设为首页收藏本站

弧论坛

 找回密码
 立即注册
搜索
热搜: 活动 交友 discuz
查看: 3545|回复: 0
打印 上一主题 下一主题

麦克斯韦鱼眼透镜的秘密

[复制链接]

5917

主题

6625

帖子

7185

积分

坛主

Rank: 10Rank: 10Rank: 10

积分
7185
跳转到指定楼层
楼主
发表于 2018-9-12 03:38 | 只看该作者 回帖奖励 |倒序浏览 |阅读模式
麦克斯韦鱼眼透镜的秘密[color=rgba(0, 0, 0, 0.298)]

[color=rgba(0, 0, 0, 0.298)]Jennifer Chu
原理
[color=rgba(0, 0, 0, 0.298)]2 days ago
[color=rgba(0, 0, 0, 0.298)]

[color=rgba(0, 0, 0, 0.298)]

在一项最新研究中,科学家首次从量子力学的角度研究单个原子和光子通过鱼眼透镜的行为。他们发现,鱼眼透镜的独特结构使其能够引导单个光子通过透镜,并让一对原子彼此纠缠。


                               
登录/注册后可看大图
环形路径

大约150年前,物理学家麦克斯韦(James Maxwell)提出了一种圆形透镜,它的中心最厚,在边缘处逐渐变薄。麦克斯韦认为,这种透镜应该会展现出迷人的光学行为:当光线穿过这样的透镜时,会绕着完美的圆圈行进,创造出非同寻常的弯曲光路。

麦克斯韦还指出,至少从广义上来说,这样一个透镜类似于鱼的眼睛。从此,他设想的这种透镜结构在物理学中被称为麦克斯韦鱼眼透镜。这是一种理论的结构,与运用于相机和望远镜中的商业鱼眼透镜略有相似。


                               
登录/注册后可看大图
○  麦克斯韦是第一个意识到,由于透镜密度的变化,光线在透镜中能够沿着完美的圆圈行进。| 图片来源:MIT

我们知道,材料的密度越大,光线穿过的速度就越慢。这可以用来解释在一杯半满的水中,吸管会弯折的光学现象:因为水比上面的空气致密得多,当光线从空气进入水中,速度会突然变慢,在空气与水的界面弯曲,因此整个画面看起来就好像是吸管被折断了。

在鱼眼透镜的理论模型中,密度的差异变化是循序渐进的,并沿着圆形图案分布,这种结构使得光线缓慢地弯曲而不是折断,引导光线在透镜中绕着完美的圆行进。

2009年,物理学家Ulf Leonhardt正在研究麦克斯韦鱼眼透镜的光学特性,他观察到,当光子从一个点光源释放出来并通过透镜时,光线会在透镜中沿着完美的圆行进,并在相反的一端汇聚到一点,整个过程中的光损失非常少。

这篇论文的第一作者Janos Perczel说:“没有光线偏离到不需要的方向上。所有光线遵循完美的轨迹,同时在同一点相遇。”


                               
登录/注册后可看大图
○  麦克斯韦鱼眼透镜截面示意图。图中颜色深的部分对应更大的折射率。球面上任意一点的光线将汇聚到与之相对的另一点上,光线因而能够沿着完美的圆行进。| 图片来源:Wikipedia

Leonhardt在报告他的结果时,简短地提到了鱼眼透镜的单点聚焦可能对在透镜相反两端精确地纠缠的原子对有用。(纠缠是一种量子现象。当两个粒子相互纠缠时,无论相距多远,它们之间总保持着某种关联。)

Perczel说:“Mikhail Lukin(论文的共同作者)问Leonhardt是否找到了问题的答案,Leonhardt说还没有。我们就是这样开始这个项目并开始深入探究纠缠操作在鱼眼透镜中的效果如何。”


                               
登录/注册后可看大图
光子乒乓球

为了考察鱼眼透镜的量子势能,研究人员将透镜模拟为最简单的系统:单光子与两个原子组成的系统。两个原子分别位于二维鱼眼透镜的两端,第一个原子处于激发态,另一个原子处于基态,最初,第一个原子发射光子,第二个原子吸收光子并处于亚稳态,之后第二个原子发射光子,如此往复。


                               
登录/注册后可看大图
○  光子在一对原子之间交换的过程示意图。处于激发态的原子(左)发射光子,处于基态的原子吸收光子并处于亚稳态。| 图片来源:J. Perczel et al.

使用量子力学中已建立的方程,当光子在透镜中穿行时,该团队追踪任意时间节点的光子,并计算两个原子随着时间变化的量子态和能级。

他们发现,当一个光子通过透镜时,会被透镜一端的原子暂时吸收。然后光子沿着圆形轨迹穿过透镜,恰好到达透镜相反的一端,也就是第二个原子所在的位置。第二个原子暂时吸收光子,然后发射光子,使之通过透镜返回,再次在第一个原子所在的位置精确汇聚。


                               
登录/注册后可看大图
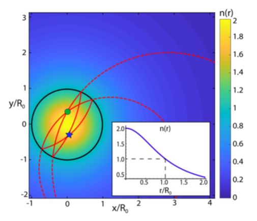
○  二维麦克斯韦鱼眼透镜(圆形黑线),半径为R0,折射率随着半径的变化n(r)如内嵌图和颜色棒所示。两个原子被置于透镜相对的两端,从透镜中任意一点(绿色圆点)发出的光会在与之相对的点(蓝色星点)处重新汇聚。红色虚线表示半径无限大的鱼眼透镜中的光路。 | 图片来源:J. Perczel et al.

Percze说:“光子来回反弹,原子就像是在打乒乓球。最初只有一个原子有光子,然后是另一个。但是在这两个极端之间的一个点上,两个原子在某种程度上都有光子。正是这种量子力学的纠缠概念,两个原子完全平等地共享一个光子。”

Percze表示,光子之所以能够和原子纠缠,是因为鱼眼透镜的独特几何结构。透镜密度的分布方式引导光线绕着完美的圆形图案行进,并能够导致单个光子绕着圆形路径在两个精确的点之间来回反弹。

“如果光子只是沿着各个方向飞走,就不会有任何纠缠。但是鱼眼透镜给光线以完全的控制,所以有了远距离的纠缠系统,这是能够使用的宝贵的量子系统。”

当他们在模型中增加鱼眼透镜的尺寸时,原子仍然保持纠缠,即使处在数十微米这样相对远的距离。他们还观察到,尽管一些光会逃离透镜,但是原子能够分享到足够的光子能量以保持纠缠。最后,当他们将更多原子对放置在透镜相反的两端,和其间连通的光子一起,这些原子变得同时纠缠。

Perczel说:“我们发现鱼眼透镜具有任何其他二维器件所不具备的性质,不仅对于两个原子,而且对于距离遥远的多对原子,鱼眼透镜都能够在很远的距离上保持这种纠缠能力。可以用鱼眼透镜使多对原子同时纠缠,这使得鱼眼透镜有用并充满前景。”


                               
登录/注册后可看大图
鱼眼透镜的秘密

该团队还发现,与最近的一些断言相反,鱼眼透镜并不生成完美的图像。科学家曾认为,麦克斯韦鱼眼透镜可能是“完美透镜”的候选者,这种完美透镜能够超越衍射极限,将光线汇聚到直径比自身波长还短的一点上。科学家还预测,这种完美成像能够生成本质上具有无限分辨率和极度清晰的图像。   

然而,通过在量子层面上模拟光子穿过拟合的鱼眼透镜的行为,研究人员发现,当光线在透镜另一端汇聚时,汇聚区域的尺寸比光的波长大,这意味着透镜可能无法生成完美的图像

Perczel说:“在光子交换的过程中,我们可以问一个问题:光子汇聚的区域尺寸有多大?我们发现这个尺寸与光子的波长具有可比性,并且不小于波长。完美成像意味着,光线会聚集到无限小的点上。然而,这并非量子力学计算展示给我们的结果。”   

Perczel补充道:“这表明,要突破物理学中存在的这些限制真的非常困难。即使在这样一个看似是完美候选者的系统中,这个限制似乎仍然被遵循着。或许以其他更复杂的方式,用鱼眼透镜实现完美成像仍然是可能的,但不是像最初提议的那样。”

未来,该团队希望与实验物理学家合作,一起测试模拟过程中观察到的量子行为。事实上,在他们的文章中,该团队简短地提出了一种方法,设计用于量子纠缠实验的鱼眼透镜。

Perczel说:“鱼眼镜头仍然有很多秘密,并蕴含着深刻的物理。但是现在,它出现在量子技术中,并表明这种透镜对于遥远量子比特的纠缠可能真的非常有用,这是建造任何有用的量子计算机或量子信息处理设备的基础构件。”

参考链接:
http://news.mit.edu/2018/fish-eye-lens-may-entangle-pairs-atoms-0905
https://link.aps.org/doi/10.1103/PhysRevA.98.033803


大道至简 万物于弧
*滑动验证:
您需要登录后才可以回帖 登录 | 立即注册

本版积分规则

手机版|Archiver|小黑屋|国际弧学研究会    

GMT-7, 2025-10-19 08:54 , Processed in 0.586328 second(s), 22 queries .

Powered by Discuz! X3.1

© 2001-2013 Comsenz Inc.

快速回复 返回顶部 返回列表