设为首页收藏本站

弧论坛

 找回密码
 立即注册
搜索
热搜: 活动 交友 discuz
查看: 3507|回复: 0
打印 上一主题 下一主题

物理定律告诉你,爱情的真相有多么残酷!

[复制链接]

5917

主题

6625

帖子

7185

积分

坛主

Rank: 10Rank: 10Rank: 10

积分
7185
跳转到指定楼层
楼主
发表于 2019-2-16 02:36 | 只看该作者 回帖奖励 |倒序浏览 |阅读模式
物理定律告诉你,爱情的真相有多么残酷![color=rgba(0, 0, 0, 0.298)]

[color=rgba(0, 0, 0, 0.298)]From [color=rgba(0, 0, 0, 0.298)]刘翼豪
中科院物理所
[color=rgba(0, 0, 0, 0.298)]3 days ago
[color=rgba(0, 0, 0, 0.298)]

[color=rgba(0, 0, 0, 0.298)]

又到了每年的情人节。去年,我们切合时宜地发布了《物理定理告诉你,天下有情人终将分手!》一文,用概率论、热力学、天文学等模型得出了结论:
  天下有情人终将分手!

                               
登录/注册后可看大图

今年,我们将延续去年的研究,尝试将“爱情”引入到物理学的各种经典概念及理论之中,以求得到一个大统一的理论。
一番努力之后,我们不得不遗憾地告诉你:
打扰了,在物理的世界中爱情更加残酷!

                               
登录/注册后可看大图


看完本文,你将知道以下知识点:
  • 你以为你为什么凭本事单身 20 年?
    ——单身惯性定律
  • 为什么那么多人会当舔狗?
    ——恋爱反作用力
  • 为什么说“小别胜新婚”?
    ——恋爱势能与恋爱动能
  • 为什么异地恋分得快?
    ——异地感情衰减定律
  • 恋爱中谁会处于主动一方?
    ——爱情胡克定律
  • 吵架对感情有什么影响?
    ——爱情摩擦力
  • 如何让一段感情破裂?
    ——爱情热力学第一定律
  • 恋爱久了为什么会“累觉不爱”?
    ——爱情热力学第二定律
  • 为什么约会中的人总感觉时间过得太快?
    ——恋爱狭义相对论
  • 如何追到心爱的人?
    ——恋爱光电效应
  • 为什么暗恋中的人内心纠结?
    ——暗恋态叠加原理

物理学,是一门研究物质运动规律及物质基本结构的学科,物质、能量、运动、时空及其相互间关系都是物理学的研究范畴。从宇宙星空到原子夸克,物理无所不包、无所不研,物理学的终极目的就是揭开宇宙万物的奥秘。

▲ Dominic Walliman 绘制的物理学地图

经过几百年的发展,物理学大致可分为三个主要部分:经典物理、量子物理、相对论。其中,经典物理以牛顿力学为奠基,包括牛顿运动理论、热学、电磁学、光学等;普朗克辐射定律的提出标志着量子物理的诞生,该分支将研究重点聚焦在了微观粒子的运动规律上,包括原子、分子、凝聚态物质,以及原子核和基本粒子的结构及性质等;相对论由爱因斯坦提出,包括狭义相对论和广义相对论,该理论把物质与能量、空间与时间统一了起来。

目  录

1 经典物理观下的爱情
    1.1 经典力学
        1.1.1 牛顿运动定律
        1.1.2 相互作用力
        1.1.3 爱情引力模型与异地感情衰减定律
        1.1.4 爱情胡克定律
        1.1.5 爱情摩擦力
    1.2 热力学
        1.2.1 爱情热力学第一定律
        1.2.2 爱情热力学第二定律
2 相对论与爱情
    2.1 狭义相对论
        2.1.1 相对性原理与光速不变原理
        2.1.2 洛伦兹变换
3 量子力学中的爱情
    3.1 黑体辐射与普朗克常量
    3.2 光电效应中的恋爱启示
    3.3 不确定性原理
    3.4 薛定谔的猫与暗恋

摘 要

本文使用经典物理、相对论、量子物理分别对爱情进行了建模,得到了一系列关于爱情的定律和启示,包括单身惯性定律、舔狗反作用力、异地感情衰减定律、恋爱能量耗散定律、暗恋叠加态表白坍塌现象、恋爱光电效应启示等。经过一番推导,我们使用物理公式揭示了爱情残酷的真相:理论上,单身狗基本上是没救了,但情侣们也不要高兴得太早,因为你们迟早也会回到最稳定的基态——单身态


1. 经典物理观下的爱情

1.1
经典力学
经典力学是物理学的基础组成部分。它们描述了万物是如何运动的,并且研究了物体运动的原因。我们下面尝试使用经典力学对爱情进行描述。

1.1.1
牛顿运动定律
牛顿运动三定律是动力学的基本规律。我们假设爱情是一种作用力,把人作为研究对象,则推广得到爱情三定律如下:

爱情第一定律:任何人都将保持其单身或恋爱状态,除非作用于他的爱情力迫使他改变这种状态。
爱情第二定律:情感状态的变化与所作用的爱情力成正比。
爱情第三定律:两个人之间的爱情作用力是相互的,大小相等,方向相反。

下面我们对这三定律进行更加详细和定量的分析。
第一定律对应牛顿运动定律中的“惯性定律”,即力是改变物体运动状态的原因。乍一看,将这一定律推广到爱情之中,十分自然和准确。这说明:想要脱单,要么有人喜欢你,要么你想办法去追到别人。但如果你是单身狗,而且没有人喜欢你,并且你还不主动,那么你就别白日做梦某天你会突然脱单了!天天宅在家里和宿舍是不会改变你的单身状态的!


                               
登录/注册后可看大图

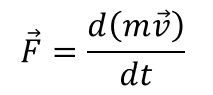
牛顿第二定律表述为“物体加速度的大小跟作用力成正比,跟物体的质量成反比,且与物体质量的倒数成正比;加速度的方向跟作用力的方向相同。”用公式表达为:


                               
登录/注册后可看大图


考虑到 m 的运动不变性,上式进而可写为:

                               
登录/注册后可看大图

其中,m 是物体的惯性质量,a 是加速度。
为了将爱情统一进该框架,我们假设爱情是一种作用力,则有如下公式成立:


                               
登录/注册后可看大图

其中,Flove 是爱情作用力,具体的形式和性质我们将在1.1.2 节中讨论。
mc 是惯性魅力,表示一个人的魅力值大小。其中,魅力值与外貌、学识、能力、财富等有关。在长时间跨度上,一个人的 mc 是会变化的;但在短时间内,可认为 mc 是一个定值。
v 表示恋爱进展,v 越大代表恋爱的感觉越明显,进展越快。
a 在这里是一个重要的量,称为恋爱加速度,表示一个人陷入恋爱关系的快慢。 a 越大,说明沉迷于该恋爱关系的速度越快。 a 衡量了一个人对另一个人陷入感情漩涡的深浅(迷恋对方的程度)。
牛顿第三定律说明了这样的事实,力是相互的,A 对 B施加了一个力,那么 B 对 A 也会产生一个大小相同但方向相反的反作用力,并且作用力和反作用力是同一性质的力。值得注意的是,虽然作用力与反作用力大小相同,但是作用在不同的物体上,而且产生的作用效果也不一定相同。
正如上面说的,虽然作用力与反作用力大小相同,但力的作用效果却可以不一样。例如,对于相互吸引的爱情来说,爱情作用力的作用效果就是让对方喜欢上你,也即让对方的增大。根据上面的公式,不难看出,在相同的爱情作用力 Flove 下,一个人的惯性魅力mc 越大,a 就越小。这就好比很多人心中的爱豆,这些明星的 mc 值很大,对于相同的 Flove,明星的 a 值很小很小,但是粉丝的 a 值却很大很大。于是,粉丝就会不可自拔地“爱上”这些明星,陷入恋爱的漩涡,产生这是自己的对象的错觉,天天和别人说这是自己的老公/老婆,并且为之争风吃醋。然而,明星们却丝毫不会为之所动,甚至连你是谁都不知道。

1.1.2
相互作用力
迄今为止,我们发现自然界中存在四种基本的相互作用力:万有引力相互作用、电磁相互作用、弱相互作用、强相互作用。爱因斯坦在提出相对论之后,就一直在研究“大统一理论”,希望能将四种基本作用力统一到一个框架之下。其中,电磁作用和弱相互作用已被统一为电弱作用。
强作用和弱作用是短程力,作用范围仅仅在原子核尺度内;电磁作用和引力作用则是长程力,大小随距离的二次方反比衰减。


                               
登录/注册后可看大图

生活中常见的力除了重力属于引力作用外,其他都属于电磁作用,例如摩擦力、弹力等。
自然界中任何物体之间都存在万有引力。万有引力作用的大小为:


                               
登录/注册后可看大图

其中,G = 6.673 x 10-11 N·m2/kg2,称为引力常量。M 和 m 为两物体的质量,r 为它们之间的距离。
真空中两个静止点电荷之间的相互作用力可以用库仑定律描述:


                               
登录/注册后可看大图

其中,k 是静电力常量,Q1 和 Q2 分别为两个电荷所带点量(带符号)。
库仑定律和万有引力定律中相互作用的两个物体,它们不需要发生接触就对彼此产生了作用力,因此也被称为超距作用。不过,随着物理研究的深入,人们现在发现了场物质的存在。场物质之间通过接触实现相互作用,场物质与物体之间也通过接触实现相互作用,所以场是传递物质间相互作用的媒质。


                               
登录/注册后可看大图
▲ 电场以及电场线,图片来自 Brilliant

库仑定律和万有引力定律在形式上十分相近。不过,库伦定律稍有特殊。研究发现,如果 Q1是静电荷, Q2 是运动电荷,那么静电荷对运动电荷的作用力 F2 在上式依然成立,但运动电荷对静电荷的作用力 F1 不再满足上式,需要修正,并且随着运动速度的提升,修正量越大。于是有下式:


                               
登录/注册后可看大图

这是不是违背了牛顿第三定律了呢?事实上,在电荷周围存在着某种“看不见”的物质,这种物质分布在空间中且对电荷有作用力,我们把这种看不见的物质称为电磁场。运动电荷与静止电荷在电磁场中受力有差异。我们可以认为 F1 和 F2 在这里只是电磁场下的一对作用力与反作用力相对应的一对分力。所以在这种情况下,F1 和 F2 的大小有所不同。


                               
登录/注册后可看大图
▲ 地球磁场示意图。图片来自 Earth's Magnetic Field image via Shutterstock


1.1.3
爱情引力模型与异地感情衰减定律
正如在参考文献 [1] 中所述,我们可以很自然地将万有引力定律推广到爱情中


                               
登录/注册后可看大图

其中,
G:恋爱常量,是一个常数;
r:两个人的距离
Mc、mc:惯性魅力,已在 1.1.1 节中阐明;
ρ:契合系数,与两个人默契程度以及各自的惯性魅力分布有关。
由此,我们得到了 1.1.1 节中 Flove 的一种确定形式——爱情引力
同万有引力一样,爱情引力与两个人的距离平方成反比。随着距离变大,两个人之间相互吸引的引力也随之衰减。这一点其实也很直观,我们很多时候都是对身边熟悉的人产生好感,远隔千里的人我们就很难吸引彼此。
同样,follow 文献 [1],为了定量刻画爱情发展的影响,我们引入以下概念:
Ek_love:恋爱动能,表示恋爱系统中的恋爱发展的能量,值越大说明恋爱过程越如火如荼,恋情发展越快,感情越好。恋爱动能的表达式如下

                               
登录/注册后可看大图

Ep_Love:恋爱势能,表示恋爱系统中的潜在发展的能量,可以转化为恋爱动能或其他形式的能量。取无限远处的势能为 0,则恋爱势能的表达式如下:


                               
登录/注册后可看大图

距离越远,势能就越大。当一对情侣分开一段时间之后,再次相聚时,势能转化为了动能,这就使得动能增大,如干柴遇上烈火,感情迅速升温。这就是为什么大家都说“小别胜新婚”
下面我们来分析异地恋对感情的影响。
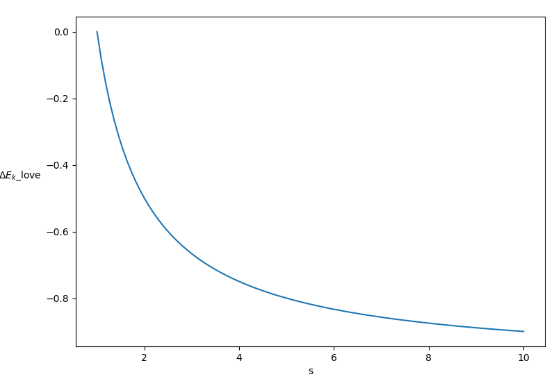
我们来计算情侣分开变为异地恋后损失的恋爱动能的大小。假设一对情侣原来的距离为 s0,现在成为了异地恋,相隔的距离为 s,则这个过程中恋爱引力做的功为:


                               
登录/注册后可看大图

距离变远,恋爱引力做负功,于是恋爱势能增加 |W|。能量守恒定律是万物遵循的基本定律之一。根据能量守恒,在这个过程中,有

                               
登录/注册后可看大图

可以看出,异地恋会导致爱情动能的减少


                               
登录/注册后可看大图
从图像上可以看到,s 越大,爱情动能减少越多,就会导致恋爱进入停滞状态,放缓两个人关系的进展,感情逐渐消磨。最关键的是,恋爱势能如果不及时转化为恋爱动能,就会转化为其他能量,长时间的耗散之下,虽然下一次转化为动能时会令感情升温,但是能转化的总动能却也随之减少了,因为异地的时候消耗了太多能量。


                               
登录/注册后可看大图

长此以往,两个人之间的恋爱动能就会越来越少,感情逐渐消散。这就是著名的异地感情衰减定律:距离是破坏感情的一大因素,随着距离的增加,感情也会随之衰减。

1.1.4
爱情胡克定律
生活中常见的力有重力、弹力、摩擦力、浮力等等。下面我们选择弹力和摩擦力进行分析。
弹性物体会因为形变产生回复力。假设弹性体无形变时的长度为 L,称为自由长度。通过拉伸或者压缩后,物体发生了 △x 的形变量,则物体产生的弹力可用胡克定律描述:


                               
登录/注册后可看大图

其中,k > 0,称为劲度系数,与材料本身的性质有关。
我们对爱情建模如下:假设每个人是空间中的一个小球,小球系在一根弹性系数为 k 的弹簧上,如下图所示:


                               
登录/注册后可看大图

▲ 一张虽然抽象但是很有灵魂的示意图

此时弹簧处于自由状态,没有拉伸。
假设空间中另一个人出现了。假设两个小球的初始距离为 L,小球的初速度均为 0,两根弹簧初始时均无形变,弹性系数均为 k。墙固定不动,空间为理想空间,没有能量耗散。此时,两个小球就会开始运动。小球的加速度为:


                               
登录/注册后可看大图

其中,Flove 是爱情引力。可以看出,小球将做变加速运动。事实上,这两个小球会一直振动下去。为了简化,我们假设 Flove 不变(实际上 Flove 是会改变的,因为引力与距离有关),那么模型就退化成为了一个弹簧振子模型,小球做简谐运动

                               
登录/注册后可看大图
周期为:


                               
登录/注册后可看大图

可以看到,惯性魅力 m 越小,振动周期也越小,即运动的频率越快。结合 1.1.1 节中的内容,这说明:在一段恋爱关系中,惯性魅力 m 大的一方处于主动一方。惯性魅力 m 小的一方恋爱的感觉会更强烈,越容易出现小鹿乱撞的感觉。这就解释了为什么你在自己的男神/女神面前心会扑通乱跳,来回欢腾,可惜的是对方内心毫无波动甚至有些想笑
上面我们将模型做了简化,但事实上,Flove 在这里是会改变的。此时,两个小球仍然会做振动,不过不再是简谐运动。这种情况下,求解此问题会变得更加复杂,这里我们使用 Mathematica 软件给出几组数值解。


                               
登录/注册后可看大图

                               
登录/注册后可看大图
▲ 用于模拟计算的参数分别为 L = 1,m1 = m2 = 1,k1 = k2 =1,G = 1

当距离太近时,两小球会相撞,说明近亲不能结婚在物理上也是有理论依据的!


                               
登录/注册后可看大图
▲ 另一组用于模拟计算的参数, L = 1,m1 = m2 = 1,k1 = k2 =1,G = 0.01

当引力较小时,近似于简谐运动。


                               
登录/注册后可看大图
▲ G = 0.01,k1 = 1,k2 = 5,m1 = m2 = 1,L = 1

当两个人魅力值相当时,劲度系数小的被吸引的距离会更远,但劲度系数大的运动周期会更短。


                               
登录/注册后可看大图
▲ G = 0.1,k1 = k2 = 1,m1 = 1, m2 = 0.5,L = 1

当引力较大时,可以看出此时已经不是简谐运动。
关于这个问题更多的细节和延伸,我们将其 remain as an open issue,欢迎大家积极讨论!

1.1.5
爱情摩擦力
两个物体接触面具有相对滑动趋势或已有相对滑动时,接触面上会产生阻碍相对运动趋势或阻碍相对滑动的力,这就是摩擦力。前者称为静摩擦力,后者称为滑动摩擦力。
固态物理间的静摩擦力大小是可变的,取决于受到的其他力的大小。但静摩擦力有上限。实验表明,最大静摩擦力与两物体接触面间的法向弹力(例如正压力与支持力)N 成正比,即


                               
登录/注册后可看大图

其中 μs 是静摩擦因数。
固态物体间的滑动摩擦力是一个定值,大小 f 与 N 成正比,有


                               
登录/注册后可看大图

其中 μk 为滑动摩擦因数。一般来说,μs 大于 μk


                               
登录/注册后可看大图
▲ 动摩擦力与静摩擦力关系示意图。图片来自 Doug Davis

这告诉我们:爱情中的两个人无法避免地会发生摩擦,如果你对对方施加的压力越大,那么你们之间的摩擦力也就越大。摩擦力越大,恋爱动能耗散也就越大。这说明了吵架与摩擦,会让彼此的感情消磨衰减。

1.2
热力学
热力学是从宏观角度研究物质的热运动性质及其规律的学科。它与统计物理学分别构成了热学理论的宏观和微观两个方面。热力学主要是从能量转化的观点来研究物质的热性质。下面我们从热力学的角度分析爱情。

1.2.1
热力学第一定律
热力学第一定律是能量守恒和转化定律在一切涉及宏观热现象过程中的具体表现。其本质就是普适的能量守恒定律。
热力学第一定律可表述为:热量可以从一个物体传递到另一个物体,也可以与机械能或其他能量互相转换,但是在转换过程中,能量的总值保持不变。
设系统发生变化时,与外界交换的热量为 Q(吸热为正,放热为负),与外界交换的功为 W(对外做功为负,外界对系统做功为正),可得热力学能(亦称内能)的变化为:


                               
登录/注册后可看大图

我们接下来把恋爱中的两个人看作一个系统。系统的内能越大,说明两个人的恋情发展得越好,感情越热火朝天。热力学第一定律说明:想要让恋情发展得好,就必须源源不断地从外界吸收热量(例如制造浪漫、看电影、烛光晚餐、旅游等),或者让外界对系统做功(让朋友、家人疯狂撮合与打call)。

                               
登录/注册后可看大图

如果恋爱系统放热(吵架、劈腿)或者外界对系统做了负功(父母不同意,对情侣施压),那么两个的感情就会降温,失去热情。

1.2.2
热力学第二定律及熵增原理
热力学第二定律是限定实际热力学过程发生方向的热力学规律。该定律有如下几种表述方式。
开尔文表述:不可能从单一热源吸收热量,并使之完全变成有用功而不产生其他影响。开尔文表述揭示了自然界普遍存在的功转化为热的不可逆性。
克劳修斯表述:热量不可能自发地从低温物体传到高温物体。这说明:两个人的感情一旦变差,是不可能自发地再次回暖的
热力学第二定律还可以用熵增表述:孤立系统的熵永不自动减少,熵在可逆过程中不变,在不可逆过程中增加。这就引出了文献 [1] 中的恋爱能量耗散定律。
恋爱能量耗散定律:恋爱系统是一个耗散结构,谈恋爱是一个熵减过程。人们需要不断向该系统提供能量以维持稳定,否则系统的有序性就会被破坏。


                               
登录/注册后可看大图
▲ 熵增原理

从单身到恋爱,这是一个从无序到有序,从混乱到稳定的过程。从这个角度来看,恋爱其实是一个熵减过程,其宏观表现包括:男生变得会收拾房间更注意卫生了,女生变得更加精致充满魅力了,两个人从陌生变得越来越熟悉了(信息熵减少)……
恋爱系统不是孤立系统,要想让该系统朝着稳定有序的方向发展,就必须从外界向系统内提供能量。这就要求恋爱中的至少一方要不断汲取外界的能量然后向注入到系统之中。


                               
登录/注册后可看大图

比如,为了维持信息熵的稳定,你们可能每天都得打电话、聊微信、互道晚安,以此获取信息,增加彼此的熟悉感;为了保持新鲜感,你们需要经常设计一些浪漫的惊喜,制造一些温馨的氛围;为了维持系统的有序,你们可能需要放弃自己原有的一些生活习惯、兴趣爱好,去适应对方的生活节奏,融入到彼此的圈子,以此让系统达到有序一致;钱也可以看作一种能量,有时为了维持恋爱系统的问题,你还必须把这种特殊的能量注入进去……
以上种种,无一不说明,要维持恋爱关系的稳定,双方都必须投入大量的时间、精力、金钱,否则恋爱系统一旦与外部隔绝成为孤立系统,根据热力学定律,熵一定会自发增大,导致之前所做的一切努力都白费。
这就是为什么谈恋爱会很累的原因,一旦你无法再有精力将外界吸取的能量注入到恋爱系统之中,你就会感到累觉不爱,进而分手。


                               
登录/注册后可看大图



2. 相对论与爱情

相对论由爱因斯坦提出,包括狭义相对论和广义相对论两部分。相对论颠覆了长期以来人们对宇宙、时间、空间的认识,提出了“光速不变性”、“时间变慢”、“四维时空”、“时空扭曲”等概念和原理。下面我们尝试使用相对论引入到爱情之中。


                               
登录/注册后可看大图


2.1
狭义相对论

2.1.1
相对性原理与光速不变原理
在经典力学中,牛顿的绝对时空观是所有经典理论的基础。伽利略和牛顿认为,时间和空间都是绝对的、彼此独立的,与物质的存在和运动无关。同时性、时间间隔和空间距离都是绝对的,与参考系的选择无关。在绝对时空观下,我们可以推导得到伽利略变换。
19 世纪,麦克斯韦提出了著名的麦克斯韦电磁场方程组。由该方程组可以推导得到:电磁波(光)在真空中各方向速率都是


                               
登录/注册后可看大图

其中,ε0 是真空介电常数,μ0 是真空磁导率。
但根据伽利略变换,光速在不同的惯性系中应该对应不同的测量值。于是,当时的人们认为应该存在一个绝对静止的参考系,称之为“以太系”。为了找到以太系,迈克尔逊和莫雷设计了一个光的干涉实验。如果真的存在绝对静止的以太系,那么该实验应该能观测到光的干涉条纹的移动。但令人失望的是,在测量精度足够的情况下,该实验并没有出现预期的结果。迈克尔逊-麦雷实验的失败,表明以太系不存在。这使得经典理论陷入了危机。
为了解决这个问题,爱因斯坦直接否定了以太的存在。他认为麦克斯韦方程组应该在所有的惯性参考系中都成立。更进一步,他认为物理世界的规律应该是简单而统一的,于是提出了狭义相对论的基本假设之一 —— 相对性原理


                               
登录/注册后可看大图

作为普适的物理规则,爱情同样有相对性原理:爱情规律对所有恋爱惯性参考系都是一样的,都具有相同的数学形式,不存在任何一个特殊的恋爱惯性参考系。
这说明,以上我们推导的所有爱情规律、公式,不以参考系的改变为转移。无论你现在是恋爱速度为 0 的单身参考系,还是高速运动中的热恋参考系,你都将遵循这些恋爱定律,

                               
登录/注册后可看大图

该吵就得吵,该分就得分,该单就得单……
紧接上面的讨论,狭义相对论的另一个重要原理就是光速不变原理


                               
登录/注册后可看大图

这说明无论是相对地面静止的光源,还是疾驰的汽车上面打出的大灯,光速都是一样的。光速不变原理与伽利略变换是矛盾的。因此,我们必须抛弃绝对的时空观。

2.1.2
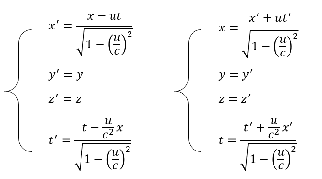
洛伦兹变换
根据相对性原理和光速不变原理,可以得到洛伦兹变换:


                               
登录/注册后可看大图
▲ 洛伦兹变换。左侧为正变换,右侧为逆变换。

其中 u 是两个惯性系的相对运动速度。
  • 当 u<<c 时,洛伦兹变换退化为伽利略变换。
  • 运动物体在运动方向上尺度收缩
  • 运动物体的相对时间变慢

这就合理的解释了生活中的现象:
恋爱中的人 v 值很大,而单身的人 v 很小或者为零。他们各自并不能感受出时间的变化,但实际上单身狗和情侣之间的时间间隔并不相同。于是,当单身狗看到周围的情侣时,就会感觉他们怎么总在一起,有一种这对情侣已经在一起很久了的错觉。


                               
登录/注册后可看大图

情侣约会的时候,由于 v 值迅速增大,导致情侣间的时间尺度相对于平时的生活时间尺度变慢,但约会中的情侣并不能感受到这种变化。一旦约会结束后,回归到正常的时间中,就会发现时间已经过去了很多。这就是为什么情侣们总感觉自己没和他/她约会多长时间啊,怎么一天就过去了!



3. 量子力学中的爱情

量子力学是研究物质世界微观粒子运动规律的物理学分支,主要研究原子、分子、凝聚态物质,以及原子核和基本粒子的结构、性质的基础理论。它与相对论一起构成了现代物理学的理论基础。

3.1
黑体辐射与普朗克常量
黑体是一个理想化的模型。它能完全吸收各种波长的电磁波而不发生反射和透射。


                               
登录/注册后可看大图
▲ 维恩设计的理想黑体

黑体所辐射出的电磁波称为黑体辐射。黑体辐射只与黑体的温度有关,而与材料及表面状态等无关。利用黑体可以避开材料的具体性质普遍地研究热辐射本身的规律。


                               
登录/注册后可看大图
▲ 通过实验得到的黑体辐射规律如上图。

为了拟合实验数据,人们分别提出了维恩公式瑞利-金斯公式。但维恩公式在长波段与实验不符合,瑞利-金斯公式则在短波段是发散的,这被称为“紫外灾难”。
1900 年,德国物理学家普朗克根据实验数据拼凑了一个公式,这个公式可以很好地拟合实验曲线(关于普朗克公式的更多内容可以阅读此文)。为了解释这个公式,普朗克提出了能量不连续的假说。
普朗克认为,能量不是连续的,只能取某一最小能量的整数倍,即频率为 ν 的电磁振动和原子、分子等物质发生能量转换时,能量不能连续变化,只能“量子”式地变化,每份“能量子”为


                               
登录/注册后可看大图

其中 h 称为普朗克常数。
量子理论由此诞生,普朗克也因此获得了诺贝尔物理学奖。
为了将量子理论引入到爱情之中,我们假设恋爱能量不是连续的,而是一份一份的,称为“爱情能量子”。有了这个假设,我们就可以将量子力学与爱情建立联系。

3.2
光电效应中的恋爱启示
赫兹在 1887 年发现了光电效应:光照射某些金属时,金属能从表面释放出电子。产生的电子称为光电子。(1896 年汤姆逊发现了电子后,勒纳德才证明了光电效应中所发出的带电粒子是电子)


                               
登录/注册后可看大图
▲ 光电效应实验装置

通过实验,光电效应有以下特性:
  • 存在红限频率
  • 光一照到金属表面就立即产生光电流
  • 光电子的最大动能只与入射光的频率有关,与光强无关
  • 存在饱和光电流

这些实验现象无法用经典理论和相对论解释。1905年,为了解决光电效应问题,爱因斯坦提出了光量子理论。他假设光束由粒子流组成,其中的每一份粒子叫光子(光量子),光子的能量为


                               
登录/注册后可看大图

光的发射、传播、吸收都是量子化的。
于是,光电效应可解释为一个光子将全部能量交给一个电子,电子克服金属对它的束缚,从金属表面逸出:


                               
登录/注册后可看大图

这就是著名的爱因斯坦光电效应方程,其中 W 为金属的逸出功。在 3.1 节爱情能量子的假说下,我们可以用光电效应解释爱情。


                               
登录/注册后可看大图

一个人对另一个人的喜欢和追求就好比入射光打在金属上,如果能成功吸引对方,那么金属就会逸出电子产生光电流,否则就不会产生光电流。金属的逸出功就是被追求者的恋爱壁垒。你的吸引力只有超越对方的壁垒才能成功在一起。于是,我们可以由光电效应公式,得到如下结论:
  • 每个人的魅力就是入射光的频率,魅力值越高,频率越大,也即能量越大
  • 能否追求到对方,完全取决于你的魅力值(频率),而与入射时长及光强无关。如果魅力值达不到对方的择偶要求(逸出功),那么无论你花多长时间、死缠烂打多少次,也是无济于事。
  • 想要成功追求到对方有两种方法,一是不断提高自己的魅力值(增大光子频率),二是想办法降低对方的择偶要求(降低逸出功)。至于怎样才能降低对方的择偶要求呢?emmm,还是想办法提高自己的魅力值吧……
  • 自己的魅力值(频率)越高,对方对你的喜欢程度就会越深(逸出的光电子速度 v 越大)。


3.3
不确定性原理
不确定性原理是量子力学的产物,由海森堡于 1927 年提出。该原理表明,粒子的位置与动量不可同时被确定


                               
登录/注册后可看大图

这告诉我们,你永远也不可能既得到她的心,又得到她的人。

3.4
薛定谔的猫与暗恋
波函数之间的线性叠加关系在量子力学中具有根本意义。叠加态原理说明,物理体系的任何一种状态(波函数 ψ)总可以认为是由某种其他状态(波函数ψ1,ψ2,…)线性叠加而成,即:


                               
登录/注册后可看大图

著名的“薛定谔的猫”就源于此,一只猫处于既活又死的状态。


                               
登录/注册后可看大图

叠加态原理可以很好地拟合暗恋者的心态:内心不断在纠结 ta 到底喜不喜欢自己。一会儿寻找着 ta 喜欢自己的证据,一会儿又推翻前面的证据,想要说服自己 ta 并不喜欢自己。
就这样不断地纠结斗争下去。这就产生了一个叠加态,处于 ta 喜欢/不喜欢的叠加态中。而唯一的方法就是表白一旦表白,叠加态就会坍缩到一个状态,这样你就可以搞清楚 ta 到底喜不喜欢你了……
勇敢地去表白吧,你不表白怎么会知道
  ta 真的不喜欢你呢!……



至此,我们使用经典物理、相对论、量子力学对爱情分别进行了建模分析。总结一下:我们分别从经典物理、相对论、量子力学的角度对爱情进行了建模分析。在经典力学下,爱情是一种相互作用力,其形式与万有引力类似,由此我们得到了爱情运动三定律、异地感情衰减定律、爱情胡克定律等,解释了为什么单身狗会一直单身、为什么大家在男神女神面前都愿意做舔狗、异地恋为什么分手快等现象;在热力学定律的指导下,我们知道了恋爱系统是如何获取能量的,以及为什么感情会降温破裂,恋爱系统还是一个耗散结构,如果不源源不断地提供能量,就会不断熵增,直到分手。从相对论中,我们用洛伦兹变换解释了为什么情侣在一起的时间总感觉过得快。从量子力学的角度,我们从光电效应、不确定性关系、叠加态原理等得到了一系列恋爱的启示。最终,我们发现,这些物理规律揭示了爱情残酷的真相。理论上,单身狗基本上是没救了,但情侣们也不要高兴得太早,因为你们迟早也会回到最稳定的基态——单身态!


                               
登录/注册后可看大图

本研究在家里基金的支持下完成。同时感谢中科院物理所可乐不加冰、Cloudiiink,南科大闫明旗、孙克斌等人提供的帮助。

参考文献:
[1] 刘翼豪. 物理定律告诉你,天下有情人终将分手! 中科院物理所, 2018-2-14.
[2] 舒幼生. 力学[M]. 北京:北京大学出版社, 2005.
[3] 秦允豪. 热学[M]. 北京:高等教育出版社, 2011.
[4] 钱伯初. 量子力学[M]. 北京:高等教育出版社, 2006.
大道至简 万物于弧
*滑动验证:
您需要登录后才可以回帖 登录 | 立即注册

本版积分规则

手机版|Archiver|小黑屋|国际弧学研究会    

GMT-7, 2025-10-19 12:05 , Processed in 0.538681 second(s), 22 queries .

Powered by Discuz! X3.1

© 2001-2013 Comsenz Inc.

快速回复 返回顶部 返回列表