设为首页收藏本站

弧论坛

 找回密码
 立即注册
搜索
热搜: 活动 交友 discuz
查看: 4348|回复: 0
打印 上一主题 下一主题

为什么说狭义相对论是近代物理学的一大支柱

[复制链接]

5917

主题

6625

帖子

7185

积分

坛主

Rank: 10Rank: 10Rank: 10

积分
7185
跳转到指定楼层
楼主
发表于 2017-7-16 01:53 | 只看该作者 回帖奖励 |倒序浏览 |阅读模式
为什么说狭义相对论是近代物理学的一大支柱

2017-07-14
张元仲
中科院物理所
撰文 张元仲(中国科学院理论物理研究所研究员)


                               
登录/注册后可看大图

                               
登录/注册后可看大图
图为本文作者中国科学院理论物理研究所张元仲研究员


                               
登录/注册后可看大图
中科院理论物理所

1 背景

早在1970年,我们在文献中就看到物理学界公认的评论:“狭义相对论和量子力学是近代物理学的两大支柱”;最近署名DHBD219的于2012年5月5日上传网络的“第15章 狭义相对论力学基础”第3张片子也展示了这个说法。(图1为网络截图,下载地址是:http://wenku.baidu.com/link?url=wGmEmuuPlIB-jaCrYUBwDIDQTeG lWGZAVVu1X8R0JOPzP3iZVm4vHgKIoDimvW NQI8u0xNgdhp31AZ_65U_8Z-kqp1Nun3as5D 5oGMms00q)



                               
登录/注册后可看大图

图1 PPT(来源:网络截图)

需要注意的是,早年有的文献为了省事而把其中的“狭义”二字省略了,在其他的物理学名称中也略去了“狭义”二字,例如相对论力学、相对论量子力学等,其中的“相对论”都是指“狭义相对论”。爱因斯坦在1916年发表的《广义相对论基础》[1] 中 特意作了说明:“下面要论述的理论,是对现今通常所说的‘相对论’所做的可能想象得到的最为详尽的推广。为了便于区别起见,以后我称上述‘相对论’为‘狭义相对论’,并且假定已为大家所知道。”


现在无法考证前些年是哪些专家或博士生把“相对论是近代物理学的一大支柱”中的“相对论”当成了“广义相对论”!于是在高校和研究院所的个别博士毕业论文中出现了完全错误的评论:“广义相对论是现代物理理论的支柱”;这种错误的评论近年来也出现在一些专家教授的基金项目建议书和申请书中。为了避免这类错误继续误人子弟,下面说明作为近代物理学的一大支柱为什么是“狭义相对论”而不是“广义相对论”。


2 狭义相对论的两条基本原理(或说假设)


(1) 狭义相对性原理:一切物理定律在所有惯性系中均有效。

(2) 光速不变原理:光在真空中总是以不变速度c 传播且与光源的运动状态无关。

下面对这两条基本原理作必要的说明。


3 洛伦兹变换


狭义相对论适用的惯性系K(x,y,z,t)中的三维欧式空间坐标(x,y,z)是笛卡尔坐标(与伽利略变换中的空间坐标没有区别);但是,时间坐标t的定义与经典力学的完全不同,这里的时间坐标是用光速不变原理定义的:空间各地都放有一只标准时钟来测量当地的时间,但是只有把各地的时钟互相对准(即定义同时性)之后才能互相比较时间次序。这时各地时钟指示的时间才是K系的坐标时间t;时钟对准的过程如下:


K系中空间的任意位置P(x,y,z) 到坐标原点O的距离是


                               
登录/注册后可看大图
,假设在初始时刻从原点OP发射一个光信号,这个光信号到达P所花费的时间是

t=r/c

(1)

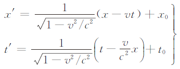
P点的时钟接收到这个信号时把自己的时间调到式(1)给出的数值,这就把空间各地的时钟与坐标原点的时钟对准了(也就是互相对准了);所以式(1)的左边就是K系中的时间坐标。

K′系中的时间坐标 t′ 的定义完全类似:

t′=r′/c

(2)

其中


                               
登录/注册后可看大图
K′系中的 P′(x′,y′,z′)点到坐标原点O′的距离。式(1)和(2)就是(单向)光速不变原理的数学表达式(通常写成平方的形式)。

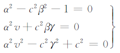
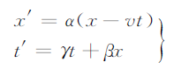
惯性系是由惯性定律定义的:一个不受力的质点在惯性系看来它要么相对静止要么匀速直线运动。由相对性原理知道,在K系作匀速直线运动的质点在K′系也是匀速直线运动。设K系和K′系具有特殊的初始状态:K′系相对于K系沿其x的正向以不变速度v运动,且在初始时刻两系相互重合。要使在K系作匀速直线运动的质点在K′系看来也是匀速直线运动,那么这两个惯性系之间的坐标变换(最简单的形式)是如下的线性变换(为了简单略去垂直方向的坐标变换y′=y,z′=z):



                               
登录/注册后可看大图
  
(3)

其中,3个常数α,β,γ要由光速不变原理的方程式(1)和(2)确定:为此,式(3)代入式(2)的平方形式后使其变成式(1)的平方形式就得到这3个常数的3个代数方程,即


                               
登录/注册后可看大图

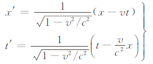
从中解出它们后便得到通常的洛伦兹变换:


                               
登录/注册后可看大图

(4)

这个变换称为齐次洛伦兹变换。如果K系和K′系在初始时刻不重合而是有相对位移,那么齐次洛伦兹变换式(4)就变成非齐次洛伦兹变换(或说彭加勒变换):


                               
登录/注册后可看大图

(5)

其中略去了


                               
登录/注册后可看大图
;4个常数的时空坐标

                               
登录/注册后可看大图
代表时空平移(彭加勒时空平移)。


现在说明,如果保持相对性原理不变,而更换单向光速不变假设,情况将会如何。例如:


(1) 用双程光速不变(单程光速可变)的假设代替单向光速不变假设,由此定义的坐标时间也就不同于式(1)和式(2),而且连同相对性原理导出的坐标变换就不是洛伦兹变换而是爱德瓦兹变换[2]。相应的理论称为回路光速不变的狭义相对论。

(2) 用瞬时信号(即传播速度为无穷大)的假设代替单向光速不变假设,这样定义的时间坐标就是伽利略时间坐标,连同相对性原理导出的就是伽利略变换;也就是在洛伦兹变换中取c等于无穷大的情况。


上面的分析显示,3种不同的同时性定义连同相对性原理会导出3种不同的坐标变换,所以说狭义相对论的(单向)光速不变原理与相对性原理是互相独立的基本假设。


4 狭义相对论是近代物理理论的一大支柱


有了上面的洛伦兹变换(4)和式(5)后就可以把狭义相对性原理具体表述为:一切物理定律的方程式在洛伦兹变换下保持形式不变(或者说协变性)。


近代物理理论就是用(狭义)相对性原理的这种表述构造出来的。构造的方法通常是作用量方法,即使用物理系统的动力学变量构造出在洛伦兹变换下不变的作用量,然后取该作用量对动力学变量的变分等于零(最小作用量原理)即得到该物理系统的动力学方程(欧拉-拉格朗日方程),这样得到的方程在洛伦兹变换下保持形式不变(即满足狭义相对性原理的要求)。例如,平直时空的宏观理论有:(狭义)相对论力学、运动介质的(狭义)相对论电磁学等;微观理论有:(狭义)相对论量子力学、(狭义)相对论性的量子电动力学、(狭义)相对论性的粒子物理理论等。所有这些(宏观的和微观的)理论其动力学方程式都在洛伦兹变换下保持形式不变(即满足狭义相对性原理的要求);而且,这些物理系统的作用量在非齐次洛伦兹变换下的不变性给出守恒定律(齐次洛伦兹不变性给出角动量守恒定律;时间坐标的平移不变性给出能量守恒定律;空间坐标的平移不变性给出动量守恒定律)。所以说狭义相对论是所有这些近代物理理论的一大支柱(也就是说没有狭义相对论就没有这些近代物理理论。当然,量子力学是微观物理理论的另一大支柱)。


1905年狭义相对论诞生之后,牛顿引力定律也必须推广成洛伦兹变换下的协变形式;但是在平直时空中无法做到这一点,为此爱因斯坦于1915年建立了弯曲时空的引力理论即广义相对论。


广义相对论也有两个基本假设:(1)广义相对性原理(或说广义协变原理);(2)爱因斯坦等效原理(或说强等效原理)。强等效原理可以表述为[3]:在弯曲时空的每一个时空点附近(局部)都可以建立一个局部惯性系,在其中进行非引力的物理实验得到的物理定律都是狭义相对论的形式(也就是说这些物理定律在洛伦兹变换下保持不变,例如宏观电磁学实验给出的就是电动力学,微观电磁学实验给出的就是量子电动力学;机械力学实验给出的就是狭义相对论力学,等等)。所以说,狭义相对论也是广义相对论的支柱(在弯曲时空的局部满足狭义相对性原理)。广义相对论也就是(局部)狭义相对论性的引力理论,它只是描写引力相互作用的理论,跟电磁理论、弱作用理论、强作用理论等属于同一层次,不可能谁是谁的支柱(或基础)。只有狭义相对论才是所有4种基本相互作用(引力、电磁力、弱力、强力)的近代物理理论的支柱。因此,“广义相对论是现代物理理论的支柱”这种说法是物理概念的混乱。


参考文献

[1]爱因斯坦.广义相对论基础,德国《物理学记事》第4系列[M].1916,49:769-822.

(中译文参见上海人民出版社1973年出版的《爱因斯坦论著选编》第36页)

[2]Edwards W F.  Special relativity in anisotropic space[J]. Am.J.Phys.,1963(31): 482.

(或参见张元仲.狭义相对论实验基础,第1.2节.北京:科学出版社,1979)

[3]温伯格.引力论和宇宙论(广义相对论的原理和应用)[M].北京:科学出版社,1980:75-76.


本文摘自:张元仲. 为什么说狭义相对论是近代物理学的一大支柱[J]. 物理与工程,2017,27(2):3-5.
本文是《物理与工程》2017年第2期特约稿件。



大道至简 万物于弧
*滑动验证:
您需要登录后才可以回帖 登录 | 立即注册

本版积分规则

手机版|Archiver|小黑屋|国际弧学研究会    

GMT-7, 2025-10-18 10:03 , Processed in 0.506476 second(s), 22 queries .

Powered by Discuz! X3.1

© 2001-2013 Comsenz Inc.

快速回复 返回顶部 返回列表