设为首页收藏本站

弧论坛

 找回密码
 立即注册
搜索
热搜: 活动 交友 discuz
查看: 3892|回复: 0
打印 上一主题 下一主题

如何科学赞美年夜饭?妈,你煮的饺子热力学平衡太完美了!

[复制链接]

5917

主题

6625

帖子

7185

积分

坛主

Rank: 10Rank: 10Rank: 10

积分
7185
跳转到指定楼层
楼主
发表于 2019-2-3 19:01 | 只看该作者 回帖奖励 |倒序浏览 |阅读模式
如何科学赞美年夜饭?妈,你煮的饺子热力学平衡太完美了![color=rgba(0, 0, 0, 0.298)]

[color=rgba(0, 0, 0, 0.298)]向菲菲
中科院物理所
[color=rgba(0, 0, 0, 0.298)]Today
[color=rgba(0, 0, 0, 0.298)]



                               
登录/注册后可看大图
图片来自 Vecteezy

撰文 向菲菲

在一次学术访问中,意大利超导物理学家安德烈·瓦拉莫夫(Andrey Varlamov)来到了复旦大学,陈焱教授及其学生周正带着他在上海逛吃逛吃,其中小笼包,饺子和火锅让他最为印象深刻。

接下来,三人一起用热力学的知识分析了这些食物的烹饪过程,试图回答一个重要的问题:为什么蒸、煮、涮都是利用水的沸腾来进行烹饪,但做出来的食物的口味和口感却如此不同。这篇文章于 2018 年 6 月份在线公开(论文链接)。


假设一个理想的球形肉丸……

首先假设要研究的包子和饺子都是肉馅的,那么烹制包子、饺子的过程就涉及到肉类从生变熟的过程。

肉制品是由一系列复杂的蛋白质构成的。生肉中的蛋白质呈现出纠缠的长链状,在加热的过程中,随着温度升高,蛋白质长链开始打开、变直;当温度达到肉制品的临界温度值 Td 时,蛋白质长链会被“挤压”成类似地毯的形状,这个过程就是蛋白质的变性。不同肉类的临界温度稍有不同,但总的来说,蛋白质变性通常发生在相对较低的温度:肉类的变性温度在 55°C-80°C 之间,而鱼肉的温度则更低一些。总之,用沸水煮熟的肉类,我们都能够确定它们的蛋白质已经变性完全。


                               
登录/注册后可看大图

蛋白质变性的过程。| 图片来自论文

从物理学的角度上看,生肉和熟肉的不同之处在于其蛋白质的状态不同,也就是它们所处的能量不同。让蛋白质变性需要越过一个能量势垒。在室温下,这个能垒比较高。在烹饪的过程中,随着温度逐渐升高,蛋白质中的能量会相应改变。当达到下图中的最高点时,蛋白质将会进入一个新的状态,发生变性,肉就做好了。这就是烹制肉类食品的过程。


                               
登录/注册后可看大图
蛋白质在温度升高时越过能量势垒的示意图。| 图片来自论文

就物理学过程而言,不论是包子还是饺子,烹饪的最终目的就是让里面的肉馅变熟,即在烹制过程中令温度达到能使给定体积下的肉开始变性的最低温度。蒸和煮这两个过程都能给包子和饺子里的肉馅提供 100°C 的温度。因此综合上面的描述,作者们提出了煮肉的一个最简单的模型:假设要烹制的肉是一块具有球形对称形状的均匀肉丸,半径为 R,初始温度为 T0,热导系数为 κ,放置在一个具有固定温度为 Te 的环境中。那么要让肉丸中间的部分达到温度 Tg 需要多长时间?


                               
登录/注册后可看大图
热量在球形对称的肉丸中渗透。| 图片来自论文

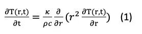
在数学物理中,球形内部的热传导过程由一个复杂的微分方程描述:

                               
登录/注册后可看大图
其中,T(r,t) 是在 r 点,t 时间下的温度,κ 是热导系数,ρ 是密度,c 是比热。由于蒸和煮都能为肉丸提供 100°C 的温度。因此,

                               
登录/注册后可看大图
假设要蒸的包子和饺子都是刚刚从冰箱冷藏室拿出的,因此整个肉丸处于 4°C 的温度状态:

                               
登录/注册后可看大图
方程(2)和(3)决定了微分方程的边界条件。把这三个公式交给数学家,再告诉他们肉的热导系数,密度,比热,他们就能写出世界上最精确的炖肉食谱。


为什么小笼包如此美味多汁?

蒸的过程就是利用处于 100°C 的水蒸气将放置其中的食物加热。瓦拉莫夫和合作者们提出的问题,就是在热力学上如何维持包子表面100°C的温度


                               
登录/注册后可看大图

图片来自 Pixabay

将刚从 4°C 的冰箱拿出的冷包子放入蒸笼里时,包子表面附近的水蒸气处于极度过饱和状态。它们开始在包子表面快速凝结,并迅速升温至环境温度—— 100°C。

假设温度的跳跃式改变发生在一个靠近包子表面的非常小的区域,再利用(2)和(3)边界条件和公式(1);考虑蒸的过程中热流是由每秒“着陆”在 1cm2 包子表面的水蒸气提供的,因此单位时间单位平方厘米的包子外皮上凝聚的水分子数为


                               
登录/注册后可看大图

其中 Γ 代表蒸发的比热,N(t) 是单位时间内凝聚的分子数,m(t) 是凝聚分子的质量,NA 是阿伏伽德罗常数,μH2O 是水分子的分子质量。

包子可以“感知”自己需要多大的热流来维持表面 100°C 的温度。因此我们只需要知道水蒸汽从哪里来,就能知道在给定的一秒钟内,包子表面一平方厘米上会凝结多少个水分子。


                               
登录/注册后可看大图

蒸包子过程中水的相图。| 图片来源论文

和煮相比,蒸有哪些好处?作者们在论文中指出:“由于扩散作用,水渗透进馄饨中,并与馄饨中的肉馅相互作用,使其具有多汁的口感;然而同样的扩散也存在于从馄饨内部扩散到煮馄饨的水中,将馅料的味道稀释。而在蒸包子的过程中,包子处于饱和蒸汽的环境中,但是却没有相反的过程出现。因此,蒸的小笼包的口感会比煮的馄饨更加多汁,并且馅料的味道也更加丰富。


煮饺子为什么比蒸要快?

煮的过程与蒸的过程类似,都是利用沸腾的水来加热食物,不同之处在于需要直接将食物扔进 100°C 的沸水里。那么,将与包子放在同一个冰箱中的饺子拿出来直接丢进沸腾的热水里,饺子肉馅内部的热传递过程和边界条件也适用于前面提到的公式(1)~(3)。


                               
登录/注册后可看大图

图片来自 Unsplash

但如何确定上面那个复杂方程的解呢?在这里作者利用了量纲分析方法。肉馅中的蛋白质变性的温度与水的沸点在同一个数量级(有 20%-25% 的差异)。因此,假设将关键温度传递到一个球状固体的中心所需的时间只与这个固体的材料参数有关:肉的热导系数,密度,比热和半径。经过一系列运算最后得到煮饺子的时间与上述参数的关系为:

                               
登录/注册后可看大图
其中,C0 为未知的常数项。将 κ, ρ, c 的具体数值代入公式中,可得到肉的温度传导系数 χ=
大道至简 万物于弧
*滑动验证:
您需要登录后才可以回帖 登录 | 立即注册

本版积分规则

手机版|Archiver|小黑屋|国际弧学研究会    

GMT-7, 2025-10-19 14:35 , Processed in 0.757444 second(s), 22 queries .

Powered by Discuz! X3.1

© 2001-2013 Comsenz Inc.

快速回复 返回顶部 返回列表