设为首页收藏本站

弧论坛

 找回密码
 立即注册
搜索
热搜: 活动 交友 discuz
查看: 3836|回复: 0
打印 上一主题 下一主题

进展 | 海森堡模型能谱的新认识

[复制链接]

5917

主题

6625

帖子

7185

积分

坛主

Rank: 10Rank: 10Rank: 10

积分
7185
跳转到指定楼层
楼主
发表于 2018-1-29 23:41 | 只看该作者 回帖奖励 |倒序浏览 |阅读模式
进展 | 海森堡模型能谱的新认识

2018-01-30
T03
中科院物理所


动力学性质的准确计算,是凝聚态物理学量子多体问题中的难题。

所谓动力学性质,主要是指谱学行为,如关联电子系统中的准粒子(quasiparticle) 能谱,如量子磁学系统中的自旋波磁振子(magnon)能谱。这类能量、动量依赖的谱函数,可以告诉人们量子多体系统的本质信息,而且与现代凝聚态物理学的实验手段直接相关。比如角分辨光电子谱测量的就是固体材料的电子结构(即准粒子能谱),而中子散射测量的,就是量子磁学材料中的自旋波磁振子能谱。从准粒子谱中,可以看到费米面的形状和费米面上准粒子权重的分布。从自旋波磁振子谱中可以看到材料的自旋排布,更可以看到自旋波磁振子的色散关系。再比如目前人们正在寻找的量子自旋液体材料中的连续谱和连续谱背后所蕴涵的分数化自旋子 (spinon) 元激发,这些谱学行为是寻找与确定拓扑序这种超越朗道对称性破缺框架的物质形态的直接证据。

谱学的结果如此重要。但是,对于凝聚态量子多体问题的动力学性质的严格计算,从理论上讲却相当困难。量子多体问题的动力学性质牵扯到多体系统的时间演化问题,对于具有指数多自由度的强关联系统,其静态可观测量,如能量、序参量还有种种关联函数已经很难准确计算;而动力学性质的计算,即准确计算相互作用的、指数多的自由度随着时间的演化,并没有普适的、可靠的方法。在个别问题上,我们有严格可解模型,但主要集中在一维量子系统。对于二维或者更高维的量子多体系统,解析的方法只能提供微扰论意义下的近似,比如量子磁学系统中的自旋波理论和它的高阶修正。真正严格的计算,还是需要发展数值计算方法。到目前为止,许多看似基本的问题,比如反铁磁海森堡模型的自旋激发谱,人们还没有得到全局性的认识。现在领域的前沿就是逐步做到准确计算量子多体系统基本模型的动力学性质,然后和实验结果进行比对,验证计算结果是否正确。

中国科学院物理研究所/北京凝聚态物理国家研究中心理论室已毕业博士生秦彦齐(导师方忠研究员、孟子杨副研究员)、副研究员孟子杨,与北京计算科学研究中心邵慧博士、Stefano Chesi 副研究员,法国图卢兹大学 Sylvain Capponi 教授,美国波士顿大学 Anders Sandvik 教授组成的研究团队,在计算量子多体问题动力学性质方面,进行了有益的尝试 [1]。他们将一套结合量子蒙特卡洛 (quantum Monte Carlo, QMC) 和随机解析延拓 (Stochastic analytic continuation, SAC) 的计算方法应用到二维方格子反铁磁海森堡模型的动力学行为研究之中,得到了海森堡模型,这个量子磁学系统的最基本模型的完整能谱。如图1、图2 所示,他们的结果既可以与最近Cu(DCOO)2.4D2O 材料中子散射的实验结果 [2] 进行对比,更揭示了海森堡模型的高能自旋能谱中蕴涵着分数化自旋子激发的痕迹,从而建立了海森堡模型与去禁闭量子临界行为的深层联系。这个发现说明,去禁闭量子临界行为和其伴随的分数化自旋子激发,其实在磁学系统的基本模型中也存在,它们是超越朗道对称性破缺的语言,是对于一大类量子相和量子相变问题更加完整的描述。他们的研究成果发表在最近一期的 Phys. Rev. X 上 [1]。


                               
登录/注册后可看大图
图 1. (上)二维方格子反铁磁海森堡模型与尼耳态。(中)Cu(DCOO)2.4D2O 材料的中子散射实验结果 [2],这个系统很好地实现了二维反铁磁海森堡模型,其自旋激发谱与(下)中的量子蒙特卡洛+随机解析延拓 (QMC+SAC) 结果 [1] 吻合;而且,在中子散射实验(中)和量子蒙特卡洛理论计算(下)里,系统的自旋激发谱在动量 (π,0) 附近都有连续谱出现。

如图1所示,系统的基态具有反铁磁长程序,自旋波磁振子在动量点 (π, π) 没有能隙,对应着海森堡模型中自旋对称性的自发破缺,而且磁振子在 (π,π) 的能谱,基本上就是一个 δ - 函数,90% 以上的谱权重都在这个 δ - 函数里。这个结果,与 Cu(DCOO)2.4D2O 材料的中子散射实验结果以及线性自旋波的解析计算,都是吻合的。然而,更有意思的是,实验和 QMC+SAC 的计算结果都发现,在动量点 (π, 0) 附近磁振子的位置,即第一激发态的能隙,明显小于线性自旋波的计算结果,如图2 (上)所示。而且,在自旋波磁振子的 δ - 函数之上,存在着相当宽的连续谱,这里的谱权重分布和 (π, π) 点的情况相反,连续谱占据了近 60%的谱权重,而 δ - 函数只有40%。这样的现象是自旋波理论不能解释的。


                               
登录/注册后可看大图
图 2. (上)量子蒙特卡洛+随机解析延拓(QMC+SAC)计算出的磁振子色散关系与Cu(DCOO)2.4D2O 材料中子散射实验结果的对比,吻合近乎完美。同时线性自旋波的计算结果 (Linear SWT),对于反铁磁长程序的描述,在(π, π) 点附近没有问题,但是在 (π, 0) 点附近失效。这是因为自旋波的计算中,无法考虑分数化的自旋子激发。(下)随机解析延拓(QMC+SAC)计算出的能谱与Cu(DCOO)2.4D2O 材料中子散射实验结果的在(π,0) 和 (π/2, π/2) 点的细节对比。可以看到在 (π, 0) 点除了 δ -函数之外,高能连续谱占有相当大的谱权重;而在 (π/2, π/2) 点,谱权重都集中在 δ -函数里。

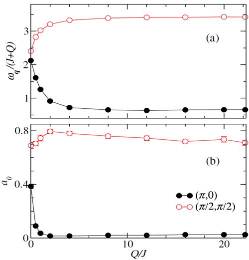
为了更好的理解 (π,0) 附近的连续谱,他们将海森堡模型和具有去禁闭量子临界点的 J-Q 的模型的动力学计算结果,做了认真地对比。如图3(左)所示, 在J-Q 模型中,随着 Q/J 的增大,系统从反铁磁长程序的基态逐渐逼近去禁闭量子临界点,这里可以很清楚地看到,在 (π,0) 点上的磁振子谱权重,随着 Q/J 的增大急速地消失,表明即使在反铁磁长程序中,(π,0) 点 S=1磁振子,也在不断地分数化成 S=1/2 的自旋子。 QMC+SAC 的计算很好地揭示了这个奇异的过程:在海森堡模型中,做为去禁闭量子临界点的先兆,整数自旋 (S=1) 的磁振子在 (π,0) 处分数化成了近乎去禁闭状态的半整数自旋 (S=1/2) 的自旋子,自旋子之间具有相互作用,自旋子和磁振子之间也有相互作用,这些相互作用使得能谱偏离线性自旋波,使得磁振子分数化。显而易见的是,分数化、去禁闭、超越朗道对称性破缺框架的凝聚态物理学相变理论新范式,其实就蕴藏在人们熟悉的基本模型之中,只是之前没有如 QMC+SAC这样得力的工具,无法得到准确的能谱。


                               
登录/注册后可看大图
图3. QMC+SAC计算出的自旋波能谱在 (π,0) 和 (π/2, π/2) 点的行为。(a) 为磁振子谱峰的位置,(b) 为磁振子的谱权重。可见随着 Q/J 的增大(系统越来越靠近去禁闭量子临界点),(π,0) 点的磁振子谱权重急速消失,系统的低能激发从整数自旋 (S=1) 的磁振子变成分数自旋 (S=1/2) 的自旋子。(π/2, π/2) 点则没有这样的变化。

如上所述,量子多体问题的动力学性质的严格计算,是十分困难的问题,但是尴尬的是,动力学性质恰恰可以被现代凝聚态物理学实验手段直接观测。所以,理论和实验之间的差距变成了阻碍领域继续向前发展的鸿沟。同时,凝聚态物理学中的新现象、新问题,如相互作用的拓扑物质形态、超越朗道对称性破缺框架的物质分类理论、去禁闭量子临界点、量子自旋液体中的涌现规范场、巡游电子量子相变和非费米液体行为,......,正在不断的出现,与之伴随的凝聚态物理学新范式正呼之欲出。对于这些现象的动力学性质的计算,即可以解释不断积累的实验现象,又可以推动理论的进一步发展,其重要性自不待言。该团队在这项工作中使用和发展的 QMC + SAC 方法,能够在一些强关联模型中得到准确的能谱,应用前景十分广阔,比如在量子自旋冰模型中,人们讨论了很多年的规范场光子的激发谱,已经被 QMC+SAC 看到 [3]。其他应用,正在逐步展开。

这项工作得到了来自科技部重点研发计划2016YFA0300502,自然科学基金委 11421092、 11574359、11574025、U1530401、11674370, 中科院先导培育项目 XDPB08-3,国家博士后基金2016M600034、2017T100031,以及美国国家自然科学基金DMR-1410126、DMR-1710170 和Simons Foundation的支持。量子蒙特卡洛模拟所需的大规模的并行计算在中科院物理所量子模拟科学中心和天津国家超算中心天河1号平台上完成,计算过程中得到了天津国家超算中心孟祥飞博士、赵洋工程师等人的有力配合,在此一并感谢。

参考文献:
[1] Nearly deconfined spinon excitations in the square-lattice spin-1/2 Heisenberg antiferromagnet,
Hui Shao, Yan Qi Qin, Sylvain Capponi, Stefano Chesi, Zi Yang Meng, Anders W. Sandvik,
Phys. Rev. X 7, 041072 (2017)
[2] Fractional excitations in the square-lattice quantum antiferromagnet,
B. Dalla, M. Mourigal, N. B. Christensen, G. J. Nilsen, P. Tregenna-Piggott, T. G. Perring, M. Enderle, D. F. McMorrow, D. A. Ivanov, H. M. Rønnow,
Nature Physics 11, 62–68 (2015)
[3] Dynamics of topological excitations in a model quantum spin ice,
Chun-Jiong Huang, Youjin Deng, Yuan Wan, Zi Yang Meng,
arXiv:1707.00099

编辑:loulou

大道至简 万物于弧
*滑动验证:
您需要登录后才可以回帖 登录 | 立即注册

本版积分规则

手机版|Archiver|小黑屋|国际弧学研究会    

GMT-7, 2025-10-18 18:14 , Processed in 0.498334 second(s), 23 queries .

Powered by Discuz! X3.1

© 2001-2013 Comsenz Inc.

快速回复 返回顶部 返回列表