成立。


等周问题的肥皂泡实验


答案看似有理,毕竟圆是一个如此神奇的形状,但严格地证明并不容易,历史上先后有许多数学家都研究过该问题,但直到19世纪,才由德国数学家魏尔斯特拉斯(Weierstrass,1815-1897)首次给出了一个严谨的数学证明(参见参考文献4)。接下来,我们就来了解几个不同时期有代表性的证明方法。

斯坦纳的证明
在正式证明之前,我们要明确等周定理的解一定是凸几何。所谓凸几何,即在某一图形内取任意两点连成线段,若线段上所有的点都在图形内,则该图形为凸几何,反之为非凸几何。

假设曲线D围成了一个面积最大的图形(如下图所示),用一条直线平分曲线D的周长,这样就得到了两段等长的曲线D1与D2;之后将D1与D2分别关于直线作对称,围成新图形A1、A2,此时A1与A2的周长与面积均相等。诶,等等,你确定面积也一定被平分吗?当然啦!如果平分周长时面积并未被平分,那么将原图形中面积更大的一半关于直线作对称,就能得到周长相等而总面积更大的图形,从而与假设矛盾。


                               
登录/注册后可看大图
等周问题的解一定是凸几何

不妨假设A1为非凸几何,可以作一条与曲线凹处相交的直线,从而得到两个交点A与B,此时线段AB中存在A1以外的点,将两交点间的曲线段关于交线作对称,这样A1的周长不变,而面积却增大了,这意味着曲线D可以围成面积更大的图形,与假设矛盾。因此,简单闭凸曲线方可围成面积最大的图形,明确这一点可以大大简化证明的过程。

17世纪以来,一批数学家们致力于在解决几何问题时尽量少的运用代数运算,而追求更具普适性的方法,雅各布·斯坦纳(Jakob Steiner,1769-1863)就是其中一位代表性人物。他在合成几何方面的研究较为权威,他认为计算妨碍了思考,而纯粹的几何学则刺激了创造性思维,在他所给出的五种对等周定理的证明中,这一态度也有所体现,我们先来领略其中两种方法的精彩之处。


                               
登录/注册后可看大图
Jakob Steiner,1769-1863

01

                               
登录/注册后可看大图
四铰链证明法
(Four-hinge Proof)

与之前的做法类似,首先用一条直线将定长条件下面积最大的图形分为周长相等的两部分,此时面积也被平分,要证明等周定理,只要证明图形平分后的两部分为半圆。


                               
登录/注册后可看大图


考虑上半部分曲线 D1 围成的图形A1,运用反证法,假设A1不是半圆。将D1与分割线的交点记为B与C,由直角三角形的斜边中线定理可知,半圆的内接三角形为直角三角形,而A1不是半圆,则D1上存在一点A,与点B、C相连使得∠A不是直角。接着,移动三角形底边的端点 B、C,并保持BA、CA的长度不变,使∠A变为直角,这时,保持阴影部分面积不变,而三角形△ABC面积增加,从而A1的面积也增加,而曲线 D1 的长度未变,因此在周长不变的情况下得到了面积更大的图形,与假设矛盾,因此上半部分为半圆,从而圆就是面积最大的图形。

02

                               
登录/注册后可看大图
平均边界证明法
(Mean-boundray Proof)

首先来介绍一下平均边界的概念,可以将它理解为两条给定曲线的中线,从垂直方向看,作一直线与三条曲线分别交于A、B、C,则线段AB与线段BC等长。并且稍作计算可以发现,平均边界的长度不大于两条给定曲线长度的平均值,只有当两条曲线一样时才能取等号

                               
登录/注册后可看大图

平均边界


与前一种证法类似,假设曲线D所围图形面积最大,将其按周长平分为曲线D1、D2(如下图所示),不妨将曲线D2关于分割线作对称,使两段曲线处于同一侧,D1 与 D2 所围区域分别为A1、A2。接着作出它们的平均边界,此时,平均边界所围的面积可以表示为

                               
登录/注册后可看大图

其中,S(·) 表示面积,

                               
登录/注册后可看大图
表示两段曲线所围的重叠区域,因此平均边界所围面积为原面积的一半。但曲线D1、D2并不能对称重合,所以平均边界的长度小于周长的一半,按照等周定理的对偶定理,显然矛盾。因此原图形平分后的两段曲线必须在对称后重合,从而曲线所围成面积最大的图形是圆。


                               
登录/注册后可看大图

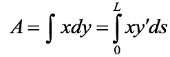
斯坦纳等一众数学家的努力让大众相信,脱离了代数与分析的数学仍旧是强大的武器,但我们同时又会如此真切地感受到几何与方程碰撞产生的奇妙结果。因为下文会用到面积公式,不妨先用几何的方法来推导一下。

三角形的面积谁都会算,但换一种思路,运用几何直观便可得到另一种表达方式。首先引入三角形的外接矩形,之后按照填补色块的思路简单推导就得到的另一种形式的面积公式。若将三角形顶点置于平面坐标系的第一象限中,逆时针方向赋予顶点坐标,则三角形面积为 A=(x1y2-x2y1)/2。


                               
登录/注册后可看大图

对多边形可以进行类似的推广,若将n边形置于第一象限,以逆时针方向看各顶点坐标为 (0, 0),(x1, y1), ..., (xn-1, yn-1),则该 n 边形的面积为

                               
登录/注册后可看大图

将其转化为积分的形式就是:


                               
登录/注册后可看大图

每每提到计算平面图形的面积,总会条件反射似的想到格林公式(Green Formula),而几何的方式又给我们提供了另一种理解方式。值得一提的是,斯坦纳的证明皆是基于解的存在性假设,这一点使他的证明并不严谨,甚至有同行用歌剧中狄朵的最后一句话来调侃他:“铭记我,但啊,忘了我的命运吧。”(Remember me, but ah! Forget my fate.)如此看来,几何方法还需要与其他数学知识相结合才能更好地发挥其效用,因此在十九世纪与其他数学学派的竞争中,以斯坦纳为首的坚持纯几何方法的学派明显处于了劣势。

后斯坦纳时代
此后,存在性的问题一直无人能解,直到1879年魏尔斯特拉斯在一次讲座中证明了解的存在性,从而使等周问题拥有了第一个严谨的证明。完整地证明解的存在性是非常困难的,连魏尔斯特拉斯自己都感慨:“这个问题实在是太难了,以至于它被认为几乎不能被完成。”因此本文对此就不进行深入的介绍了。

在证明了解的存在性的后斯坦纳时代,数学家们对等周问题的研究似乎多了些底气,下面介绍了两种不同的证明方法,我们不妨体会一下不同风格的证明之美。

01

                               
登录/注册后可看大图
变分法证明


                               
登录/注册后可看大图

Jakob Bernoulli (1654-1705) 和 Johann Bernoulli (1667-1748)


变分法最先由约翰·伯努利(Johann Bernoulli)于1696年提出,起初是为了解决物理中的最速降线问题,雅克布·伯努利(Jakob Bernoulli)知道后也开始潜心研究,这个问题同时也吸引了欧拉、牛顿等数学家的注意,在一众数学家的共同努力下,变分法的研究不断取得突破。值得一提的是这伯努利两兄弟的关系,哥哥雅各布一生匆匆五十载,而其中的三十年都用在了和弟弟进行学术争论上,在我们后人看来,正是他们对科学不断的探讨争执,才促进了科学的发展与进步。

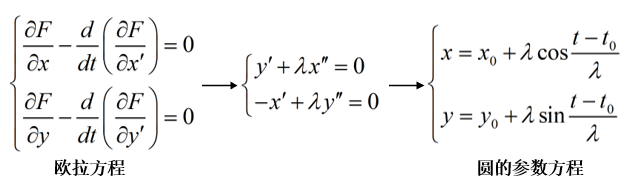
等周问题非常简洁,所给的条件只有定长这一个,若把面积最大理解为求极值,那么用变分法处理就显得非常自然。变分法的核心思想是找到一个函数y(t),求得与之相关的泛函

                               
登录/注册后可看大图
的极值。

在解决等周问题时,我们就需要找到曲线t→(x(t), y(t)),在给定周长

                               
登录/注册后可看大图
的条件下,使面积

                               
登录/注册后可看大图
最大化,运用拉格朗日乘子法(Lagrange Multiplier Method)构造函数:

                               
登录/注册后可看大图

并求出

                               
登录/注册后可看大图
的极值。

变分法的关键是欧拉方程(Euler Equation),即通过使一阶导为零求得极值点,分别化简 x 与 x’ 的欧拉方程求得最终解,这显然是圆参数方程的一种形式。


                               
登录/注册后可看大图

02

                               
登录/注册后可看大图
投影法证明

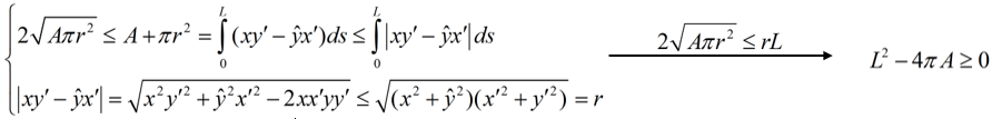
施密特( Erhard Schmidt)的投影法证明方法的独特之处在于,运用投影的方法将不规则图形与圆周相联系,具体做法是将简单闭曲线α所围成的区域夹在两平行直线之间,在两直线间作一半径为r的圆周β,以圆心为原点,y轴与直线平行建立平面直角坐标系,令

                               
登录/注册后可看大图

                               
登录/注册后可看大图
,这样就可以计算它们各自的面积。其中,s为曲线α的弧长参数,A为曲线α围成的面积。

                               
登录/注册后可看大图

                               
登录/注册后可看大图



                               
登录/注册后可看大图
将原曲线投影到圆周上

将两者面积相加,运用柯西不等式进行放缩,在计算过程中需要注意一个隐含条件,因为对原曲线作了弧长参数化处理,则有弧长参数x'2+y'2=1,计算时可进行化简,最终求得等周不等式,当等号成立时 A= πr2,L=2πr,因此原曲线围成的就是一个圆。


                               
登录/注册后可看大图

说了这么多,等周定理到底有什么用呢?利用最短的线围出最大的面积是其在日常生活中最为常见的应用。等周定理不像莫比乌斯环、哥尼斯堡七桥问题、四色问题等这么为人熟知,但它在推动学术研究上具有重要价值,例如该定理可用来进行特征值估计,解决流体机械中的流化作用相关的问题等。感兴趣的小伙伴可以进行更深入的研究。

回顾等周定理的各种证明,数学家和文学家的思维一样敏锐而自由,同样的事物在他们眼中会变成不同的风景,不同的方法让我们可以从不同的角度去理解同一个事实,这往往引导出数学上不同的发展。

王国维在《人间词话》中将词分为有我之境与无我之境,借用丘成桐先生的观点,数学研究当然也有境界的概念,在某种程度上也可谈有我之境、无我之境。等周问题生发于现实中的买地问题,由生活引导,可谓无我之境;但随后数学家们不懈的证明推动理论的发展,可谓有我之境矣。

参考文献
[1]https://math.berkeley.edu/~hutching/pub/bubbles.html.
[2]https://v.qq.com/x/page/j0915p3fxyh.html.
[3]Viktor Blasjo. The Evolution of The Isoperimetric Problem. The Mathematical Association of  America. 2005.
[4]K. Weierstrass. Mathematische Werke. Mayer and Muller. Berlin. Vol.7. 1927.
[5]沈一兵. 整体微分几何初步. 高等教育出版社. 2009.

来源:返朴



大道至简 万物于弧
*滑动验证:
您需要登录后才可以回帖 登录 | 立即注册

本版积分规则

手机版|Archiver|小黑屋|国际弧学研究会    

GMT-7, 2026-1-24 11:28 , Processed in 0.557856 second(s), 22 queries .

Powered by Discuz! X3.1

© 2001-2013 Comsenz Inc.

快速回复 返回顶部 返回列表