设为首页收藏本站

弧论坛

 找回密码
 立即注册
搜索
热搜: 活动 交友 discuz
查看: 3450|回复: 0
打印 上一主题 下一主题

进展 | 基于磁性绝缘体的磁子阀效应

[复制链接]

5917

主题

6625

帖子

7185

积分

坛主

Rank: 10Rank: 10Rank: 10

积分
7185
跳转到指定楼层
楼主
发表于 2018-3-21 21:32 | 只看该作者 回帖奖励 |倒序浏览 |阅读模式
进展 | 基于磁性绝缘体的磁子阀效应

2018-03-22
M02组
中科院物理所

面向后摩尔时代的信息存储与逻辑运算需求,自旋电子器件在开发下一代具有更小单元尺寸、非易失性、低功耗和高速度的微电子器件中提供了具有广阔前景的发展方向。其中,自旋阀是各类自旋电子器件的核心单元,自旋阀通常包括两层铁磁金属和非磁中间层构成的三明治核心结构,由于自旋极化电子在两铁磁层间的输运,从而使器件的电阻受到两铁磁层相对取向的调制。基于自旋阀结构的室温巨磁电阻(GMR, 1988年)和室温隧穿磁电阻(TMR, 1995年)器件,已经广泛应用于磁性硬盘、磁性随机存储器和磁性传感器等高密度信息存储与传感器件中,法国A. Fert和德国P. Grünberg两位科学家也因为巨磁电阻(GMR)效应的发现获得了2007年诺贝尔物理学奖。

自旋波是磁性系统中自旋进动过程的集体激发态,其量子化的准粒子称为磁子,每一个磁子携带一个普朗克常量的自旋角动量。与传统金属中的自旋极化传导电子相比,基于自旋波的磁子具有以下的优点:(1) 磁子的传递具有无热耗散和低阻尼的特点,在长距离的自旋信息传播中具有显著的优势;(2) 磁子的波动属性同时具备了振幅和相位两个特性,可以突破传统的冯·诺依曼体系的逻辑和计算架构,有可能成为后摩尔时代信息传输和处理的重要方式之一;(3) 基于磁子的超流、超导、玻色-爱因斯坦凝聚和约瑟夫森等宏观量子效应也成为凝聚态物理的研究热点。在传统的磁子自旋电子学的研究中,微波是最常用的激发和检测的方式。但是,微波器件的尺寸很难实现小型化,因此,要将磁子自旋器件应用到半导体大规模集成电路中,迫切需要发展基于电学方法的磁子自旋激发、调控与探测手段。

2012至2016年,中国科学院物理研究所/北京凝聚态物理国家研究中心磁学国家重点实验室M02课题组韩秀峰研究员领导的研究团队,利用磁控溅射技术结合高温热处理工艺经过一系列样品的制备和优化,克服了以往YIG只能在单晶GGG衬底上制备的限制,在Si-SiO2衬底上设计和制备出了Pt/YIG/Pt的重金属/磁性绝缘体/重金属¬(HM/MI/HM)层状异质结构,并且首次在该结构中观测到了由亚利桑那大学张曙丰教授团队通过理论预测的磁子拖拽效应,即由于YIG中磁子的激发与传输,一侧Pt层中的电荷/自旋流可以在另一侧Pt层中拖拽出相反的电荷/自旋流。该工作证实了磁性绝缘体可以作为磁子自旋的传输通道[Hao Wu and X. F. Han et al., Phys. Rev. B 93 (2016) 060403(R)]。

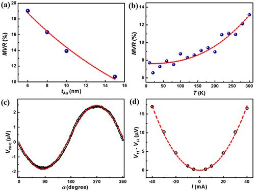
最近,韩秀峰研究团队又创新性地采用YIG磁性绝缘体作为磁性电极、Au作为中间层、在GGG衬底上异质外延制备了高质量的YIG/Au/YIG这种新型的磁性绝缘体/金属/磁性绝缘体(MI/NM/MI)--磁子阀结构,并且在该结构中首次观测和发现了磁子阀效应(Magnon Valve Effect),即通过两层磁性绝缘层的相对磁化方向取向可以调控磁子流的大小。首先,他们通过精细调控两层YIG的晶体结构来产生不同的矫顽力,从而实现反平行的相对磁化取向;采用局域电流加热的方式产生温度梯度,通过纵向自旋塞贝克效应激发YIG中的磁子流,通过磁子阀的磁子流可以通过Pt中的逆自旋霍尔效应来实现电学的测量;进而发现了其中的磁子阀效应,即两层YIG的相对取向可以控制通过该磁子阀的磁子流大小,其中室温下平形态和反平行态的相对磁子阀比值(Magnon Valve Ratio, MVR)可以达到19 %;并且揭示了磁子阀比值的大小主要取决于磁性绝缘体/金属界面的磁子-电子自旋的转换效率,该转换效率的温度依赖关系与理论计算的结果相一致;通过磁子阀比值与Au厚度的依赖关系的拟合,得出Au的自旋扩散长度为15.1 nm,与自旋泵浦方法获得的结果相一致[Hao Wu and X. F. Han et al., Phys. Rev. Lett. 120 (2018) 097205, DOI: https://doi.org/10.1103/PhysRevLett.120.097205, Editors’ suggestion & Featured in Physics]。

该项研究工作制备出的这种YIG/Au/YIG、即新型磁性绝缘体/中间层/磁性绝缘体(MI/NM/MI)磁子阀结构,其本身即是自旋信息传递和逻辑运算的一种基本磁子型核心单元器件,也是未来研发基于磁子流的电路、逻辑、存储、二极管、晶体管、波导和开关等各类磁子型器件的材料与物理基础。它表明以磁性绝缘体中磁子做为自旋信息载体的一类新型自旋电子学核心器件具有重要的应用前景,其材料、物理和器件上的突破将有可能加快低能耗、可重写、非易失和高频率的新型计算机系列核心器件的诞生。并且这种磁子阀结构,能够与现有的大规模集成电路工艺进行匹配,有助于未来磁子器件、自旋电子器件与半导体微电子器件的综合集成与广泛利用。

该项工作的相关研究进展发表在 Phys. Rev. Lett., 并且作为Editors’ Suggestion和Featured in Physics 做为亮点文章(highlighted article)在PRL网站首页重点推荐。美国物理学会的《物理》期刊也做了同步亮点评价:认为此类基于纯自旋流的磁子晶体管(磁子阀)可以导致一类新型磁子流电路及器件的诞生,会比传统电子器件及电路更快和更高效[Physics 11 (2018) 23]。该项研究得到了国家自然科学基金委员会(项目基金号:11434014)、科技部(项目编号:2016YFA0300802, 2017YFA0206200)和中科院(项目编号:XDB07000000, QYZDJ-SSW-SLH016, 112111KYSB20170090)有关项目基金的支持。
  

                               
登录/注册后可看大图
图1. (a) 磁子阀结构、原理和测量示意图;(b)-(c) GGG/YIG和YIG/Au/YIG区域的透射电镜照片。


                               
登录/注册后可看大图
图2. (a)-(b) 磁子阀比值随中间Au层厚度和温度的依赖关系; (c)-(d) 探测端ISHE电压随YIG磁化方向和加热电流的依赖关系。
编辑:Aprilis


大道至简 万物于弧
*滑动验证:
您需要登录后才可以回帖 登录 | 立即注册

本版积分规则

手机版|Archiver|小黑屋|国际弧学研究会    

GMT-7, 2025-10-18 20:10 , Processed in 0.534779 second(s), 22 queries .

Powered by Discuz! X3.1

© 2001-2013 Comsenz Inc.

快速回复 返回顶部 返回列表