设为首页收藏本站

弧论坛

 找回密码
 立即注册
搜索
热搜: 活动 交友 discuz
查看: 3708|回复: 0
打印 上一主题 下一主题

美可以度量吗?一种用复杂度指标刻画艺术品美感的尝试

[复制链接]

5917

主题

6625

帖子

7185

积分

坛主

Rank: 10Rank: 10Rank: 10

积分
7185
跳转到指定楼层
楼主
发表于 2019-11-29 18:04 | 只看该作者 回帖奖励 |倒序浏览 |阅读模式
美可以度量吗?一种用复杂度指标刻画艺术品美感的尝试

返朴
[color=rgba(0, 0, 0, 0.298)]Today


                               
登录/注册后可看大图

为什么有些绘画作品结构不那么复杂,却给人身临其境的美感?什么样的信息组合方式会让人觉得美?我们是否有可能度量艺术作品的美?在近期的一篇 arxiv 文章中,作者从熵复杂度的三种度量出发,重新审视了图像欣赏与其统计属性之间的关系。通过生成符合标准的两组不同随机图像集,对不同人群进行了一项大规模偏好调查,最终揭示出具有中等熵复杂度的图像具有最大欣赏价值;并指出在对图像进行粗粒化处理后,从高频噪声中提取的结构复杂度大小,可以作为预测人们审美偏好的良好指标。


撰文 | 十三维审校 | 刘培源编辑 | 张爽


存在普遍的美吗?


是什么造就了美的形象?世界上存在普遍的美吗?

这些令人困惑但又迷人的问题,过去似乎已在包括哲学、心理学、艺术或数学在内的诸多领域中被解决过很多次 。

早自古希腊开始,人们就尝试理解美的普遍性。他们认为大自然本身就是和谐与秩序构成的宇宙:无论是艺术品、生命体甚至城市,都由每个构成要素之间的恰当比例所定义。

在希腊人之后,巴洛克和文艺复兴时期的艺术家们也相信普遍之美,而且令人惊讶的是,他们的艺术部分依赖于表现形式的数学化特征,例如对称性、黄金分割比等。此后我们还可以看到递归与分形等复杂结构特征。文艺复兴三杰之一的达·芬奇,就不仅是一名伟大的艺术家,同时是一名堪称全才式的科学家与数学家。


                               
登录/注册后可看大图
      
图1. 达芬奇的维特鲁威人

因此,历史上关于“什么是艺术或美”,必须要有科学标准的信念,其实已经存在了相当一段时间。尽管这种普遍美的观念在艺术史上断断续续被忽略和争论着,甚至如今被很多后现代思想家强烈反对着。 那么我们不禁想知道,所谓“美可以被度量”这种观点,究竟是否只是一种语义矛盾的修辞?以此基础建立一种一致性标准的绘画艺术理论是否真的可能? 抛开艺术史上的观念之争,也许从物理学与复杂性视角能给我们一个恰当的答案。

信息熵的三种复杂度

最近以法国物理学家 Samy Lakhal 为首的一个科学小组,对这个问题进行了研究。他们在预印本网站arxiv发布了一篇题为《Beauty and structural complexity》的论文,探讨了美与复杂度之间的关系。

论文题目:Beauty and structural complexity论文地址:https://arxiv.org/abs/1910.06088

不仅学习效率在“熟悉”与“意外”(秩序与复杂、无趣与惊喜)之间存在最优的配比,审美感受可能同样如此。心理学家 Rolf Reber 曾提出过审美愉悦加工的流畅度理论[1] ,数学家 George David Birkhoff 甚至提出过审美公式 M = O/C (其中 O 为秩序,C 为复杂度)[2]。只不过,目前对复杂度 C 的度量并没有统一标准。

而本篇论文研究,则可以说从物理信息角度从对此推进了一步。

研究者结合了物理学家 Greg J Stephens [3]自然图像热力学理论(Thermodynamics of Natural Images),认为可以通过寻找某个熵态函数(entropy-like function)来量化这种在无趣与惊喜之间微妙而复杂的美感平衡。

目前存在许多图像复杂度的度量方法,例如根据其数学属性、物理属性或者图像的认知属性。在论文中,研究者选择了对于任何数字二维图像都可以很容易计算出来三个简单指标。

第一种是根据 幅值斜率 α (magnitude slope α),定义为径向平均傅里叶振幅的对数斜率,它在对图像取灰度后进行傅里叶变换取得。

      

                               
登录/注册后可看大图
      
图2. 三张进行了傅里叶变换的图像及频谱,第一行和第三行的 α 值比较高,但也充满噪音

第二种是计算图像的分形维度 df(fractal dimension),论文使用闵可夫斯基计盒维数法(Minkowski-Bouligand box-counting)进行计算。将图像放在一个均匀分割的网格上,数一数最小需要几个格子来覆盖这个图形的边长。通过对网格的逐步细化(取无穷小),计算覆盖盒子数目对数与整个图形格子数比值的极限。

   

                               
登录/注册后可看大图
图3. 英国海岸线的盒维度估计,约为 1.26

第三种为图像的压缩率或算法复杂度τ(algorithmic complexity),通过计算压缩图像对未压缩图像大小之比获得。这种方法的思路是:如果一幅图片表达的信息很少,那么它就可以被压缩算法压缩得很小,因此压缩前后图片的比值就可以代表一幅图片的复杂程度。

概念:什么是复杂性?

复杂性(Complexity) 本身就是一个“复杂”的概念。在复杂性科学中,有“要想理解复杂,先要理解复杂”的说法。不过,我们依然可以从有序的角度来认识它,可以理解为:复杂是一种处于完全有序和完全无序之间的状态——于是有趣的事情发生了,这非常类似 George David Birkhoff 对审美度量的定义,这似乎暗示着,美与复杂度本身就是互为隐喻的


                               
登录/注册后可看大图
图4. 处于完全有序和完全无序之间状态的复杂        

只不过,因为复杂本身就是一个复杂的概念,因此对复杂度的定义和度量有太多争议。数学家 Horgan  曾统计过[4],复杂性的定义至少有 45 种,目前则不下 50 种。不过,总体可以分为客观复杂度认知复杂度大类,前者是物理或本体意义的复杂,例如熵复杂度,无法通过认知进行化简,后者指随着人类认知提升、掌握规律后就能变得简单的复杂。在此基础上,复杂度则可以划分为信息类、熵类、描述长度类、深度类、复杂性类、多样性类、维数类、综合类(隐喻)等几大类[5]

统计特性与图像欣赏

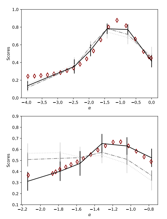
为了研究清楚这个问题,研究者进行了一项大规模的调查。要求人们根据喜好对两组不同的随机图像进行排序。为了消除可能的认知和文化偏见,研究者设计实验时选择前两种复杂性指标随机生成了以下两组更加抽象的图像(图5)。这两个序列的图像复杂度从左到右依次增加。
      

                               
登录/注册后可看大图
图5. 分别使用傅里叶幅值逆变换和计盒维数法生成的两组图像

第一组图像通过对傅里叶幅值的逆向变换生成。在256×256图像阵列中生成了六幅灰度图像,并计算了振幅斜率α、分形维度df 和算法复杂度τ。在汇集计算结果的表 1 中可以看到,df 和τ都是α的递增函数,这支持了研究所选复杂度指标的有效性,显示在图像频谱,分形维度和算法属性之间存在明显的相关性。

第二组的图像,在询问了受试者的视觉喜好,即更偏爱多云的天气或银河的景观后,由研究者们逆向使用了闵可夫斯基计盒维数法进行生成。这种方法能有效产生更多抽象图像。算法在256×256图像阵列中随机添加“盒子”,约束最大的正方形不超过总表面的1/16,黑色面积总和不超过1/2 。结果表明,这几种复杂性度量之间同样在彼此增强(表1)

表1:
大道至简 万物于弧
*滑动验证:
您需要登录后才可以回帖 登录 | 立即注册

本版积分规则

手机版|Archiver|小黑屋|国际弧学研究会    

GMT-7, 2025-10-16 05:38 , Processed in 0.583854 second(s), 26 queries .

Powered by Discuz! X3.1

© 2001-2013 Comsenz Inc.

快速回复 返回顶部 返回列表