设为首页收藏本站

弧论坛

 找回密码
 立即注册
搜索
热搜: 活动 交友 discuz
查看: 3994|回复: 0
打印 上一主题 下一主题

用一个公式,就可以描述宇宙万物?

[复制链接]

5917

主题

6625

帖子

7185

积分

坛主

Rank: 10Rank: 10Rank: 10

积分
7185
跳转到指定楼层
楼主
发表于 2017-7-6 09:30 | 只看该作者 回帖奖励 |倒序浏览 |阅读模式
用一个公式,就可以描述宇宙万物?

2017-06-29
正恩
中科院物理所



我想知道上帝是如何创造这个世界的。我对这个或那个现象,这个或那个元素的能谱不感兴趣。我要知道的是他的思想。其他都是细节。
——爱因斯坦

如果你问一位物理学家能否写下一个公式,它能包含所有已知的物理定律,那么你所能获得的最简洁的答案是下面这个公式:


                               
登录/注册后可看大图
△ 建议点开放大查看。

简单来说,这个公式预言了所有我们在科学上做过的每一个实验的结果。它精确地描述了宇宙中的万物,每一个原子、光子和分子都服从这个公式。

当我第一次见到这个公式时,第一反应是:“居然真的有这么一个公式!!!” 但很快我就受到了莫大的鼓舞,能够将所有已知的物理定律都写在一个公式中,这是多么美妙的一件事。

在公式的标注中,可以看到一些耳熟能详的大物理学家,比如薛定谔、费恩曼、爱因斯坦、牛顿、狄拉克等等。可以说,这个公式是真正的智慧的结晶。

想要理解公式中每个符号所代表的意义,至少要经过多年的物理专业训练。如果你的目标是成为理论物理学家,那么你的第一个任务就是搞懂这个公式。下面我将尝试简单的解释每一项的意思。

公式左边:

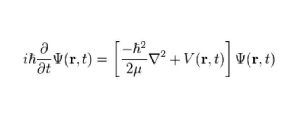
公式左边的 Ψ 代表的是薛定谔的波函数。它的值代表了宇宙的每一个可能状态,但它不是一个普通的数字,而是一个复数,包含了神秘的虚数 i(=√-1)。 我们都知道复数在数学上非常有用,但其实复数也是量子理论能够运作的核心。(详见:《一个纯想象的世界》

                               
登录/注册后可看大图
△ 薛定谔方程,详见:《量子力学的核心——薛定谔方程》

当我们想要测量一个系统的特征时,比如一个球的位置或者一个电子的自旋,就会得到一系列可能的结果。根据量子理论,我们就可以将波函数 Ψ 转换为每个可能结果的概率。通常,如果我们尝试预测一个较大物体的行为,其大概率会倾向于一个结果。举个例子,如果你扔出一个球,量子理论几乎可以确定它的下落轨迹。但是如果扔出的是一个非常非常小的粒子,它的位置就会变得越来越不确定。在量子理论中,只有大量的粒子聚在一起作为整体的行为才是高度可预测的。

公式右边:

右边有两个像是被拉长了腰的S符号“∫”,被称为积分,它将所有的东西都结合在一起。大的积分符号被称为“历史求和”,是由理查德·费恩曼提出来的。它告诉我们的是对于某个特定状态,我们需要考虑导致这一状态的所有的可能的历史,并把每个历史的贡献加起来。举个简单的例子,如果一个粒子从A点出发,我们想知道它在稍后的某个时间会出现在B点的可能性,我们则必须考虑从A到B的所有可能的路径。或许它是以固定的速度直线到达B点,又或许它从A先跳到月球上,再回到B点。每一个可能的路径都对最终的波函数 Ψ 有贡献。


                               
登录/注册后可看大图
△ 从A点到B点的三种可能路径。(图片来源:Wikipedia)

那么,一次历史的贡献究竟有多大?这就由大积分符号右边的每一项给出。首先出现的是字母 e,这是由大数学家欧拉在18世纪引入的。它最神奇的地方在于,如果 e 的指数是虚数(比如2i),结果会得到一个复数,并且它的实部和虚部的平方和等于1。在量子力学中,这个事实保证了所有可能的历史的总和加起来为1。

公式中,e的指数则是所有已知物理定律的结合,被称为作用量(action)。作用量的计算是从小的积分符号开始。小积代表着要把括号中的六项在所有空间、以及在薛定谔波函数的计算之前的所有时间中的各种可能值都加起来。作用量是一个实数,跟每个可能的历史相关。

现在我们来探索下作用量中的六项分别代表了什么。

第一项是由爱因斯坦提出来的,代表了引力。如果我们能够求得其中的 R,就能计算出苹果从树上掉下来的速度,得知行星绕着太阳的运动轨迹是椭圆的,预言两个黑洞合并成一个黑洞时会辐射出引力波,甚至是预测整个宇宙是如何膨胀的。所有这些只需要求解公式中的这一小部分。其中,万有引力常数G是由牛顿引进的。


                               
登录/注册后可看大图
△ 时空告诉物质如何移动;物质告诉时空如何弯曲。(图片来源:Time Research Centre)

自然界中存在着四种基本力,除引力外,还有三种是电磁力强核力弱核力。而看起来非常简洁的第二项,则描述了后三种基本力。例如,它解释了所有电磁相关的现象,从库伦、法拉第、赫兹到现代激光发展的所有实验都可以被解释。此外,它还解释了为什么原子核会紧紧的束缚在一起,所有的放射性现象,以及化学元素是如何在恒星中诞生的。字母 F 代表了,类似于麦克斯韦引进的用来描述电磁力的电磁场。强核力和弱核力则是用杨振宁和米尔斯在1950年代发展的麦克斯韦理论的一般化来描述的。到了1960年代,格拉肖、温伯格和萨拉姆将电磁力和弱核力优美地统一起来,形成了“电弱”理论。1970年代早期,胡夫特和维特曼证明了量子杨-米尔斯理论的数学一致性。很快格罗斯、波利策和维尔切克就证明了强核力也可以用某种杨-米尔斯理论来描述。(所以才会常有人说杨振宁的杨-米尔斯理论,为物理学做出的贡献甚至高于获诺奖的宇称不守恒定律。)


                               
登录/注册后可看大图
△ 物理学家的目标是将四种基本力统一在一起。(图片来源:Symmetry Magazine)

第三项,是由狄拉克在1928年提出的。在思考如何将相对论和量子力学结合时,他发现了可以描述基本粒子的方程,被称为狄拉克方程。狄拉克方程描述了所有已知的物质粒子,比如电子、夸克、中微子的行为都遵循该方程。同时,狄拉克方程也预言了反粒子的存在。1932年,安德森探测到了电子的反粒子——正电子,证实了狄拉克的预言。粒子和反粒子都是狄拉克场中的量子,用小写字母 ψ 表示。作用量中的狄拉克项也告诉了我们这些粒子是如何通过强核力、电弱力和引力相互作用的。

第四项是由日本物理学家汤川秀树首先发现的,后由他的同胞小林诚和益川敏英完成了后续的发展。你会看到该项将狄拉克场(ψ)希格斯场(φ)联系在一起。它描述了所有物质粒子是如何获得它们的质量的,并漂亮的解释了为什么反粒子不是它们对应的物质粒子的完美镜像图像。

最后两项描述了希格斯场 φ,它是电弱理论的核心。在1960年代早期,物理学家发现了一个非常重要的机制,被称为希格斯机制,它描述了基本粒子获得质量的过程。


                               
登录/注册后可看大图
△ 希格斯机制:1. 一群物理学家聚在一个鸡尾酒派对中,他们安静的谈话着,就好比空间充满了希格斯场。2. 在某个时刻,爱因斯坦突然走进了派对之中,当他穿过人群的时候造成了小骚动,他的仰慕者纷纷向他靠拢。在走进房间之前,爱因斯坦可以自由的移动。3. 但是当他走进一个满是物理学家的派对时,他的移动速度变慢了,仰慕者使他难以行动。换句话说,他获得了质量。这就好比是无质量的粒子通过跟希格斯场作用而获得质量。4. 如果有一个谣言在人群中传播开来,同样造成了聚拢,但这次是物理学家自己。在这个类比中,聚拢的物理学家就是希格斯粒子。(图片来源:CERN)

希格斯机制是格拉肖、温伯格和萨拉姆理论的核心,他们认为电弱的希格斯场将麦克斯韦的电磁力从弱核力中分离开,并固定了物质粒子的基本质量和电荷。

公式的最后一项是希格斯势能 V(φ),它确保了希格斯场φ在真空空间中的任何一个地方都是一个固定的常数值。正是这个值决定了基本粒子的质量。最后,希格斯势能的值也在测定真空能量中起到重要作用这个真空能量也已被宇宙学家测量到。

这就是我们所知道的一切,从微观世界到可观测的宇宙,这个公式都适用。但它也代表了目前我们知识的极限,而我们想要做的更好。在作用量中,有25个自由参数隐藏在麦克斯韦-杨-米尔斯、狄拉克、小林-益川和希格斯的部分中;引力也并未与其它的三种基本力统一在一起;而暗物质和暗能量的神秘面纱也未被揭开。物理学家希望最后能够将这六项联合在一起,找到一个更加简约的公式,解释目前所遇到的所有困境,实现统一的梦想。

最后,我们通过下面的短视频,感受一下这个公式的魅力:

▶ 扩展阅读:《六个改变历史进程的物理方程》《当我们谈论物理时,我们谈些什么》

参考来源:
[1]https://www.youtube.com/watch?v=f1x9lgX8GaE
[2]Neil Turok, the universe within: from quantum to cosmos.
[3]https://vimeo.com/117804640
大道至简 万物于弧
*滑动验证:
您需要登录后才可以回帖 登录 | 立即注册

本版积分规则

手机版|Archiver|小黑屋|国际弧学研究会    

GMT-7, 2025-10-18 01:57 , Processed in 1.547793 second(s), 22 queries .

Powered by Discuz! X3.1

© 2001-2013 Comsenz Inc.

快速回复 返回顶部 返回列表