设为首页收藏本站

弧论坛

 找回密码
 立即注册
搜索
热搜: 活动 交友 discuz
查看: 4084|回复: 0
打印 上一主题 下一主题

陶哲轩向这一猜想发起挑战

[复制链接]

5923

主题

6632

帖子

7192

积分

坛主

Rank: 10Rank: 10Rank: 10

积分
7192
跳转到指定楼层
楼主
发表于 2019-10-1 21:23 | 只看该作者 回帖奖励 |倒序浏览 |阅读模式
陶哲轩向这一猜想发起挑战

哲学园
[color=rgba(0, 0, 0, 0.298)]Today
[color=rgba(0, 0, 0, 0.298)]


1.

在刚刚过去的9月,我们离解决一个已存在了82年之久的数学谜题又近了一步。带来这次突破的是著名数学家陶哲轩(Terence Tao)。虽然这是一个让人喜闻乐见的进展,但是许多数学家,包括陶哲轩在内,都认为要真正完全解开这个谜题,还有很长一段路要走。

陶哲轩是我们这个时代最伟大的数学家之一。21岁时,他就在普林斯顿大学获得了博士学位;24岁的他便成为了加州大学洛杉矶分校最年轻的数学教授。2006年,31岁的他获得了数学领域的最高奖——菲尔兹奖

除了在学术上的闪耀成就之外,陶哲轩的另一个值得称道之处还在于他非常愿意与公众分享数学世界中的奇思妙想。他的个人博客就像是现代版的达芬奇笔记本,你可以在那里看到他对几乎高等数学中的所有课题的探讨。

这次,他为数学中的一个重大的难题——考拉兹猜想带来了进展,这个猜想是德国数学家洛塔尔·考拉兹(Lothar Collatz)于1937年提出的。

2.


                               
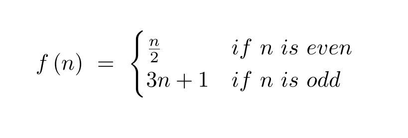
登录/注册后可看大图
要介绍考拉兹猜想,让我们先来认识一下上图中所示的函数f(n):n为任意自然数,它的规则是当n为偶数时,函数值为n的一半;当n为奇数时,函数值比n的三倍多1。取任意自然数,一遍又一遍地代入这个函数中,循环往复,最终就会得到1。   

例如取 n = 10,因为10是偶数,所以按照规则要除以2,得到5;5是奇数,所以5乘以3再加1得到16;现在16是偶数,它的1/2等于8;8再减半得到4;4再减半得到2,最后2的一半变成了1。

考拉兹猜想说的就是,以任何自然数开始代入这个方程,都将不可避免地最终以1结尾。

目前,这个猜想已经验证了10²⁰以内的数字,但从数学的角度上看,即使计算机能对100、1000位的数字进行验证,也无法证明这一猜想对所有的自然数都成立。

3.

这一猜想属于数学学科中的动力系统领域,或者说是一种研究以半可预测式的方式随时间变化的情况。这看起来是一个简单的、无伤大雅的问题,而这正是它的特别之处。为什么这样一个基本的问题如此难回答?它是我们理解的基准,一旦我们解决了这个问题,我们就可以着手处理更加复杂的问题。

动力系统的研究可能会变得比今天任何人所能想象到的更加稳健。但前提是,我们需要让考拉兹猜想得到解决,才能促使这个课题的蓬勃发展。

陶哲轩最近的研究就以某种微妙的方式让考拉兹猜想几乎得到了解决。9月10日,他在博客上发表了一篇标题为《几乎所有的考拉兹序列都得到了几乎有界值》的文章。考拉兹序列就是在上面的例子中所看到的那一系列将数字代入公式中的步骤,比如10的考拉茨序列是(10、5、16、8、4、2、1、4、2、1、…),由于4的一半是2,2的一半是1,而3×1+1=4,所以考拉兹序列最后会一直在4、2、1上循环。

在陶哲轩的陈述中,他强调了“几乎”一词,这也是阻拦在完全求解之前的最后一道障碍。这个词语在不同的数学语境中有不同的含义。在这里,与这个“几乎”相关的专业术语是对数密度,它描述了如果真的存在考拉兹猜想的反例的话,反例的罕见程度会是多少。   

这样的反例的确有可能存在,但当沿着数轴越往大的数字延伸时,它们的频率就会趋近于0。但数学的最终目标是要证明这样的反例根本不存在。虽然陶哲轩的研究结果表明,考拉兹猜想的反例是极其罕见的,但它仍有别于“完全不存在”。

4.

新的突破让我们知道,这样的反例比之前知道的还要少。那么问题中未被解决的还剩下多少?我们离一个完整的证明是否只差一步之遥?陶哲轩给出的答案是,还差得很远。

在博文的评论中,陶哲轩表示新的方法或许能给我们一个非常接近的解,但仅利用这种方法就完全解开这个问题的可能性非常渺茫。因此接下来,数学家们虽然可以利用陶哲轩的最新方法来处理其他的一些问题。但目前看来,或许还需要花上几十年的时间,以及发展出全新的技巧,才能完全证明考拉兹猜想。

参考来源:
https://terrytao.wordpress.com
/


大道至简 万物于弧
*滑动验证:
您需要登录后才可以回帖 登录 | 立即注册

本版积分规则

手机版|Archiver|小黑屋|国际弧学研究会    

GMT-7, 2026-1-24 17:42 , Processed in 0.613152 second(s), 22 queries .

Powered by Discuz! X3.1

© 2001-2013 Comsenz Inc.

快速回复 返回顶部 返回列表