设为首页收藏本站

弧论坛

 找回密码
 立即注册
搜索
热搜: 活动 交友 discuz
查看: 3427|回复: 0
打印 上一主题 下一主题

数据异常or颠覆整个物理界?印度科学家发布室温超导重磅成果

[复制链接]

5917

主题

6625

帖子

7185

积分

坛主

Rank: 10Rank: 10Rank: 10

积分
7185
跳转到指定楼层
楼主
发表于 2018-8-18 14:32 | 只看该作者 回帖奖励 |倒序浏览 |阅读模式
数据异常or颠覆整个物理界?印度科学家发布室温超导重磅成果[color=rgba(0, 0, 0, 0.298)]

[color=rgba(0, 0, 0, 0.298)]原创: [color=rgba(0, 0, 0, 0.298)]梁柱
DeepTech深科技
[color=rgba(0, 0, 0, 0.298)]Yesterday


最近,印度科学界正处于一个非常时期:如果一篇新论文通过《Nature》的审核,那么印度将迎来其继拉曼效应后又一个世界重磅科学贡献。


7 月 23 日,论文预本网站 arXiv 上面出现了一篇论文,标题翻译过来是:《室温和常压下超导体存在的证据》,作者是印度科学院固体物理和结构化学系的 Anshu Pandey 教授和他的博士生 Dev Kumar。他们在论文中声称,在室温和常压下,一种由金和银构成的纳米复合材料显现出了超导的特性。

室温超导一直是学术界研究的热门话题,这个奇特的性质几度在科幻与现实之间摇摆,可望而不可及,很多物理学家愿意终其一生去寻找室温超导的答案。过去的几十年里不乏有关于“室温超导”的论文发出,每次都会引起学界不小的讨论。最后往往是讨论尘埃落定,大家铩羽而归。



                               
登录/注册后可看大图
图丨 Anshu Pandey(来源:印度科学院官网)


论文发出后,印度凝聚态领域的理论物理大牛们难掩兴奋,毕竟这可能为印度带来又一项诺贝尔物理学奖。上一个获奖的印度人是著名的物理学家钱德拉塞卡拉•拉曼,他因著名的拉曼效应使他成为 1930 年诺贝尔物理学奖得主。

理论物理学家 Vijay B. Shenoy 在一次报告会上说为这项实验背书:“这很超导,如果实验属实,这种神奇材料背后的原理肯定会是一种全新的超导理论。”


另一位印度超导研究的权威 T.V.Ramakrishnan 对媒体表示:“我认为,这个实验是真实的,很显然,电阻和磁化率的数据符合超导的要求,它们之间也吻合得很好。至于其背后的原理,当然是重要的,但也可以稍后做探索。至今人们为超导的原理还争论不休。”Shenoy 也补充到:“凝聚态领域几乎所有重要的理论都要晚于实验结果。”

然而鉴于此次研究的重要意义,文章曝出后也引发学术界的热烈讨论,其中不乏对室温超导的质疑。一些实验物理学家认为,本次研究并不能成为发现室温超导的直接证据,而只是指出了一种可能性

更有麻省理工学院的学者指出,其文中的两组相互独立的关键数据竟出现完全一样的随机测量误差。这在科学界,就像是连续两期六合彩竟开出完全相同的中奖号码。


                               
登录/注册后可看大图
图 | 一块磁铁漂浮在超导体之上(来源:Wikimedia Commons)


金银混合的纳米颗粒

                               
登录/注册后可看大图

先从超导说起吧。

但凡一种材料都会有电阻。金属的电阻很小,是良导体,因此它们被制成了传导电流的设备,比如铜制的电缆。但是在高压电缆上仍然会有严重的热损耗,如果用超导体制成的电缆就可以完美地解决这个问题。

超导体,顾名思义,是一种超级导体,电阻为零。超导状态下的材料除了电阻快速降到零,还会有一个显著现象:完全抗磁性,即磁感线无法穿过一个超导体,因为超导体排斥了所有的外部磁场 (在磁场不大的情况下),从而使其内部磁场为零。把一个磁铁放放置于超导体上,它会漂起来,在外力的作用下零阻力的移动。这个现象也叫做迈斯纳效应,对于一个理想的超导体来说,体积磁化率—衡量物体被磁化的程度—为-1。

理论上讲,超导体是各种电气设备的理想材料,用它制成的电缆可以零发热输送很高的电流,超导磁悬浮列车可以零阻力狂奔,是不是一片另人向往的生活前景?

只可惜,虽然在过去的一个世纪里人们发现了很多超导体,从单质到复合物,再到复杂的化合物甚至是奇异物质,我们还是没有办法实现这些美好的生活愿景。因为这些超导体无一列外是低温超导,这个低温不是你家冰箱的冷冻室,也不是穿着短裤站在南极的冰面上,而是接近绝对零度 (-273°C) 的低温,这个温度下几乎所有气体都是液态。



                               
登录/注册后可看大图
图 | 实验中使用的电极,深灰色区域附有金银混合物薄片,薄片有 100nm 厚,黑色的长条长度为 3mm(来源:此次论文)


那么,Pandey 的团队是在什么样的实验中发现室温超导的呢?

这个实验说简单也简单,他们将直径为 1nm 的银颗粒嵌入到了金的网格中,并将这种混合物制备成了直径为 10-20 纳米的颗粒。值得注意的是,论文只提及了制作这种混合物的方法叫化学烧结法,对其详细过程并没有作详细描述。这些纳米颗粒进而再被制成薄片,附在电极上面,以方便测量其电阻。

随着温度的降低,电阻刚开始并没有什么显著的变化,但是当温度降低到 230-240K 的区间时,电阻一下子从 0.7 欧降到了 100 毫欧。报告中说由于仪器精度的限制,他们推测实际的测量值可能还要更低。这意味着每单位长度的电阻将小于 0.1 纳欧,比普通金银的电阻整整低两个数量级。Pandey 估计了临界温度在 236K(-37.15°C)附近。临界温度随外磁场的升高而降低,也符合超导体的特性。



                               
登录/注册后可看大图

                               
登录/注册后可看大图
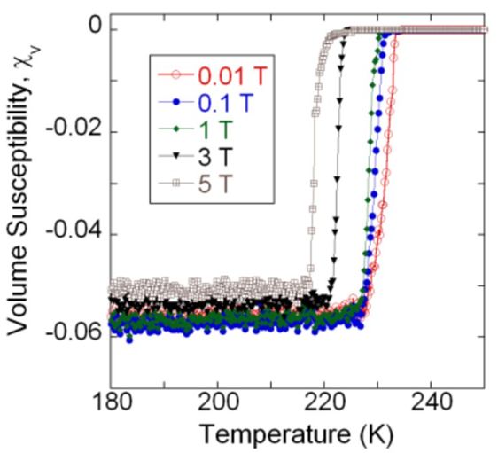
图 | 电磁特性随温度的变化。左为电阻,右为体积磁化率。(来源:此次论文)


在抗磁性方面,Pandey 测量了材料的体积磁化率随温度的变化。发现它在临界温度附近从零降到了-0.06。这个值离理想超导体的-1 还差得很远,不过研究人员给出了一个理由,纯度不够。等效地说材料有 6% 的区域是超导。

“这个实验做得很干净且有说服力”,数学科学研究所的 GanapathyBaskaran 教授说,“对于粒状超导来说,10%的超导占比已经不低了。”

物理“圣杯”的争议:夸大其词?数据异常?

                               
登录/注册后可看大图

目前为止,236K 的临界温度离室温还有一段距离,Pandey 在论文中仅仅提出了达到室温的一种可能性:降低材料中金的比例。在他们声称的另一项研究中,一块含有较少金成份的样品在温度降到 320K(46.85°C)时,其电阻骤降了三个数量级。这个温度已经要比赤道上很多地方的温度要高了。该样品的体积磁化率为 -0.037,也属于完全抗磁的范畴。

不过,很多实验物理学家指出,这些证据最多指向了室温超导的可能性,并不能用为发现室温超导的直接证据。

回到这次的研究上,关于为什么选择金和银做为素材,Pandey 仅仅在论文中说:“本着一种去寻找非声子模型的目的,我们才把注意力转移到用金和银制成的纳米结构的。”面对更多的提问,Pandey 选择了缄默。众多理论物理学家对他的回答采取了一种宽容的态度:“他们用这种材料肯定有其自身的原因,我相信在论文被接受发表之后,他们肯定会透露更多的细节的,”Shenoy 说。

Ramakrishnan 已经开始动员印度科学家研究 Pandey 实验中的这种金银纳米结构了。“我们还要让化学家们参与进来,因为他们更懂得如何去制备这种纳米材料,而论文的作者也没有提供有用的细节。另一方面,物理学家还要研究这个结构的其它电磁性质,以及光学性质。我确信,世界上已经有好几个研究组着手研究了。”

但是,在理论物理学家们的支持论调下,Pandey 的真正同行――实验物理学家――却显得更加严谨。一位不愿透露姓名的超导实验物理学家指出,实验的数据不完整,“论文标题是室温超导,而数据却只支持 236K 的超导。是这更像是一项尚未完成的工作,除非他们给 《Nature》 杂志提交了更完整的数据。”实验所能达到的测量精度则更让他纠心。“测量精度最好能达到 1 毫欧(1e-3 欧),也就是说压降精度要达到 1 纳伏 (1e-9 伏)。磁化率的数据也需要更精确。”

他还指出实验缺乏一项关键数据――场冷却数据。这项数据在实验者先打开测量磁场后将样品冷却时获得。这项数据可以帮助计算出准确的超导区域占比,从而与磁化率进行交差验证。

此外,还有对研究中数据质疑的声音出现。 8 月 10 日,一篇麻省理工学院 Brian Skinner 博士的文章对数据提出了疑问。这篇文章已提交在 arxiv预印本网站上。

Brian Skinner 指出,研究中的两组数据十分奇特,下图为两组数据的放大图。该图描述了样品磁化率随温度的变化函数,是这项超导研究的关键数据。可以看出,图中蓝色部分和绿色部分的数据构成完全相同的形状,而只是位置向下移动


                               
登录/注册后可看大图

图 | 原研究超导率函数图的放大图 (来源:ArXiv)

Brian Skinner 博士对此表示,“数据出现的这一特征在我的认知内史无前例,而且并没有明显的理论能够解释。”

如今这篇论文,从标题上看注定不会是一篇平常的论文,然而登出大半个月后,学术圈里出现了截然不同的两种声音。难道这又是一次“狼来了”的作秀,还是里面另有隐情?


路漫漫其修远兮

                               
登录/注册后可看大图

事实上,超导现象第一次被发现已经是一个世纪之前的事情了。

像很多科学现象被发现的过程一样,超导现象也是在不断改进和提升技术的过程中被偶然发现的。20世纪初期,欧洲的机械工业化已经发展到了相当高的水平。当时世界上各个实验室都力图实现将沸点很低的氦气液化。1911年,莱顿大学的卡末林•昂内斯 (H.KamerlinghOnnes) 成功地将氦气液化到 4.2K(-269°C),这为他研究物质在极低温度下的性质提供了方便,也是在这个时候,他偶然发现了水银的超导现象。这个发现为他赢来了两年后的诺贝尔物理学奖,同时也开启了科学家探索超导体的热潮。



                               
登录/注册后可看大图
图 | 卡 末 林•昂 内 斯 (右 ) 和 他 的 实 验 员 盖 芮 特灢菲 立 姆 (左 ) 于 1911 年 在 世界上首台氦液化器旁的照片


1980 年代之前,超导的研究还集中在单元素金属和多元合金中。通常称这些金属或金属合金的超导体为常规超导体, 这些材料包括水银,铝,铅和其它金属合金如铌锡,铌钛和铌锗合金。它们的临界温度 Tc(即从导体转变为超导体的温度)在 20K 以下,这个温度和液态氢的沸点差不多。

彼时,超导转变温度太低,需要昂贵的液氦设备,科学家努力探索提高超导临界温度的途径。只是历史的发展总是一样,在一件标志性事件发生之前,人类的想像力总是受限,金属类的超导似乎并不能满足人们对高温超导的期望。



                               
登录/注册后可看大图
图 | 超导体的转变温度随被发现的时间的关系(来源:此次论文)


这一件标志性的事件发生在 1986 年。

IBM 苏黎世研究院的德国科学家柏诺兹(J.Georg Bednorz) 和缪勒 (Karl A.Muller) 科学家对一种陶瓷材料已经研究了很久,这一年年底,他们发现钡镧铜氧化物(BaLaCuO 或 LBCO)在 33K以下表现出了超导的特性。

现在来看,这个临界温度比它的金属前辈并没有高出多少,但是在那个年代已经是很高的温度了,而且突破了液氢的沸点,从此便可以用更廉价方便的液氮来降温。这两位科学家次年便被授予了诺贝尔物理学奖,这是为数不多的几次诺奖被授予了新的发现,可见这次高温超导的重要性。

这是一个伟大的发现,它开创了高温超导体的井喷时代。在随后的十年里,陆续有新的铜氧化物在高温下表现出超导特性,临界温度从最开始的 33K 一路升到了 98K (YBaCuO)。1993 年,汞钡钙铜氧系统 (HgBaCaCuO) 的临界温度达到了最高的 138K(常压),在高压下(30 万个大气压)甚至可以达到 164K。而迄今为止最高的记录是 2015 年的 203K,值得注意的是,这一记录保持者不是铜氧系统,而是高压下的锍化氢系统。

虽然 203K(-70°C)比南极温度还要低上那么一点点,但是它极大激发了人们的想像。南极已经到了,赤道还会远吗?这些高温超导中是否可以找到一些室温超导的蛛丝马迹呢?

超导本质上是一个量子现象。1957 年,Bardeen、Copper 和Schrieffer 提出著名的 BCS 理论,对这一现象做了很好的解释。晶体的晶格振动往往以声子的形式呈现,电子与声子的相互作用可以产生一种“胶水”,使本来相互排斥的电子互相吸引,两两成对,这些配对的电子被叫做库珀对 (Cooper)。当材料的温度降低到临界温度以下时,所有电子库珀对都处于有序的相干的基态,它们像液体一样,共同从导体中穿过,与晶格之间不再发生散射。宏观上看,电子就在导体中无障碍传输了。而临界温度的存在,是因为较高温度下的晶格振动对库珀对造成了破坏。三人因此理论获得了 1972 年的诺贝尔物理学奖。



                               
登录/注册后可看大图
图 | “BCS 理论”创立者——巴丁 & 库珀 & 施里弗


美国科学家麦克米兰基于 BCS 理论计算,认为超导临界温度不太可能超过 39K(-234℃),39K 这个温度也被称为“麦克米兰极限”。这个极限温度一度被主流学界所接受。

回到这次的研究上,该项研究并没有在物理学家之间掀起轩然大波,也没有在博客上和社区上的引起人们的兴趣,大概是物理学家们都十分清楚,室温超导的份量和其承载的意义。

如果室温超导真的成为可能,那么很多科幻作品里的设想就会变成现实。面对这样大的可能的发现,每人个都屏息凝神,静静地等待着 Nature 杂志的最后判决。可以肯定的是,如果 《Nature》 发表了这个发现,整个世界将为之哗然,超导理论发展将开展也新的篇章。


-End-

校审:黄珊
参考:
https://www.business-standard.com/article/current-affairs/did-iisc-team-just-make-the-greatest-indian-discovery-after-raman-effect-118080700156_1.html
http://www.wuli.ac.cn/fileup/PDF/20100909.pdf
https://www.douban.com/group/topic/1856578/
https://www.thepaper.cn/newsDetail_forward_1596684


大道至简 万物于弧
*滑动验证:
您需要登录后才可以回帖 登录 | 立即注册

本版积分规则

手机版|Archiver|小黑屋|国际弧学研究会    

GMT-7, 2025-10-19 06:06 , Processed in 0.530482 second(s), 22 queries .

Powered by Discuz! X3.1

© 2001-2013 Comsenz Inc.

快速回复 返回顶部 返回列表