设为首页收藏本站

弧论坛

 找回密码
 立即注册
搜索
热搜: 活动 交友 discuz
查看: 4223|回复: 0
打印 上一主题 下一主题

六个改变历史进程的物理方程

[复制链接]

5917

主题

6625

帖子

7185

积分

坛主

Rank: 10Rank: 10Rank: 10

积分
7185
跳转到指定楼层
楼主
发表于 2017-7-6 09:41 | 只看该作者 回帖奖励 |倒序浏览 |阅读模式
六个改变历史进程的物理方程

2017-06-13
Cathal O'Connell
原理


物理方程就好比是魔法一般,它们不仅能够解释过去,让我们知道为什么哈雷彗星每76年造访一次地球;也能够预测未来,告诉我们宇宙的终极命运。

它们给“可能性”加上“极限”,如“效率”之于发动机;它们揭示那些我们永远无法想像的可能性,如原子内的能量。

在过去几个世纪里出现过许多简洁又强大的公式,不断地改变着历史的进程。今天我们就来看几个最关键的。

1. 牛顿第二定律(1687)

                               
登录/注册后可看大图
它说什么?
力等于质量乘以加速度。

换种说法 ...
推动一个空的购物车比一个满的购物车更容易。

它教给我们什么?
它与牛顿的另外两大运动定律奠定了经典力学的基础。

物理学家和工程师通过F = ma计算力的值。你的体重(以牛顿为单位)是你的质量(千克)乘以地球重力加速度(约9.8米/秒的平方)。因此在物理上,如果你说你的“体重”60公斤是不对的,你的实际体重应该是约600牛顿。这是当你称量自己时对秤施与的力的大小。

它实用吗?
这个方程对机械时代的到来至关重要,几乎任何会引起运动的力的计算,都需要用到它。

它告诉你发动机需要多大的力量来为汽车提供动力,飞机起飞需要多少升力,火箭升空需要多大的推力,等等等等。

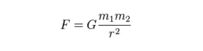
2. 牛顿万有引力定律(1687)

                               
登录/注册后可看大图
它说什么?
任何两个有质量物体在空间上相互吸引,但这种吸引力会随着距离的增加而迅速下降。

换种说法 ...
我们被“困”在地球表面上是因为地球质量比我们大太多太多。

它教给我们什么?
在牛顿之前的时代,宇宙被分为两个领域——地球和天空。而牛顿的引力定律适用于一切:让苹果从树上掉下来的力同时也是让月球绕地球公转的力。它让日常生活中发生在地球上的事第一次与天体运动产生联系。

它实用吗
长久以来,它的主要用途是计算行星的轨道。 在20世纪五六十年代的空间时代里,它开始在实践中运用,比如用于发射卫星到近地轨道,还有送宇航员到月球

唯一的缺憾,也是牛顿自己承认的一个失败之处在于那时他无法得知“为什么”会有引力。直到近230多年后爱因斯坦提出广义相对论后才解释了这个问题:引力是由大质量物体将周围时空扭曲而产生

即便如此,广义相对论仅在较极端情况下使用,比如引力非常强、或者精准度要求很高时,如GPS卫星。在大多数情况下,牛顿的这个有着330年历史的方程式已经足够好用。

3. 热力学第二定律(1824)

                               
登录/注册后可看大图
它说什么?
熵(一种无序的度量)永远在增加。

换种说法 ...
无需对溢出到桌面的咖啡伤神,无序和混乱是宇宙中是不可避免的本质。

它教给我们什么?
在19世纪,当法国物理学家萨迪•卡诺试图分析蒸汽机的效率时,偶然发现了科学史上最深刻的方程之一。它告诉我们一些过程是不可逆的,甚至可以从它开始思考时间的方向问题。它的最简单的表述之一是,热量总是从温度高的物体传到温度低的物体

它也可以被应用到更广阔的尺度,有人用它来描述宇宙的最终命运——“热寂",即所有的恒星都燃烧殆尽,除了热量什么都不剩。还有人已经用它来回溯时间,描述宇宙的起源——在大爆炸的瞬间熵为0的时刻。

它实用吗?
它对于工业革命的技术发展至关重要,从蒸汽机到内燃机,从制冷技术到化学工程。在现实里的发动机中,总有一些能量会被浪费,因此这条定律也表明,永动机是不可能实现的

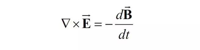
4. 麦克斯韦 - 法拉第方程(1831和1865)

                               
登录/注册后可看大图
它说什么?
一个变化的磁场(右)可以产生一个变化的电场(左),反之亦然。

换种说法 ...
电与磁是近亲啊!

它教给我们什么?
1831年,迈克尔·法拉第意识到一个变化的磁场会在附近的一根电线中引起电流时,发现了电和磁之间的联系。

后来,詹姆斯·克拉克·麦克斯韦将法拉第观察到的现象用巧妙的数学公式概括为他四个基本的电磁方程之一。

它实用吗?
这是一个照亮全世界的方程式。大多数发电机(无论是在风力发电机,燃煤电厂还是水力发电大坝)的运转都通过转换机械能来转动磁铁;反向运行这个过程,就能得到电动机。

即便到现在,麦克斯韦方程也被用在电气工程、通信技术和光学的几乎所有应用中。

5. 爱因斯坦的质能方程(1905年)

                               
登录/注册后可看大图
它说什么?
能量等于质量乘以光速的平方。

换种说法 ...
质量是一种超浓缩形式的能量。

它教给我们什么?
由于公式中的常数(光速的平方)是非常大的一个数字,因此通过转化微末的质量就能释放巨大的能量。

它实用吗?
这个爱因斯坦最著名的公式暗示了核裂变时(即一个不稳定的原子核裂变为两个小原子核)所能释放的巨大能量的潜力。这是因为两个较小的原子核的质量总是小于最初的大的原子核质量,而缺失的质量则转化为能量。

1945年8月9日在日本长崎扔置的“胖子”原子弹只将一克质量转换成能量,但爆炸威力相当于两万吨的TNT。爱因斯坦曾在推动原子弹研发时写给美国总统罗斯福的信上署名,在后来被他认为是他生命中的“一个巨大的错误”。

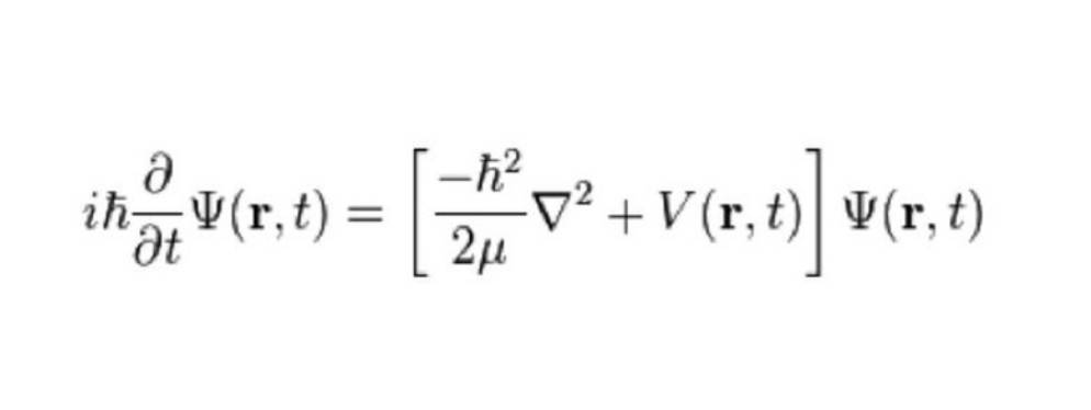
6. 薛定谔波动方程(1925)

                               
登录/注册后可看大图
它说什么?
它描述了如何从一个粒子的动能(运动)及其势能(所经历的相互作用)中,计算出该粒子的波函数(像烛台形状符号Psi)的变化。

换种说法 ...
这是F = ma的量子版本。

它教给我们什么?
薛定谔在1925年提出这个方程式,让物理学家能够计算出量子粒子是如何运动和相互作用的,这也将量子力学的新理论置于坚实的基础之上。

方程使用了波的数学表达。因为亚原子粒子是波动的,它们之间的相互作用可被描述为波的干涉。

它实用吗?
在其最简单的形式之一中,它描述了原子的结构,例如围绕核的电子排列,以及所有的化学键。

它被更普遍地用于量子力学中的许多计算中,同时也是激光、晶体管、以及未来的量子计算机等许多现代技术发展的基础。



以上的六个公式哪个给你带来最大的震撼?

译:糖兽

原文链接:
https://cosmosmagazine.com/physics/six-physics-equations-changed-course-history

大道至简 万物于弧
*滑动验证:
您需要登录后才可以回帖 登录 | 立即注册

本版积分规则

手机版|Archiver|小黑屋|国际弧学研究会    

GMT-7, 2025-10-18 01:57 , Processed in 1.329994 second(s), 22 queries .

Powered by Discuz! X3.1

© 2001-2013 Comsenz Inc.

快速回复 返回顶部 返回列表