设为首页收藏本站

弧论坛

 找回密码
 立即注册
搜索
热搜: 活动 交友 discuz
查看: 3604|回复: 0
打印 上一主题 下一主题

进展 | 自旋三重态超导电流产生自旋转移力矩的实验证据

[复制链接]

5917

主题

6625

帖子

7185

积分

坛主

Rank: 10Rank: 10Rank: 10

积分
7185
跳转到指定楼层
楼主
发表于 2018-7-12 03:49 | 只看该作者 回帖奖励 |倒序浏览 |阅读模式
进展 | 自旋三重态超导电流产生自旋转移力矩的实验证据[color=rgba(0, 0, 0, 0.298)]

[color=rgba(0, 0, 0, 0.298)]M06
中科院物理所
[color=rgba(0, 0, 0, 0.298)]Yesterday

原文已发表在CPL Express Letters栏目
Received 21 June 2018; online 24 June 2018

自旋三重态超导电流产生自旋转移力矩的实验证据

超导体中的库珀对通常是由一对自旋相反总自旋为零(自旋单态)的电子组成。然而,在某些特殊情况下,超导-铁磁界面处可以产生自旋三重态的库珀对。由于自旋三重态的库珀对携带净余磁矩,它们在输运时会产生一个无能量耗散的自旋极化电流,将会极大地降低自旋电子学器件的能耗。同时,三重态的库珀对的另一特点是对铁磁体中的交换场不敏感,因而在铁磁体中具有极长的关联长度。研究如何产生、调控和利用自旋极化的三重态超导电流,形成了一个新的前沿方向 — 超导自旋电子学。在过去的十多年里,一些理论模型纷纷预言了如何在超导/铁磁异质结构中产生自旋三重态库珀对和超导电流。但是,相应的实验证据却很稀少。目前,仅有少量实验研究利用电输运性质的测量,在一些超导/铁磁异质结构中观察到反常的长程关联,间接推测可能存在三重态超导电流。然而,对自旋三重态超导电流的产生和利用还缺乏与磁性相关的更为直接的实验证据

近期,中国科学院物理研究所/北京凝聚态物理国家研究中心磁学国家重点实验室孙阳研究员和李来来博士与沙特国王科技大学赵月雷博士、张西祥教授合作,在超导自旋电子学领域取得了重要实验进展,发现在铁磁性超导约瑟夫森结中,超导电性可以极大地改变铁磁体中的磁化动力学行为,为自旋三重态超导电流的存在和利用提供了更为直接的实验证据

在自旋电子学中,一个著名的效应是自旋极化的电流产生自旋转移力矩(spin-transfer torque),该效应已被广泛用于自旋电子学器件中调控磁矩翻转和磁化动力学。如果能够在实验上观察到自旋极化的三重态超导电流产生自旋转移力矩,不仅将确认三重态超导电流的存在,而且将为超导自旋电子学的应用铺平道路

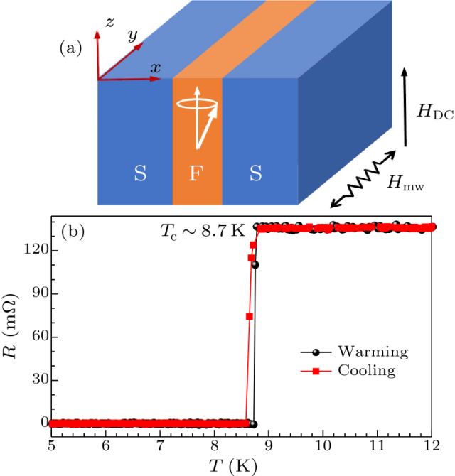
孙阳研究员与合作者利用低温谐振腔铁磁共振技术,研究了超导/铁磁/超导约瑟夫森结(Nb/Ni80Fe20/Nb)的磁化动力学行为随温度的变化。实验发现,在超导转变温度TC以上,铁磁共振场Hr几乎不随温度变化;进入超导转变温度TC以下,铁磁共振场Hr随温度降低迅速向低场移动,到4.2 K时,共振场移动可达到700 Oe。在固定频率下,铁磁共振场的移动表明,超导电性对铁磁体的磁化动力学产生了巨大影响

为了排除该效应可能来源于超导体的抗磁性(Meissner效应),他们做了一系列对比实验。首先,在超导/铁磁双层膜(Nb/Ni80Fe20)中,在超导转变温度TC以下,铁磁共振场Hr随温度降低几乎不发生移动。其次,当在超导/铁磁/超导约瑟夫森结中插入一层10 nm绝缘层(Nb/MgO/Ni80Fe20/Nb)时,TC以下铁磁共振场Hr也不再发生移动。此外,在超导/铁磁/超导/铁磁多层膜(Nb/Ni80Fe20/Nb/ Ni80Fe20)中,在TC以下出现两个铁磁共振峰,分别对应于两层铁磁层发生铁磁共振,其中一支随温度降低向低场移动,而另一支保持不动。这些对比实验表明:1.超导电性对磁化动力学的影响不是来自于Meissner效应;2.只有当铁磁体处于两层超导体之间形成约瑟夫森结时,超导电性才会对磁化动力学产生巨大影响;3.当约瑟夫森结中插入绝缘层不再导通时,该效应会消失,预示着该效应是与超导电流有关。由于自旋单态的正常超导电流不会对局域磁矩的动力学产生明显影响,因此,这一效应很可能来源于自旋三重态的超导电流产生的自旋转移力矩对磁化动力学的巨大影响

近年来,已有一些理论模型预测,在铁磁性约瑟夫森结中,当铁磁层的磁矩保持进动时,可以在铁磁/超导界面产生自旋三重态库珀对。孙阳研究员等人的实验结果可以定性地由这些理论模型来解释,详细的物理机制和定量的理解还有待于进一步深入研究。该工作首次观察到超导/铁磁异质结构中超导电性对磁化动力学的巨大影响和调控,为自旋三重态超导电流的存在和超导自旋电子学的发展提供了重要的实验依据


                               
登录/注册后可看大图
图1 (a)超导/铁磁/超导约瑟夫森结和铁磁共振示意图。(b)Nb/ Ni80Fe20/Nb约瑟夫森结中超导层Nb的电阻随温度变化曲线。


                               
登录/注册后可看大图
图2 (a)Nb(100 nm)/Ni80Fe20(20 nm)/Nb(100 nm)约瑟夫森结的铁磁共振谱。(b)铁磁共振场随温度的变化,在超导转变温度以下,共振场迅速朝低场移动。


                               
登录/注册后可看大图
图3 一系列对比实验。


                               
登录/注册后可看大图
图4 超导/铁磁/超导约瑟夫森结中三重态超导电流产生自旋转移力矩的唯像模型。

点击题目阅读全文
CPL| Express Letter
Cite:Chin. Phys. Lett.35077401 (2018)


大道至简 万物于弧
*滑动验证:
您需要登录后才可以回帖 登录 | 立即注册

本版积分规则

手机版|Archiver|小黑屋|国际弧学研究会    

GMT-7, 2025-10-19 03:43 , Processed in 0.550440 second(s), 22 queries .

Powered by Discuz! X3.1

© 2001-2013 Comsenz Inc.

快速回复 返回顶部 返回列表