设为首页收藏本站

弧论坛

 找回密码
 立即注册
搜索
热搜: 活动 交友 discuz
查看: 3855|回复: 0
打印 上一主题 下一主题

比特币折叠

[复制链接]

5923

主题

6632

帖子

7192

积分

坛主

Rank: 10Rank: 10Rank: 10

积分
7192
跳转到指定楼层
楼主
发表于 2020-5-18 10:30 | 只看该作者 回帖奖励 |倒序浏览 |阅读模式
比特币折叠

Original 海岛算师
量子学派 Today


                               
登录/注册后可看大图

——比特币减半之后,世界将会怎样?





2020年5月12日3:23,比特币在区块高度630000处完成诞生以来第三次“减半”,出块奖励从12.5BTC降至6.25BTC
四年一次的“比特币折叠”,全球瞩目,好像自然界的黄金储量突然减少了一般。

“虚拟的”比特币为何有经济价值?为何能充当交换媒介?
不仅如此,为什么它能保持如此高的价值?
人们常把比特币比作数字黄金,以此表达比特币的价值,这样说的根据何在?

我们得回答如下问题:
(1)黄金价值来源何处,黄金的哪些属性使其拥有了储值作用
(2)比特币是否拥有这些属性;
(3)如果有,比特币的这些属性比黄金孰强孰弱;

在加密货币的爱好者眼中,比特币拥有“类黄金”品质;
因为比特币的基础是数学
数,是万物的本源



01
黄金天然是世界货币

相同质量时,黄金比其它金属价格更高,人们愿意用更高的代价购进黄金并相信黄金价值长存的原因是其集各种优点于一身:

                               
登录/注册后可看大图

❶化学耐腐蚀
黄金的化学与物理性质非常稳定,在水淹火烧外力冲击下,基本能保持性状不变

根据元素周期表排列的金属活跃性顺序{Li、K、Ca、Na、Mg、Al、Mn、 Zn、Fe、Ni、Sn、Pb、H、Cu、Hg、Ag、Pt、Au},黄金排在最后,与大部分物质不发生化学反应


                               
登录/注册后可看大图
金属活动性顺序表

相比之下,如铁大致处于中间位置,硝酸能与铁发生反应但不会与金发生反应,活泼程度高的金属如锂甚至可直接与水反应。金属活动性实质上取决于金属原子失去电子的难易,而这取决于金属物理结构

正因为黄金的超强稳定性,任何一个人,都可以预期自己手中的黄金能在几十年后安然交给子孙。

❷颜色和密度的易辨别
黄金的颜色很特殊,是金属中极少见的黄色金,虽与黄铜相似,但两者密度不同,因此通过密度测量,很容易辨别黄金内是否掺杂黄铜。

古希腊的阿基米德就是通过密度鉴别出国王金冠的真假。

❸易分割
黄金比较软,容易切割。它的熔点不高,易于将碎块黄金整合。因此特别适合日常使用。

❹开采难度
黄金的熔点较低,且与其它金属的熔点间隔较大,黄金在自然界的分布也相对适合人的开采,不至于极难寻找和分离,开采成本适中。

以上四点使得黄金特别适合人类保存和运输。但是黄金的金融价值,来源于稀缺。

❺适当程度的稀缺
稀缺的本质是金的丰度低,所谓丰度是指一种化学元素在某个自然界中的相对份额


                               
登录/注册后可看大图
地球地壳各元素相对丰度 (图源维基百科)

1948年4月1日,《物理评论》刊登伽莫夫与阿尔弗的论文《化学元素的起源》,解释宇宙中氢与氦丰度比例为什么是10000:1000。随后物理学家以宇宙大爆炸理论为基础,解释了周期表上所有的元素的比例:

一开始,宇宙是质子、中子、电子的炙热海洋,在温度的降低中电子开始被原子核束缚,氢与氦开始诞生,恒星形成,更重的元素开始在恒星及恒星的后代中诞生。产生于中子星合并事件中的金元素在地壳中的丰度约为0.004克/吨,而铁元素在地壳中的丰度约为5.8×104克/吨

金的丰度,在宇宙诞生之初已确定。


                               
登录/注册后可看大图
宇宙大爆炸(图源NASA)

然而稀缺也不能走到极端,否则每个人能够持有的黄金就太少了,无法完成交易。

物理规律导致黄金的适当的稀缺和稳定,进而导致黄金相对其它金属优越,也就成为人类交换行为的载体。



02
比特币VS黄金

价值是人为的现象,黄金如何获得超出别的东西的价值?

01
纯粹稀缺和混合稀缺

假如我们平均两年换一个手机,那么“我用过的手机”年产量为0.5个,非常稀缺,但显然没有超出一个二手机的使用价值。这种纯粹的稀缺并不会带来溢出价值


                               
登录/注册后可看大图

如果稀缺和其它适合人类使用的性质混合在一起,如黄金的稳定性易辨别性易分割性,就会导致这些使用价值也非常稀缺,那么稀缺就会带来巨大的溢出价值

稀缺导致黄金的开采不会剧烈改变人们手中的黄金相对于其它金属的数量,因而黄金的价值也比较稳定

02
持有的确定和交易的确定

黄金的稳定性易辨别易分割的性质带给人类双重确定:

❶持有的确定:
人们一旦持有黄金,这种持有过程就会非常确定,黄金不会像动物一样溜走,也不会腐烂,打上标记后,能够确定黄金的主人铸造时间,体积不大利于储藏,藏好后只有自己知道位置。


                               
登录/注册后可看大图

❷交易的确定:
人们一旦用黄金进行交易,交易过程也会非常顺利,首先是观看颜色、测量体积重量观察标记,确定黄金是否为真,黄金以小小的重量和体积就可以完成大宗交易。交易清楚明白。

正是这两层确定性使得黄金能够成为硬通货。其实,任何金属都有这双重确定,只是它们的程度都低于黄金。

黄金凭借着高稀缺性高确定性,在与众多金属的竞争中胜出,成了古代的世界货币。白银也是如此成为第二大世界货币。

那么,比特币是否有高稀缺和高确定性?

03
数学VS物理


比特币存在于数字世界,这是一个与物理世界相对的世界。物理世界遵循物理规律,数字世界遵循数学规律。


                               
登录/注册后可看大图

数字世界的特性与物理世界截然不同,在物理世界传递一本书,任何时候都只会有一个人拥有这本书,而在数字世界,一切皆可复制,数字世界传递一本书,书的数量随着传递增长,何来持有的确定?何来交易的确定?何来稀缺

物理实在通过双重确定保障了稀缺的可能,但数学虚拟由于信息的可复制性而几乎无法做到像传递实物一样传递信息,换句话说,数字世界无法传递价值

比特币,以代码为载体的虚拟之物,面临的正是这样一个几乎无法逾越的天堑

除非,数字世界能够模拟出物理世界的双重确定与稀缺,即数字世界复刻物理世界



03
如何拥有一串稀缺和确定的数字?

比特币必须要像黄金那样每一块都独一无二,而这本质上是一个数学世界中的标记问题

数字世界其实早在计算机与因特网诞生前就已存在,它们存在于每一位帐房的账本中,赛博网络出现后,账本以数据库之名移植到了服务器中。

01
两种账本:中心化与分布式


虚拟的数字货币就是一个数字账本
其实,要让虚拟的数字获得双重确定性也并不困难——使用中心化账本,这是符合直觉的方案。比如Q币,以发行公司作为账本保管者,以其信用保障持有的确定和交易的确定。让单一一方负责账本处理的方案被称为中心化


                               
登录/注册后可看大图
中心化与分布式图示

然而,如果互联网上的通货是中心化的,就不符合互联网先驱们的理想

更重要的是,物理世界传递东西是不需要第三者中介的,使用中心化服务器担任信用中介意味着数字世界复刻物理世界失败

至此,问题的关键简化为:在数字世界,既要双重确定性,又要去中心化实现分布式。比特币要做的正是三者兼得。


                               
登录/注册后可看大图
一个很难做到的三角

02
分布式账本的信用



分布式记账会产生一些中心化记账所没有的问题。一言以蔽之,是关于信用的问题。

中心化方案的用户密码存储在被信任的第三方手中,中心化信任基于企业信誉并以法律法规为底线。相反,分布式意味着账本由多方存储,比特币账本任何人均能存储,密码如何存放?人人皆可存储的比特币账本不存在将密码存于第三方的基础。


                               
登录/注册后可看大图

分布式,意味着记账行为由多方竞争,任何人都能竞争,如果各方记账不同,彼此不一致,以谁的记录为准?1982年,图灵奖得主莱斯利•兰伯特在一篇论文中将分布式系统的一致性问题形象地比喻为“拜占庭将军问题”

拜占庭帝国派出10支军队分散在敌城四周围而攻之,已知6支及以上的军队同时进攻才能攻下敌城。10支军队间依靠通信兵进行通信,以统一进攻时间。各军队由各自将军指挥,但可能有将军是叛徒,叛徒会将接收到的进攻时间篡改后再发出,或不按商定的时间进攻,因此,拜占庭将军题便是如何才能保证有6支及以上的军队能够同时发起进攻。


                               
登录/注册后可看大图
简化为5支军队的情况

数字货币必须解决分布式系统的“拜占庭将军问题”以及密码管理问题

03
非对称加密




密码学中有所谓非对称加密对称加密对称加密意为可通过加密结果逆推被加密字符,非对称加密则无法逆推。因此,非对称加密的加密解密这两个过程是不同的,私钥用于加密,公钥用于解密。公钥公开,私钥脱网保存

这天然适合数字货币的构造。比特币创造者中本聪设计了如下的步骤:


                               
登录/注册后可看大图

比特币地址生成三步骤:随机、椭圆加密、哈希算法

❶随机生成一串256位二进制字符作为比特币私钥,暴力搜索无法攻破比特币私钥。


                               
登录/注册后可看大图

                               
登录/注册后可看大图

❷用椭圆曲线乘法这种非对称加密私钥映射成公钥。

                               
登录/注册后可看大图
椭圆曲线示例(图源《精通比特币》)

❸公钥经过哈希算法转化成比特币地址

哈希算法非常特殊,特别适合加密过程:
(1) 无法通过输出逆推出输入;
(2) 相同输入一定得到相同输出;
(3) 输入的任何微小变化都会使输出面目全非

可将哈希计算理解为单向函数,比特币使用的哈希计算为sha256任何字符经过sha256计算后均得到256位二进制字符


                               
登录/注册后可看大图
哈希函数的的工作原理
(图源维基百科词条“散列函数”,作者:David Göthberg)

04
转账中的数字签名


拥有一个比特币之后,还得能花出去,而且只有自己能花出去。

消费比特币就是改动账本,将某地址上的比特币改到另一地址上。这就面临一个验证节点对付款人真实意图的确认过程:

                               
登录/注册后可看大图
数字签名

①首先,持有者利用唯一私钥对一段字符进行数字签名
网络广播这串表明自己转账意图的字符。
③所有收到该段字符的人通过公钥验证该段字符是否确由相对应的私钥签署。
④该段字符只有加盖了数字签名才会被处理和承认。

比特币账户密码管理问题已经解决,他者无法动用不属于自己的比特币,但是,如果比特币持有者自己利用私钥对转账行为作弊怎么办?



04
如何交易一串稀缺和确定的数字

借助随机性椭圆曲线加密乘法哈希计算数字签名,比特币地址的拥有者已不用担心自己的比特币会被他人占有,但比特币持有者可以通过双重花费攻击来作弊。

由于没有一个特定的中心化记账者,分布式账本的转账请求是广播发出的,各个网络节点因网速差异而不会同时收到转账请求,这使得转账者可以在短时间内多次使用同一笔比特币发出目标地址不同的转账请求,即将一笔比特币使用多次,这便是双重花费攻击

如何保证比特币持有者自己不作弊?

01
工作量证明共识

双花问题与拜占庭将军问题是分布式系统一致性问题的一体两面。在比特币之前,分布式系统总是假设一定比例诚实节点的存在来解决一致性问题,直到中本聪天才性地提出工作量证明共识。

不再分辨诚实节点作恶节点,所有节点作竞争运算直到一方计算出符合要求结果成为获胜节点,获胜节点负责从上一个获胜节点之后到其获胜为止所接收到的转账请求的处理,所有节点收到获胜消息后开始下一轮竞争计算

通过调整计算难度,可将两次获胜节点诞生时间间隔动态控制在10分钟左右,另外,每次记账的容量也设定上限。由于获胜会获得比特币奖励,这是新比特币诞生的唯一途径,类比于黄金的挖矿,因此竞争运算被称为挖矿


                               
登录/注册后可看大图
比特币挖矿创币交易脚本示例(代码源《精通比特币》)

同一时间内,只听一个节点的,创造性解决了分布式系统一致性问题。但如果有两个节点由于通信延迟问题而都认为自己就是获胜节点怎么办?

02
最长链原则

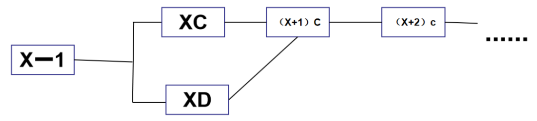
获胜者每次将记账工作打包成块,每个块借助哈希计算先后相连成链,这就是区块链

如果有两个节点几乎同时胜出而互相不知,它们各自生成一个不相容的块(两个块中包含着不同的交易),区块链便发生了分叉,出现了两条链!


                               
登录/注册后可看大图
区块链的临时分叉

面对分叉,需要一个标准规定哪条是真链,工作量证明共识遵循最长链原则,每个节点都会选择在最长链上挖矿。


                               
登录/注册后可看大图
最长链

最长链,并不是指区块数最多的链,而是累计哈希输出值难度最高的链,这意味着要仿造这条链需付出最多的算力,是篡改难度最大的链。可将一条链上的累计哈希输出值称为历史累计算力

如果想篡改中本聪在2009年挖出的创世块,就必须在付出比特币10年历史累计算力的同时还要赶上当下的比特币挖矿进度。

从2017年5月17日到2018年5月18日,比特币挖矿一年的用电量已超过了捷克共和国全国一年电力需求。比特币十年累计下来的历史算力可见有多恐怖,其背后所付出的资源极为庞大。

最长链原则掘除了比特币“假币”的可能,这就像颜色和密度根绝了假黄金的存在。


03
数学的确定性高于物理

通过区块结构工作量证明共识,我们解决了分布式系统的时间一致性问题。

借助{随机概率;非对称加密;椭圆曲线加密乘法;哈希计算;数字签名;工作量证明共识、最长链原则},我们使虚拟的比特币在不借助中心化架构的前提下获得了如黄金般的双重确定性

在《三体》中,终极武器是数学规律,因为数学规律比物理规律更难以更改

现在的问题是,既然数字世界的复制成本为0,比特币之类的数字货币系统可以轻易被复制代码,那么比特币是不是随时可能被其它加密币替代?



05
山寨币PK比特币

比特币诞生后,各种模仿比特币的山寨币们粉墨登场,有的想要分一杯羹,有的甚至想取代比特币。

01
山寨币能与比特币竞争?

山寨币,被称为Altcoin,即Bitcoin Alternative:比特币的替代品、竞争者,暗示有朝一日比特币或将被某个山寨币取代。


                               
登录/注册后可看大图
2020年5月6日加密货币市值比例可视化图
(图源coin360.com)

乍听之下,颇有道理。加密币无非是代码、软件,而代码可复制、软件会更新,君不见易趣淘宝取代、ICQQQ取代、CS守望先锋取代,先驱更容易成为先烈,后浪拍死前浪,集成了更强大功能的后来者跃居统治地位。

然而,比特币不是一般的软件,它是一套协议、一种货币。从软件产品的角度来看,比特币会被取代,但审视比特币,必须站在协议与货币的角度。

02
互联网协议的垄断性

基于互联网的软件在快速迭代,这就像抛弃原来的房屋再新建一幢,只是新房屋设计会参考旧版本。

构成当今互联网本身的则是一系列特殊的软件——TCP/IP协议族,协议的迭代并不是重造房子,而是将房屋一层层地往上建造,TCP/IP协议族中的核心协议TCP/IP自1973年诞生至今未有架构上的变化。

当今世界电子邮件的标准协议SMTP/POP3亦自诞生被使用至今,电子邮件客户端非常多,但全世界电子邮件协议只有一套


                               
登录/注册后可看大图
TCP/IP协议与曾经的对手OSI协议对比,失败的协议最终无人再使用

协议可以被定义为“两个或两个以上实体为了开展某项活动,经过协商后达成的且必须遵守的规则的集合”,协议是赢者通吃的绝对垄断。当今互联网就是TCP/IP协议族,电子邮件就是SMTP/POP3协议。协议的竞争具有马太效应,协议的反干扰性会随着时间积分式增强。

货币世界的竞争,与协议类似,赢者必须通吃。货币会有很多,但货币之王只有一个,这是没有办法的事情,因为如果别人用通行货币你却用小众货币,你的金融风险就会很大。

03
古货币之王

黄金在相当长一段历史中被公认为储值首选,至1717年,牛顿提出金本位制,又到1970年代初,布雷顿森林体系瓦解,人类历史上还没有一样东西在储值功能上胜过黄金。

问题是,黄金被选择为世界通用货币是偶然还是必然?黄金的稳定性、易辨别性、易分割运输性配合最重要的稀缺性造就了黄金的地位,黄金是过去人类的自然最优选择,是人们行为互动演化的结果,人为参与但绝非设计而成。

黄金的成功不是必然,也不是偶然,而是最大概率。在地球上,黄金脱颖而出是件大概率事件,万一不是黄金而是另一种物质,那它胜出的理由与黄金不会相差太大。

黄金被选作价值存储物是自然的,大体上也是理性的,即使美元与黄金脱钩,黄金的地位仍然难以撼动。

直到比特币的出现。



06
比特币没那么容易被取代

黄金的不可替代性部分源于物理属性,经过时间的演化,变成历史惯性,变成人的主观共识

而比特币的工作量证明共识是客观的数学共识,并不是因为大家觉得比特币不会被取代,所以比特币才不会被取代。

因为比特币的不可替代性,是历史累计算力造成的先发优势和比特币代码中减半规定叠加而成,使比特币强于所有后来山寨币。犹如黄金的价值是稳定和稀缺重叠,超越其它金属成为货币之王。

01
历史累计算力的作用


历史累积算力可以辨别主动作弊,还可以辨别非恶意的作弊。设想一个思想实验:
某一次核大战后,网络不稳定导致比特币网络出现非主观恶意分叉,且全世界只剩两份比特币全节点账本,它们居然还不一样,我们决定哪个为真?


                               
登录/注册后可看大图

不必借助任何权威与主观判断,只凭一个指标即可决断,即哪条是最长链哪个就是真正的比特币全节点账本。

如果一条链是累积历史算力最高的最长链,就应当被判断为真正的比特币链,该判断过程不以人的意志为转移,只与纯数学规律有关。


021
竞争币的后发劣势


同为工作量证明机制的某些竞争币,虽然与比特币算法不同,但不妨碍历史累计算力的比较。当前比特币全网算力在100EH/S左右,主流竞争币如莱特币全网算力则不到200TH/S

                               
登录/注册后可看大图


                               
登录/注册后可看大图
三种共识机制

而另外一部分竞争币采取(授权)股权证明作为共识机制。这类币以持有的币量进行记账权争夺,它们不消耗能量,实质上与比特币不在一个生态位。而且这类币的持有身份与矿工身份重合,会带来各种悖论

算力即权力,只要算力在,比特币的地位便不可撼动。在获得不可替代的属性后,比特币如何获得特定的稀缺呢?



07
比特币减半:世上第二稀缺

世间称得上稀缺之物极少,时间是,黄金是。而比特币的稀缺,是仅次于时间的稀缺


01
减半过程


这通过比特币的减半来完成:每210000个快,比特币挖矿产出就会减半。比特币诞生最初四年的每个块挖矿奖励为50BTC,2012年第一次减半到25BTC2016年第二次减半到12.5BTC2020年第三次减半到6.25BTC

最终,比特币产量接近于零,达到2100万比特币总量上限。


                               
登录/注册后可看大图
比特币挖出总量随时间变化曲线
(图源《精通比特币》)

在2020年第三次减半后,比特币年通胀率降到1.8%,比美联储目标通胀率2%还要低,比特币将进入永恒稀缺通道。


                               
登录/注册后可看大图
比特币通胀率变化(图源QKL123.com)

02
比特币的S2F估值模型



在金融领域,“库存流量”(Stock-to-Flow )模型用于评估黄金、白银的价值,它基于“存量与流通比率”对黄金的价格进行建模,比特币亦可套用此模型建模。


                               
登录/注册后可看大图
不同时期比特币与黄金、白银的S2F比较

黄金的SF比例是62,而比特币在第三次减半后,SF比例几乎达到黄金水平;当第四次减半后,比特币的SF比会高出黄金SF一倍,成为稀缺度仅次于时间之物。

另外,黄金、白银的增量存量比则不那么精确,因为金属毕竟会被磨损和开采,总量会产生变化,而比特币的增量与存量比是数学上的绝对精确量。

由减半造成稀缺,似乎山寨币复制之后即可达到同样效果,但比特币的稀缺由历史累计算力保护,与先发优势捆绑,进一步,是与时间捆绑。比特币拥有独一无二的历史稀缺时间标记稀缺,而不是每年重复产生的稀缺。

先天的数学规律是比特币之稀缺的保障。



08
比特币减半后面对的十个问题

比特币是否会陷入死亡螺旋?

比特币减半后,区块奖励减少,意味着在全网挖矿难度变化前,挖出的单位比特币消耗电量会增加。挖矿成本上升,部分旧型号矿机面临亏本挖矿,经济理性人会选择关停亏本矿机。这导致全网算力下降,出块平均时间变长,比特币转账拥堵。

如果此时币价开始下跌,比特币期货多头账户必须增加保证金以免爆仓,但拥堵的比特币网络会阻碍保证金及时到账,大量的连环爆仓加速比特币下跌。而比特币币价的下跌进一步导致更多的矿机关机,全网算力持续下降,出块时间持续延长,这又进一步导致币价下跌,从而开启恶性循环


                               
登录/注册后可看大图
近半年比特币全网算力变化

最终比特币跌入死亡螺旋,网络停摆,永远挖不到调整难度的区块高度。

回答:目前看减半后的比特币确实也没有发生死亡螺旋,基本也不可能发生了,等到下次难度调整(约5月20日)后,比特币则完全安全

幸而,5月12日减半后没有发生死亡螺旋。多米诺骨牌的第一张没有倒下,即币价没有出现大幅下跌,算力(哈希率)的下降也在可承受范围内。

5月14日算力93.16EH/S相对减半前高峰5月10日算力132.95EH/S下降约30%)】

比特币是否应该升级可互换性

可互换性是某种商品或者财产的一种属性,其个体单位能够相互替代。可以理解为任意两个比特币在交易中被一视同仁,没有任何区别,不会出现一个比特币比另一个比特币更值钱的情况。

但我们知道,比特币账本是完全透明的,任何比特币的转账历史均可查,如果有一天某些有巨大影响力的组织宣布拒收转手过非法用途的比特币,那么任意两个比特币间的价值是否还相同?


由此比特币的可互换性可理解为比特币的匿名性,比特币是否需要更好的匿名性?

回答:或许在不久的将来,可互换性问题将成为2015-2017年扩容之争后的第二次分叉战争导火索。】

比特币是否有可能再次分叉?

面对匿名问题,比特币社区可能会出于利益与理念分裂成两个几乎不可调和的阵营。

比特币的链下生态如何发展?


                               
登录/注册后可看大图

当前比特币的定位已趋向于数字黄金、价值存储,比特币的法币价格越高,主链转账手续费也就越高,这使得小额高频的比特币使用场景必须通过链下技术完成,包括以闪电网络为代表的侧链方案与完全不走链上的中心化方案。比特币主链本身将专注于大额价值存储,成为全球结算网络

比特币交易对的计价单位是否需要改变?

常常有不了解比特币的人发出疑问,一个比特币这么贵,我怎么买得起?他们不知道比特币的最小单位是聪(staoshi)

1BTC=100000000staoshi,即一比特币等于一亿聪。另外,比特币还有其它计价单位,换算如下:
1BTC=1000mBTC(毫)=1000000uBTC(微)=100000000staoshi。

回答:或许,全球各大数字资产交易所在不久的将来,会将比特币交易的计价单位由BTC改为mBTC。如此,新人们才不会因币价的(心理上的)高昂而望而却步。】

比特币是否有可能成为央行储备物?

如果比特币想要成为真正的数字黄金,那么像黄金一样成为各国央行储备物将是标志性一步。

比特币对整个加密数字资产世界的市值占比是变大还是变小?

这个问题的本质在于比特币在整个加密数字资产世界的定位,比特币是否会是所有加密数字资产的基础计价单位

比特币是否会进入“永恒牛市“?

永恒牛市”概念由比特币中文社区早期成员“纵横四海(微博@TumbleBit)”在2019年提出。当比特币年通胀率<美元年通胀率时,比特币的永恒牛市就会来临,而不像之前一样牛短熊长。在这个BTC奇点来临之后,nocoiner的财富很难再追上BTCoiner。

如此乍看之下匪夷所思的观点,是否有可能成真呢?只有时间能告诉我们答案。

比特币市值何时赶上黄金市值?

比特币目前市值约1700多亿美元,黄金市值则约为8万多亿美元,比特币仍有相当大追赶空间。

比特币可以适应星际人类吗?

自称拥有0.25BTC马斯克希望在2024年实现载人登陆火星,最终目标是使人类成为多星球物种。那么问题来了,比特币届时如何解决网络延迟问题?或许火星将出现火星版比特币,与地球的比特币形成双链


                               
登录/注册后可看大图





结语



第三次减半来临时,比特币已历十一年有余,孤独的密码学家、享受技术冲击的极客、身陷牢笼的暗网创建者、贪婪的投机客、于世间求索的理想主义者们、目标明确的自由主义者们、懵懂又自信的币民,一波又一波人群踏入比特币世界,所有人终究跟随比特币K线跌宕起伏。

也有比特币原教旨主义者说,这四年来,比特币在应用生态上并无进步。

比特币最终能否成功在于它的“应用性”,而不在于它类黄金的“存储性”。
是的,这些话一针见血

然而,比特币仍然值得期待,它的价值不仅在于自身,也在于与它并行的法币世界的表现。

优秀,是对比出来的。

第三次区块减半最后一个区块中,F2Pool矿池将《纽约时报》当日新闻标题写入629999区块,该标题为《NYTimes 09/Apr/2020 With $2.3T Injection, Fed's Plan Far Exceeds 2008 Rescue》意为美联储注入2.3万亿美元,救市规模超过2008年
而在比特币创世区块中,“中本聪”则是把泰晤士报的头条新闻《The Times 03/Jan/2009 Chancellor on brink of second bailout for banks》写入该区块。

或许,比特币折叠之后,它将埋葬无数贪婪与梦想,未来人类回顾历史时,只看到一条谜一般的价格曲线。

在这终将热寂的宇宙里,稀缺和确定性是最高价值来源。



本期编辑|魏巧怡
本期投稿|海岛算师


大道至简 万物于弧
*滑动验证:
您需要登录后才可以回帖 登录 | 立即注册

本版积分规则

手机版|Archiver|小黑屋|国际弧学研究会    

GMT-7, 2026-1-24 03:32 , Processed in 0.598869 second(s), 22 queries .

Powered by Discuz! X3.1

© 2001-2013 Comsenz Inc.

快速回复 返回顶部 返回列表