设为首页收藏本站

弧论坛

 找回密码
 立即注册
搜索
热搜: 活动 交友 discuz
查看: 3377|回复: 0
打印 上一主题 下一主题

他们解决了一个看似不可解的方程

[复制链接]

5917

主题

6625

帖子

7185

积分

坛主

Rank: 10Rank: 10Rank: 10

积分
7185
跳转到指定楼层
楼主
发表于 2018-8-9 04:45 | 只看该作者 回帖奖励 |倒序浏览 |阅读模式
他们解决了一个看似不可解的方程[color=rgba(0, 0, 0, 0.298)]

[color=rgba(0, 0, 0, 0.298)]原创: [color=rgba(0, 0, 0, 0.298)]Christina
原理
[color=rgba(0, 0, 0, 0.298)]Yesterday
[color=rgba(0, 0, 0, 0.298)]

经历了10年的钻研,明斯特大学数学研究所的Raimar Wulkenhaar教授,与牛津大学的Erik Panzer博士,解决了一个被认为是不可解的数学方程。这个方程是用来解答基本粒子物理学提出的问题的。在本文中,我们将跟随着Wulkenhaar教授,一同回顾在寻找解决方案的过程中遇到的挑战与惊喜。


                               
登录/注册后可看大图

○  一个看似不可解的方程。| 图片来源:WWU/Raimar Wulkenhaar

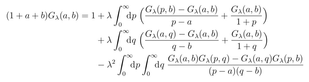
这是一个包含两个变量非线性积分方程。这样的等式非常复杂,很难相信会存在任何公式作为问题的解。单是两个变量本身就是一个挑战,更何况,数学家并没有明确的方法来寻找非线性积分方程的解。

然而,在过去的十年中,希望之光一次又一次闪现,最终Wulkenhaar与合作者排除万难,终于确信,找到问题的明确解决方法(通过已知的函数来表达)实际上是可能的。

方程表达的是对量子场论的数学理解,属于物理领域,可以应用于大尺度实验,例如CERN进行的粒子对撞实验中。目标是从数学上描述基本粒子。然而,问题非常复杂,以至于事情不得不反过来进行,也就是说,用实际粒子的确定属性来对构想的粒子进行数学描述。希望有一天,实际粒子可以利用通过这种方式确立的方法来描述。

在五月末,Wulkenhaar尝试了一个新的想法,这个想法决定性的灵感来自于他的博士生Alexander Hock。他解出了一个新的方程,比之前的方程更为简单,然后开始逐层求解。这意味着,一步一步,循环迭代,将上一步计算所得的方程的左边,在下一步代入方程的右边。

在第四层循环迭代时,需要计算46个积分的和,其中包含多重对数函数(polylogarithm)。这些多重对数函数在每一次循环中都变得更加复杂。幸运的是,在最终求和的时候,几乎所有的部分都抵消掉了,剩下的只是简短的普通对数函数的指数之和。他立刻意识到,这其中蕴藏着宝藏。


                               
登录/注册后可看大图
○  多重对数函数是一种特殊的幂级数,也可以表示为自身的积分,形成一种迭代的结构。在量子力学中,多重对数函数表现为费米-狄拉克分布与玻色-爱因斯坦分布的积分的封闭形式。图中显示的是复平面上几种不同的多重对数函数。| 图片来源:Wikipedia 。

第五层循环迭代求解起来不那么容易,但这次幸运仍然伴随着他。在法国阿尔卑斯山的一个暑期学校,Wulkenhaar有机会与研究这些方程的专家交谈,其中一位专家是牛津大学的Erik Panzer。他曾写过关于符号数学中的超对数(hyperlogarithm)的计算机程序,并且提供了支持。

一夜之间,程序就进行到了第七层循环。计算机程序验证了Wulkenhaar求解到第四层循环的结果,之后,奇迹继续进行,一切都被分解为普通的对数函数。一种模式出现了

或许你还记得学生时代学过的作为二项式系数的帕斯卡三角形(Pascal's Triangle)吧?在帕斯卡三角形中,每一个数字是它上面的两个数字之和。


                               
登录/注册后可看大图
○  帕斯卡三角形,又称杨辉三角形,常用来表述二项式系数。三角形中每一个数字是上面两个数字之和。| 图片来源:Wikipedia

Wulkenhaar在循环中发现的正是像这样的三角形结构,或许只是比帕斯卡三角形复杂一点。

在6月9日,第8、9两层循环完成了。然后,最重要的时刻到来了。Erik Panzer破解了一个所谓的递归公式,它能够从三角形的上一行产生下一行的数字,他们因而得以从已知推断未知。

这时,Wulkenhaar意识到,他们将会解决这个问题。他庆幸地说:“没有人会如此幸运”。

第二天,Wulkenhaar成功地将方程的一部分简化为一个简单的导数级数。最初,其余的问题看起来很困难。到了深夜的时候,他突然想到用柯西公式(Cauchy formula)来求解问题,这个尝试被证明是对的,接下来的一步,他使用了一个经常看到的公式。他意识到它可以用朗伯W函数(Lambert W function)来求解。


                               
登录/注册后可看大图
○  柯西积分公式是复分析的一个重要结论,以数学家柯西(Augustin-Louis Cauchy,1789-1857)的名字命名。柯西积分公式表明,任何一个闭合区域上的全纯函数,其区域内部的积分值完全取决于区域边界上的值。

几分钟后,Erik Panzer的邮件来了:他也想到了朗伯函数,不过是通过一条完全不同的路径。结果,他们解决了10年来看似不可解的问题——得到描述量子场论的积分方程的解。Wulkenhaar感叹:“这真是太不可思议了!”


                               
登录/注册后可看大图
○  朗伯W函数。

朗伯函数是以瑞士数学家约翰·海因里希·朗伯(Johann Heinrich Lambert,1728-1777)的名字命名。这个方程出现在很多不同的问题中,例如费米-狄拉克分布、玻色-爱因斯坦分布。因为对朗伯的基础性工作缺乏认识,历史上,朗伯函数被“发明”了一遍又一遍,直到1993年,才将朗伯函数确立为标准。


                               
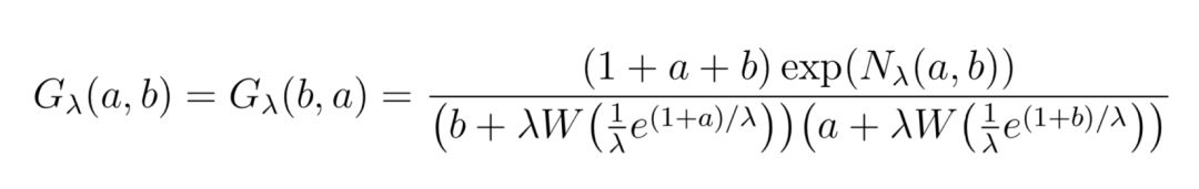
登录/注册后可看大图

○  方程的解,其中包含朗伯函数W与尼尔森函数N。 | 图片来源:WWU/Raimar Wulkenhaar

Wulkenhaar在求解过程中用到了很多18世纪发展的方法,它们几乎完全被遗忘在历史的尘埃里了。正是这些旧的公式帮助了他。

Wulkenhaar还用拉格朗日-布尔曼公式(Lagrange-Bürmann formula),和朗伯函数、柯西公式一起,解决了一个积分问题。总的来说,数学领域对于前人给予很大的尊重。欧拉、朗伯、拉格朗日、柯西、高斯、希尔伯特这些名字被铭记在公式中,表达着对于他们成就的最高认可。

然而,有两个现代工具帮了Wulkenhaar的大忙:维基百科与计算机。他可以通过维基百科检索到众所周知、抑或鲜为人知的关于数学结构与方程的信息。而计算机能够以手算无法比拟的速度求解方程,并且不犯任何错误。


                               
登录/注册后可看大图
○  尼尔森函数也是方程解的一部分。Raimar Wulkenhaar 和Erik Panzer 在他们的工作中定义了这个新的函数。| 图片来源:WWU/Raimar Wulkenhaar

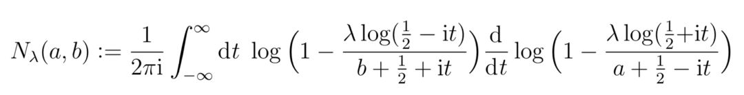
方程的解当中出现了一个新的函数,被命名为尼尔森函数(Nielsen function)。当一切都被理解得更好,比如说尼尔森函数与其他函数是如何联系起来的,他们将提交自己的研究成果。之后,Wulkenhaar将继续一项从2002年就开始研究的问题,这个问题也与量子场论有关。

撰文:Christina Heimken
原文链接:
https://phys.org/news/2018-08-mathematician-discusses-seemingly-unsolvable-equation.html


大道至简 万物于弧
*滑动验证:
您需要登录后才可以回帖 登录 | 立即注册

本版积分规则

手机版|Archiver|小黑屋|国际弧学研究会    

GMT-7, 2025-10-19 04:36 , Processed in 0.517217 second(s), 22 queries .

Powered by Discuz! X3.1

© 2001-2013 Comsenz Inc.

快速回复 返回顶部 返回列表