设为首页收藏本站

弧论坛

 找回密码
 立即注册
搜索
热搜: 活动 交友 discuz
查看: 3585|回复: 0
打印 上一主题 下一主题

进展 | 以“静”止“动”:非晶合金玻璃转变机制研究进展

[复制链接]

5917

主题

6625

帖子

7185

积分

坛主

Rank: 10Rank: 10Rank: 10

积分
7185
跳转到指定楼层
楼主
发表于 2018-6-28 23:10 | 只看该作者 回帖奖励 |倒序浏览 |阅读模式
进展 | 以“静”止“动”:非晶合金玻璃转变机制研究进展[color=rgba(0, 0, 0, 0.298)]

[color=rgba(0, 0, 0, 0.298)]EX4
中科院物理所
[color=rgba(0, 0, 0, 0.298)]今天
[color=rgba(0, 0, 0, 0.298)]

非晶合金,又称金属玻璃,是由金属键主导的原子玻璃体系,它具有类似于硬球推积的微观结构,为探索非晶态材料的基本物理问题提供了有代表性的模型;非晶合金无序结构所带来的优异力学、物理和化学性能,使其在很多高新技术领域有广阔的应用前景。与其他玻璃的形成一样,非晶合金是通过快速冷却高温合金熔体,抑制结晶并在一定温度时发生玻璃转变 (Glass Transition) 而形成的。玻璃转变是与非晶合金的形成、微观结构与宏观物性等密切相关的物理过程,但其本质并不能通过传统的热力学相变理论描述,是当前凝聚态物理和材料科学所面临的巨大挑战之一。传统意义上的热力学相变一般都会对应结构序参量的明显变化,但合金熔体在快速冷却过程中其动力学急剧慢化(粘度和结构弛豫时间在几十度的温区内增加十几个量级),但通过各种衍射方法测得的微观结构特征变化却微乎其微。如何理解过冷液体动力学慢化及玻璃转变的微观结构起源,是非晶合金领域当前亟需解决的核心问题之一。近十多年来,发现随温度降低,其动力学行为变慢的同时也伴随着特殊局域几何结构特征(短程序)的演化,有人进而尝试建立合金熔体中短程几何结构序与慢动力学之间的关联,将其解释为慢化动力学的结构起源。

最近, 中国科学院物理研究所/北京凝聚态物理国家研究中心极端条件物理重点实验室汪卫华研究组博士生胡远超和北京计算科学研究中心管鹏飞研究员,香港城市大学杨勇教授及新加坡南洋理工大学博士后李艳伟合作,对此提出异议,发现受限状态下的非晶合金过冷液体中慢动力学与短程几何结构序(特征原子团簇)之间没有关联;构建了慢动力学与原子构型本征关联之间的耦合关系,并发现由该本征关联定义的静态关联长度无论是在受限还是在非受限体系中,可对慢动力学作普适描述,揭示了该静态关联长度在玻璃转变中的主导作用。

通过对受限和非受限非晶合金过冷液体的计算模拟研究发现,在受限过冷液体中,其结构弛豫随着受限程度的增加而变慢,进而实现动态玻璃转变,但其几何结构短程序的特征(如二十面体等团簇的含量)却基本保持不变(Fig. 1)。该结果揭示了在受限体系中,慢动力学和几何结构短程序之间并未表现出其在非受限体系中所呈现的关联性,表明几何结构短程序(如二十面体团簇等)并不能作为非晶合金体系中玻璃转变的微观结构起源。这一结论也引伸出关系到玻璃转变结构起源的核心问题:能否找到与微观结构相关的静态参量来统一地描述受限和非受限非晶合金过冷液体中的慢动力学?

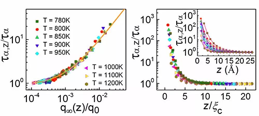
他们基于受限体系在结构弛豫过程中表现出的构型关联,研究了不同条件下构型之间相似度随时间的演化,发现了本征构型相似度与结构弛豫时间之间的耦合关系(Fig. 2);由该本征相似度出发,他们定义了静态关联长度:反映过冷液体中的无序亚稳状态(amorphous metastable states)的平均关联长度。研究发现该静态关联长度是控制受限体系中慢动力学的关键因素(Fig. 2)。根据有限尺度标度分析(finite-size scaling analysis),进一步发现该静态关联长度也控制着非受限非晶合金过冷液体的慢动力学(Fig. 3),说明定义的静态关联长度可以同时描述受限和非受限非晶合金过冷液体中的慢动力学, 表明控制非晶合金过冷液体慢动力学乃至玻璃转变的关键结构因素并不是几何结构短程序,而是反映构型间空间关联的静态关联长度。 此外,基于动力学非均匀性定义的关联长度与静态关联长度之间的差异表明过冷液体中的动力学非均匀性可能并不是其慢动力学的根源,而是伴随动力学变化的本质特征(Fig. 3)。该静态关联长度的相关性质可以从无序一级相变理论(random first-order transition theory)出发得到很好的解释,表明非晶合金玻璃转变也具有一定的热力学基础,并非是一个纯粹的动力学过程。该研究结果为更全面、深入地认识非晶合金的几何结构序、解玻璃转变的本质,以及建立玻璃转变的统一理论提供了全新的视角,对推动非晶合金的实验研究及产业发展具有一定的指导意义。该静态关联长度的提出为理解非晶合金玻璃转变结构相关的起源提供了一缕曙光,但是否存在控制慢动力学乃至玻璃转变的纯几何结构序参量仍然是值得深入研究的重要科学问题。目前在胶体和高分子体系中,人们已经可以通过实验手段来测量相应构型空间关联,而对金属玻璃体系,很难直接观测原子尺度上的动力学行为,因而新的实验表征技术和方法的开发是当前非晶合金研究的一个重要方向。

成果发表在2018年《美国国家科学院院刊》上‘Configuration correlation governs slow dynamics of supercooled metallic liquids’ 【Proceedings of the National Academy of Sciences of the United States of America(PNAS)2018】。该研究工作得到了国家自然科学基金委、科技委、中国科学院及北京计算科学研究中心的资助。



                               
登录/注册后可看大图
图 1 受限状态下过冷液体慢动力学特征与局域几何结构无关。


                               
登录/注册后可看大图
图 2 受限状态下金属玻璃过冷液体的慢动力学由构型关联得到的静态关联长度控制。


                               
登录/注册后可看大图
图 3 非受限状态下金属玻璃过冷液体的慢动力学与静态关联长度之间的有限尺度标度关系。

编辑:可乐不加冰


大道至简 万物于弧
*滑动验证:
您需要登录后才可以回帖 登录 | 立即注册

本版积分规则

手机版|Archiver|小黑屋|国际弧学研究会    

GMT-7, 2025-10-19 03:43 , Processed in 0.577294 second(s), 22 queries .

Powered by Discuz! X3.1

© 2001-2013 Comsenz Inc.

快速回复 返回顶部 返回列表