设为首页收藏本站

弧论坛

 找回密码
 立即注册
搜索
热搜: 活动 交友 discuz
查看: 5494|回复: 0
打印 上一主题 下一主题

简洁又美丽的标准模型方程

[复制链接]

5917

主题

6625

帖子

7185

积分

坛主

Rank: 10Rank: 10Rank: 10

积分
7185
跳转到指定楼层
楼主
发表于 2017-7-9 08:15 | 只看该作者 回帖奖励 |倒序浏览 |阅读模式
简洁又美丽的标准模型方程

Original
2016-08-01
Rashmi
原理

我记得最清楚的是,当我提出一个自认为能使人信服而又合理的建议时,爱因斯坦一点也不表示反对,而只是说,“啊,多么丑!”当他遇到一个他认为丑的方程时,他只是对它不感兴趣,并且不能理解为什么有些人愿意花费那么多时间在它上面。他完全确信,在理论物理学中找一个重要结果时,美是一个指导原则。
——邦迪(H. Bondi)

理论物理“传统”的美往往体现在其方程之上。如果我们想描述某事/某物,或者某事/某物的行为,我们就可以写下一个我们认为它们会遵守的方程来描述其行为。

举个简单的例子,给定一个球的质量、高度、角度以及它被扔出去的力度,物理方程就能精确地告诉你球在空气中的路径,它会在空中持续多久,它能飞出去多久以及在什么地点落地。只要一些简单的信息,物理就可以描述整个系统。

但是,你要如何描述球本身呢?我们可以说它是红色的,但这究竟是什么意思?想要描述颜色你就必须考虑从球上反射的光。你可以说球是由塑料制成的,但是你需要描述分子,以及构成它们的原子,接着要知道构成原子的亚原子,等等......

理论物理学家所追求的是用一个“万有理论”或“大统一理论”来描述万物,但是目前为止,这样的一个理论并不能囊括引力。

                               
登录/注册后可看大图

电磁力、强核力和弱核力。(© Physics.info)


除了引力外,粒子物理学的标准模型就是用来描述宇宙中的万物,包括已知的所有粒子,以及这些粒子如何通过其它三种力(电磁力、强核力和弱核力)相互作用。

所以,在多数情况下,当我们提起物理学中的标准模型时,脑中总是浮现出如下表格:


                               
登录/注册后可看大图
它跟元素周期表类似,描述了粒子的性质,比如质量、电荷和自旋。图中我们可以看到,基本粒子被分为两类:费米子和玻色子。费米子中又分为夸克和轻子。所有构成人体的物质只需要包含三个费米子:两个夸克和一个电子。


                               
登录/注册后可看大图

粒子物理学的标准模型中的所有基本粒子:夸克、轻子、反夸克、反轻子和玻色子。(© E. Siegel)


但标准模型并不是由一张表格开始的。这个几乎描述了万物的宏伟理论其实是由好几个数学模型集合而成的,它们描述了物理学的基本定律,并获得了巨大的成功。

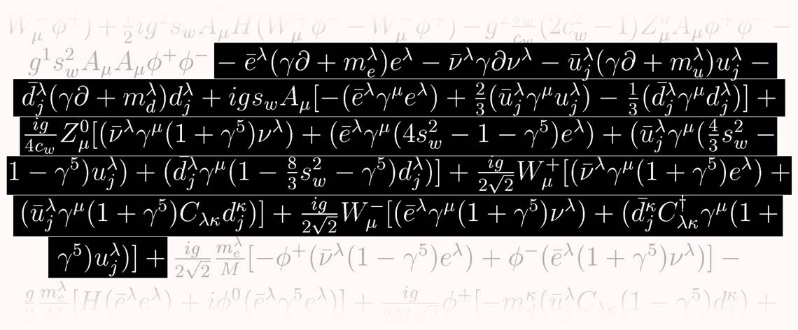
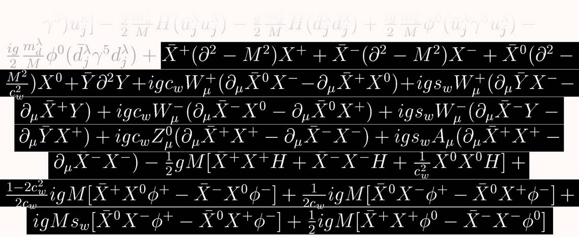
现在我准备展示给你们的就是这个描述万物的方程。方程以拉格朗日量呈现,简单来说,一旦知道了一个系统的拉格朗日量,基本上你就可以知道一个系统所需要知道的一切。

理论物理学家总是说标准模型的方程美丽、优雅又简洁,并且呈现了我们期待在自然界见到的许多对称性。现在我们就来看一下标准模型方程的拉格朗日量:


                               
登录/注册后可看大图

标准模型的拉格朗日量(© T.D.Gutierrez)

看完该方程后,告诉我你现在内心的真实想法是什么?

除了方程的长相外,就像我们可以通过几个简单的信息就能计算出球在空中的路径,标准模型方程通过一些参数就可以确保粒子的动力学跟我们在真实世界中看到的一致。

现在把这个方程大卸五块,分别认识一下。(如果想要理解每个符号的含义,则需要在物理专业上研修好几年。)

1.
这个部分是用来描述标准模型中的胶子,也就是传递强核力的玻色子。胶子共有八种,并且具有“色荷”的性质,因此它们之间可以相互作用。


                               
登录/注册后可看大图

2.
大概一半的方程是用来解释玻色子之间的相互作用的,特别是W和Z玻色子。

玻色子帮助其它粒子“交流”,这种交流我们称之为力。三种基本相互作用力中有四种玻色子分别跟其它粒子作用。当两个电子相互排斥时,它们交换光子,这种交换我们称为电磁力。因为光子是没有质量的,所以他们的传播距离可以很长。除了电磁力,还有其它的玻色子用来传递其它的力,无质量的胶子传递强核力,以及重W和Z玻色子传递弱核力。前几年刚发现的上帝粒子——希格斯玻色子,有点不同;它的相互作用会出现在方程的下一部分。值得一提的是,W玻色子带有电荷,因此它们可以跟光子相互交流。


                               
登录/注册后可看大图

3.
这个部分的方程描述了基本物质粒子与弱核力之间是如何作用的。根据该公式,物质粒子共分为三代,每一代都有不同的质量。弱核力帮助那些质量较大的粒子衰变为质量较小的粒子。

这部分也包括了与希格斯场的基本作用,也就是一些基本粒子获得质量的来源。

有趣的是,这部分方程的其中一个假设与物理学家近年的发现相悖。它错误的假设中微子是没有质量的。而我们在实验中已经探测到中微子具有微末的质量。


                               
登录/注册后可看大图

4.
在量子力学中,粒子的运动路径并不是单一的,也就是说有时候在这一类型的数学方程中会出现“冗余”。为了消除这些冗余,理论学家经常利用虚粒子,他们称之为鬼粒子(或鬼场)。

这个部分的方程描述了物质粒子如何与希格斯鬼粒子(希格斯场的虚拟实体)作用。


                               
登录/注册后可看大图

5.
方程的最后一部分包括了更多的鬼粒子,它们叫做法捷耶夫-波波夫鬼粒子,用来抵消发生在弱核力的相互作用时的冗余。


                               
登录/注册后可看大图


【注】Thomas Gutierrez是从诺贝尔得住Martinus Veltman的《Diagrammatica》一书中推导出这个方程的。他花了将近四个小时的时间才用Latex打写了整个方程。但是他后来发现这个方程中有一处符号错误,不过相信你也不会愿意去找。

                               
登录/注册后可看大图
大道至简 万物于弧
*滑动验证:
您需要登录后才可以回帖 登录 | 立即注册

本版积分规则

手机版|Archiver|小黑屋|国际弧学研究会    

GMT-7, 2025-10-18 10:03 , Processed in 0.561667 second(s), 22 queries .

Powered by Discuz! X3.1

© 2001-2013 Comsenz Inc.

快速回复 返回顶部 返回列表