设为首页收藏本站

弧论坛

 找回密码
 立即注册
搜索
热搜: 活动 交友 discuz
查看: 3607|回复: 0
打印 上一主题 下一主题

新型磁性Weyl半金属的发现及其巨反常霍尔效应

[复制链接]

5917

主题

6625

帖子

7185

积分

坛主

Rank: 10Rank: 10Rank: 10

积分
7185
跳转到指定楼层
楼主
发表于 2018-9-7 22:23 | 只看该作者 回帖奖励 |倒序浏览 |阅读模式
新型磁性Weyl半金属的发现及其巨反常霍尔效应[color=rgba(0, 0, 0, 0.298)]

[color=rgba(0, 0, 0, 0.298)]刘恩克
中科院物理所
[color=rgba(0, 0, 0, 0.298)]今天
[color=rgba(0, 0, 0, 0.298)]

作为磁性材料的一个重要电输运现象,反常霍尔效应被认为起源于两种不同的机制:一是由杂质原子散射所引起的外禀过程,一是晶体能带的贝利曲率所驱动的内禀行为。作为动量空间里的赝磁场,贝利曲率源于布洛赫电子的带间相互作用,所产生的内禀反常霍尔电导更能抵抗缺陷和热扰动的破坏,具有更高的稳定性,更有利于器件应用。本世纪之初,物理学家发现磁性材料动量空间中的磁单极子可以产生内禀的反常霍尔效应[Science 302 (2003) 92]。现在看来,其中的磁单极子就是人们后来发现的外尔半金属中的外尔点。这进一步为反常霍尔效应的研究提供了全新的能带拓扑理论认识。

作为反常霍尔效应的一个重要参量,反常霍尔角,即横向霍尔电导与纵向电荷电导的比值,反映了纵向驱动电流所能转换为横向霍尔电流的效率。具有大反常霍尔角的材料有望在二维极限下实现量子反常霍尔效应。这对于新一代霍尔器件,尤其是量子反常霍尔器件尤为重要。为了获得大的反常霍尔角,物质需要同时满足两个条件,即(1)高的反常霍尔电导和(2)低的载流子浓度。过去一直没有发现合适的磁性材料满足这样的条件。

近年来,在拓扑物理的研究进展中,人们发现了各种拓扑绝缘体和以Dirac、Weyl半金属等为代表的拓扑半金属。在Weyl半金属中,无质量的手性Weyl费米子作为一种准粒子于2015年被人们发现[Phys. Rev. X 5 (2015) 011029,Phys. Rev. X 5 (2015) 031013],从而引发Weyl半金属的研究热潮。但在非磁性的Weyl体系中,时间反演对称使得反常霍尔效应为零;而在磁性Weyl半金属中,非零的贝利曲率则可能产生较强的反常霍尔效应。作为半金属(semimetal)材料,Weyl半金属具有较低的载流子浓度,其拓扑保护的电子态可以主导体系的输运行为。因此,磁性Weyl半金属为大反常霍尔效应尤其是大反常霍尔角的获得提供了理想的载体。然而,目前已提出的几种磁性Weyl半金属(Re2Ir2O7、HgCr2Se4、Co基Heusler化合物等)在实验上还在确认中,尚未观察到理想的反常霍尔效应。

中国科学院物理研究所/北京凝聚态物理国家研究中心磁学国家重点实验室M05课题组一直从事磁性功能新材料的探索研究。该组的刘恩克副研究员在洪堡基金支持下,赴德国德累斯顿马克思-普朗克固体化学物理研究所交流访问,进行磁性拓扑材料及磁电输运研究。最近,刘恩克与Claudia Felser教授合作,偕同多个国际研究团队,在Shandite化合物家族中发现了一类新的磁性Weyl半金属Co3Sn2S2,测量到了内禀的大反常霍尔电导和巨反常霍尔角。

Shandite化合物具有M3M’2X2(M为过渡族金属,M’为主族金属,X为硫族元素)化学式,含有由过渡族金属所构成的kagome二维晶格结构。磁性kagome晶格是凝聚态物理中自旋液体、量子反常霍尔效应、磁性Skyrmion等新物态产生的一个重要平台,而磁性Shandite化合物Co3Sn2S2也认为是单自旋铁磁体(half metal),本工作对该体系进行了深入研究。该体系在Shandite家族中具有最高的居里温度(175 K),其磁性来自于Co原子所构成的kagome晶格,且磁矩垂直于该二维格面。刘恩克对其电子带结构进行了计算,观察到了自旋向下通道于费米能级处出现能隙的单自旋性质,并发现在自旋向上的通道中存在强的能带反转和线性交叉,这是磁性Weyl态可能存在的关键特征。

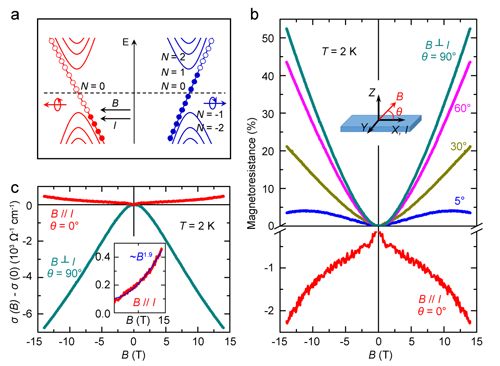
随后,刘恩克采用自助溶剂等方法生长了高质量单晶样品。在150 K的宽温区内观察到了大反常霍尔电导(~1130Ω-1cm-1)和巨反常霍尔角(~20%),均比常规磁性材料高出一个数量级。电输运测量表明,Co3Sn2S2具有非饱和的正磁电阻和低的载流子浓度,表现出补偿型半金属特征。同时,反常霍尔电导对温度和纵向电导均无依赖关系,使得该体系在反常霍尔效应的统一模型中居于内禀的“贝利相位”区,表明该体系中的反常霍尔效应来源于动量空间的贝利曲率。在较宽的温区内稳定存在的贝利曲率与低载流子浓度半金属特性使得Co3Sn2S2获得了巨大的反常霍尔角。

该研究与马普所从事理论计算的孙岩博士进行合作,对Weyl相进行了深入研究。结果表明,体系在能带反转导致的节线环上打开小能隙,但在其附近产生了3对手性相反的Weyl节点。节点距离费米能级仅有~60 meV,易于对Weyl相关的电输运行为进行观测。基于贝利曲率计算的内禀反常霍尔电导(~1100Ω-1cm-1)与实验测量高度一致。实验观察到了强磁场下磁电阻的Shubnikov-de Haas量子振荡和手性异常(chiral anomaly)所导致的负磁电阻现象,而ARPES也测量到了理论预期的能带色散和费米面分布。这些共同证明了理论计算的准确性和可靠性,为磁性Weyl拓扑相的存在提供了实验证据。

该工作结合理论计算和电输运测量,发现了一类新的磁性Weyl半金属体系。获得了同时具有大反常霍尔电导和巨反常霍尔角的拓扑磁体,紧密地将拓扑物理与自旋电子学关联起来,为基础研究和器件应用提供了重要基础。该研究也是首次在磁性kagome晶格上发现Weyl费米子的存在,为高温量子反常霍尔效应的实现提供了理想的载体。

相关研究已于2018年7月30日发表在Nature Physics上。本研究得到了德国洪堡基金、国家基金委“优青”基金(51722106)等项目的支持。本工作投稿后[arxiv:1712.06722],类似的结果也被另外一个独立的研究团队所发现[arxiv:1712.09947]。

文章链接:


                               
登录/注册后可看大图
图一: Co3Sn2S2的晶体结构、半金属电子结构及电输运行为


                               
登录/注册后可看大图
图二:Weyl节点、贝利曲率及反常霍尔电导的理论计算


                               
登录/注册后可看大图
图三:Weyl费米子手性异常所产生的负磁电阻行为


                               
登录/注册后可看大图
图五:反常霍尔角及其与常规磁性材料的对比关系

编辑:雾里熊


大道至简 万物于弧
*滑动验证:
您需要登录后才可以回帖 登录 | 立即注册

本版积分规则

手机版|Archiver|小黑屋|国际弧学研究会    

GMT-7, 2025-10-19 08:58 , Processed in 0.523017 second(s), 22 queries .

Powered by Discuz! X3.1

© 2001-2013 Comsenz Inc.

快速回复 返回顶部 返回列表