设为首页收藏本站

弧论坛

 找回密码
 立即注册
搜索
热搜: 活动 交友 discuz
查看: 3874|回复: 0
打印 上一主题 下一主题

量子力学诠释问题(二)

[复制链接]

5917

主题

6625

帖子

7185

积分

坛主

Rank: 10Rank: 10Rank: 10

积分
7185
跳转到指定楼层
楼主
发表于 2019-3-6 17:54 | 只看该作者 回帖奖励 |倒序浏览 |阅读模式
量子力学诠释问题(二)[color=rgba(0, 0, 0, 0.298)]

[color=rgba(0, 0, 0, 0.298)]From [color=rgba(0, 0, 0, 0.298)]孙昌璞
中国物理学会期刊网
[color=rgba(0, 0, 0, 0.298)]2017-08-18
[color=rgba(0, 0, 0, 0.298)]

作者:孙昌璞 (中国工程物理研究院研究生院  北京计算科学研究中心)

4 量子退相干诠释或理论
提出量子退相干观念的目标之一是要解决所谓的“薛定谔猫佯谬”,即为什么常态下宏观物体不会展现量子相干性。大家知道,接着波粒二象性的观点,任何实物粒子可以表现出波动行为,可以发生低能物体穿透势垒的量子隧道效应。关于微观体系,电子、原子、中子、准粒子(库珀对)乃至C60这样的大分子,实验上已经展示了量子隧道效应,并在实际技术中得到了广泛应
用,如STM(扫描隧道显微镜)。现在的问题是一个宏观物体,像足球、人、崂山道士,可否发生量子隧道效应?崂山道士可否破墙而出,破墙而入?初步的看法是,这是不可能的,因为宏观物体的质量较大,物质波波长短,必远远小于物体的尺度,不可能展示出量子相干效应。

迪特尔·泽和他的学生埃里希·朱斯(Erich Joos)(图4)从另一个角度给出了相同的答案:一个宏观物体必定和外部环境相互作用,即使组成环境的单个微粒很小,与宏观物理碰撞时能量交换可以忽略不计,环境也可以记录宏观物体运动信息,从而与宏观物体形成量子纠缠,发生量子退相干。此时,环境的作用相当于在系统不同基矢态中引入随机的相对相位,平均结果使得干涉项消失。因此,不同的(动量)态之间的相干叠加不存在了。


                               
登录/注册后可看大图
图4 量子退相干理论创立者迪特尔·泽(左图,http://www.ijqf.org/members-2/dieter/)和他的学生埃里希·朱斯(右图)

量子退相干理论最近已引起物理学界极度重视,一个重要原因是量子通讯和量子计算研究的兴起。量子计算利用量子相干性——量子并行和量子纠缠以增强计算能力,而退相干对其物理实现造成了巨大障碍。当年迪特尔·泽提出量子退相干的概念时只是一位讲师,他的文章不能在知名的学术刊物上发表,创新的观点受到著名学者尖酸的批评,整个70 年代这个重要工作被物理学家系统性忽视,几乎影响了迪特尔·泽后来的学术职业生涯。后来,退相干理论渡过1980 年代这个黑暗期,祖莱克加入量子退相干研究队伍。他的着眼点是解决偏好基矢问题,并为量子测量问题的探索提供了新的思路。

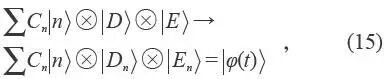
在量子退相干理论中, 处在初态|φS> =ΣCn |n> 的系统与处在初态|E> 上的环境发生非破坏(不交换能量)的相互作用,使得t 时刻总的状态变为

                               
登录/注册后可看大图
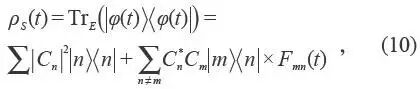
这里|En(t)> =Un(t)|E> ,而Un = exp(-iHnt )是非破坏相互作用V =Σ|n><n|⊗Hn 中分支哈密顿量Hn决定的时间演化。这时,体系的约化密度矩阵

                               
登录/注册后可看大图
一般包含非对角项,其中Fmn = <Em| En> 称为退相干因子。当Fmn = 0 ,则非对角项消逝,即

                               
登录/注册后可看大图
这时,描述大系统量子态的量子相干叠加态|φS>变成了没有量子相干的密度矩阵,实现了从量子叠加态到经典几率描述的转变。这相当于实空间中干涉条纹消逝(Box2)。

Box 2:量子干涉与量子退相干

为了考察量子相干性与通常量子干涉之间的关系,我们在坐标表象{φ(x) = <x|φ>,φn(x) = <x|n>}  中写下密度分布:

                               
登录/注册后可看大图
其中ρd(x) =Σ|Cn|2 |φn(x)|2代表强度相加项, 而Σn≠mCm*CnFmn(t)φm*(x)φn(x) 代表相干条纹,当Fmn(t) = 0 相干条纹消逝。

我们从双缝实验可以进一步形象地说明这一点。由中子源出射的中子束经双缝在屏S上干涉。

遮蔽上( 下) 缝的波函数|0> (|1>) 的坐标表示为
φu(x) = <x|0> ∝ eikx (φd(x) = <x|1> ∝ eik(x + Δ) ), 其中Δ = ld - lu是“光程差”。于是, |φ> ∝ |0> + |1> 给出约化密度矩阵:

                               
登录/注册后可看大图
当<E0| E1> = 1 ,则ρ(x)∝ cos Δk ,否则ρ(x) = 常数,无干涉条纹。

综上所述,环境的存在就像一个观察者在不断地监视着系统的运动,它通过与系统纠缠引入了等效的随机相位Δθ , 状态|φ(0)> = |0> + |1> , 被测后变为|φ′> = |0> + eiΔθ |1> ,平均结果给出:

                               
登录/注册后可看大图
其中,随机相位Δθ 是由等效相位因子eiΔθ 的平均值<eiΔθ> = <E0| E1> 来定义。当它趋近于零,干涉条纹消逝,即退相干发生。


                               
登录/注册后可看大图


                               
登录/注册后可看大图

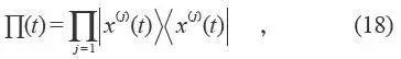
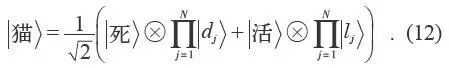
我们的研究证明,即使宏观物体与外界完全隔离,内部自由度与质心运动自由度的耦合也会引起退相干,特别是当环境是由很多粒子组成,则可能有因子化的末态|En> =Πj=1N|en(j)> ,它给出退相干因子F01 = <E0| E1> =Πj=1N<e0(j) |e1(j)> 。由于|<e0(j) |e1(j)>| < 1 ,当N → ∞ , F01 → 0 ,这个发现原则上解决了薛定谔猫佯谬。只许把“ 死” 与“活”当成质心自由度的状态,完整的猫态应当写为

                               
登录/注册后可看大图
则猫的密度矩阵的非对角项|死><活|将伴随着退相干因子FDL =Πj=1N<dj|lj> 。显然,宏观猫的干涉项正比于FDL ,在宏观极限下, N → ∞ , FDL = 0 ,从而干涉效应消逝。

针对各种实际中的宏观粒子,迪特尔·泽和他的学生埃里希·朱斯在1985 年仔细地计算了它们在各种环境中空间运动的退相干因子。他们得到一般的系统约化的密度矩阵:

                               
登录/注册后可看大图
其中局域化因子

                               
登录/注册后可看大图
决定于环境粒子在宏观物体上的有效散射界面σeff 。表1给出了各种物体局域化因子的列表。


                               
登录/注册后可看大图
表1 各种物体的局域化因子

总之,作为客观物体象征的薛定谔猫或仪器的运动,可分为集体运动模式和内部相对运动模式,它们之间存在某种形式的信息交换,但不交换能量,由于这种特殊形式的耦合,形成集体运动模式和内部相对运动模式的量子纠缠,内部运动模式提供了一种宏观环境。如果观察者只关心集体运动而不关心内部细节,集体运动就会发生量子退相干,薛定谔猫佯谬也就不存在了。

我们最近发现,薛定谔猫的退相干还有一个内禀的原因,这就是相对论效应:一群自由粒子,其能量最低阶非相对论效应正比于p4,它使得质心自由度与内部自由度内禀地耦合起来,产生薛定谔猫的内禀退相干。这个发现进一步表明,“月亮”在没有人看它的时候,仍然是客观存在的。这是因为“月亮”是一个宏观物体,人类的“看”必定忽略了“月亮”的内部细节。由于相对论效应,内部环境与“看到”的宏观自由度有天然的耦合,使得退相干无处不在!

以上的分析可以正面回答目前热炒的“量子意识”问题。我们认为,把至今备受质疑的哥本哈根诠释的波包塌缩假设作为论证基础,大谈量子意识,科学知识非常之不准确!虽然现在的物理理论还不能完全解释意识,但也绝不能断言它与量子有直接关系。因为意识必源自人这样的常态宏观物体,后者注定退相干。把量子力学和意识这种高级生命独有的现象联系起来并没有为理解意识的产生与存在提供任何高于猜测的理解。其实,物理学解释不了的问题就不应该牵强附会地解释。要承认科学的定位和局限性,有些问题不在目前科学研究范畴内,非要披上科学的外衣就是对科学的侵犯。

1981 年,祖莱克(图5)把迪特尔·泽的量子退相干理论应用到冯·诺依曼量子测量理论,把测量过程看成系统S 与测量仪器D相互作用产生经典关联的一种动力学过程。在冯·诺依曼量子测量中,通过与环境作用,系统+仪器形成的复合系统进一步与环境量子纠缠:

                               
登录/注册后可看大图
从而有复合系统的约化密度矩阵变为

                               
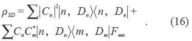
登录/注册后可看大图
现在,相互作用只是产生系统态|n> 与仪器态|Dn>的量子纠缠,并非纯概率性的关联。当其中退相干因子Fmn = <En| Em> → 0 时, ρSD →Σ|Cn|2|n,Dn><n,Dn| ,退相干后的约化密度矩阵代表了关联是以经典几率的方式出现。就像天气预报,明天下雨的几率为30%,不下雨几率为70%,是一种经典随机现象,没有任何量子相干效应。测量就是这样一个产生关联的过程,而无须什么波包塌缩!


                               
登录/注册后可看大图
图5 祖莱克(Wojciech Zurek,全海涛2006 年摄影)

需要强调的是,应用于量子测量问题,退相干理论必须能够解释指针态(pointer state)的衍生(emergence)。这个概念与多世界理论中相对态的观念是一致的。如上所述,环境作用选择仪器+系统的特定基矢进行退相干,而密度矩阵的对角元和非对角元则在不同的坐标变换下是相对的。如果采用另一组基矢|n′> =ΣSnn′+|n>,则有非对角项|n′>< m′| 的存在。正是由于这种基矢的相对性,量子纠缠无法直接描述量子测量,这就是所谓的偏好基矢问题。

在整个宇宙(系统+仪器+外部环境)的时间演化过程中,因子化的宇宙初态会变成一个针对被测基矢的相对态,相对态中每一项的系数恰好是初态中系统相干叠加态中的系数。这时,我们说相对系统态而言,仪器态是一个指针态,而环境所充当的角色是诱导了一个超选择定则(称为eniselection),选择了这样特定的基矢。退相干理论的第二个要点是初态因子化的假设。它隐含的意思是,没发生相互作用之前,系统的相干叠加态是独立于测量仪器和环境而存在的。以后,相互作用使得世界波函数保持一种准因子化的形式,即形成具有和系统初态系数一样的施密特系数的相对态。这个假设可以有一个逻辑上的改进。因为因子化形式依赖于张量积定义,其不唯一性使退相干理论进一步也遭遇到质疑的逻辑障碍。也许这与偏好基矢问题是等价的。在更完美的理论中,应该事先不假定因子化的形式,让环境诱导出来的时间演化产生相对态的系数,实现完全客观的量子测量过程。但是,这种处理遇到的关键问题是怎样把这个理论结果与依赖于初态的实验相比较。

5 量子自洽历史、量子达尔文和各种诠释的统一
量子退相干理论强调的是环境引起的量子退相干,但对于整个宇宙而言,谈其环境是没有意义的,宇宙本质是个孤立体系。如果有朝一日人们完成了引力量子化,没有环境影响,经典引力如何出现?没有经典引力,我们如何理解苹果落地和月球绕日而行、如何描述整个宇宙在经典引力作用下的演化?因此,为了描述量子宇宙的所有物理过程,我们的确需要一个更加普遍的量子力学诠释:这里没有外部测量,也没有外部环境,一切都在宇宙内部衍生,在宇宙内部也可以看到一个从量子化宇宙约化出来的经典世界,经典引力支配着各种各样的物理现象。针对这个问题,基于格里菲斯(Robert Griffiths)和欧内斯(Roland Omnes)等人提出自洽历史处理(consistent history approach),哈特尔(James B. Hartle)和盖尔曼等人发展了退相干历史的量子力学诠释。

量子力学自洽历史诠释是格里菲斯(图6)在1983 年提出来的。与多世界诠释一样,量子力学自洽历史诠释也是从世界波函数出发,它强调的“历史”是有测量介入的离散时间演化序列。如图7,我们用一个描述测量结果的投影算符序列

                               
登录/注册后可看大图
来定义量子世界包含时间演化和测量的历史。Pj代表在t=j 时到某本征态上的投影。不同的历史,相当于多世界理论中世界分裂的不同分支。显然,任意给定一个历史的集合,不同的历史之间有干涉效应,每一个历史相互不“独立”,不能定义经典几率。为了衍生出经典概率,格里菲斯对描述历史的投影算符乘积给出了自洽条件Tr(HjρHl)= 0( j ≠ l) ,其中ρ 代表系统的密度矩阵。满足这个条件的历史集合中的历史被称为自洽的历史。对每一组自洽的历史,可以赋予一个经典概率描述: Pr( j) = Tr(HjρHj) 。如果把每一个历史当成多世界理论中世界波函数时间域上的一个分支,自洽历史处理可以视为多世界理论的某种推广发展。在这个意义下,多世界可以看成是我们唯一宇宙“多种选择的历史”。按美国加州理工学院的哈特尔和盖尔曼的观点,虽然世界只有一个,但却可以经历很多个可能历史组。


                               
登录/注册后可看大图
图6 自洽历史诠释的创立者格里菲斯(Robert Griffiths,孙昌璞2005 年摄影)


                               
登录/注册后可看大图
图7 自洽历史诠释与多世界理论的相似性:“世界只有一个,历史是多重的”

下面以薛定谔猫佯谬为例,简要地告诉大家什么是自洽历史描述:如果我们能够测量每一个时刻组成猫的所有粒子的坐标,不同时刻的位置测量构成了系统的精(细)粒化的历史。不同时刻的位置投影算子乘积Hi =Πt=1TΠ(t) 构成历史的描述,其中

                               
登录/注册后可看大图
指标j 代表组成猫的不同粒子。Hi =H(t = 0,1,⋯,T ) 描述了粒子的轨迹,不同Hi可能会不“独立”,这样历史通常是不自洽的。我们猜想,对于薛定谔猫而言,描述质心运动的那些投影Hi,忽略量子涨落,艾伦菲斯特方程退化成牛顿方程,形成一组自洽的历史,然后赋予经典意义上的几率。我们猜想,只对应轨迹退相干的投影乘积序列,才可以确定地构成自洽的历史。因此,自洽历史诠释的坐标表示本质上是退相干历史诠释。

哈特尔和盖尔曼等人发现,带有测量的历史序列可以用路径积分表达。针对量子引力和宇宙学,提出今称为退相干历史的量子力学诠释:宇宙体系演化过程粗粒化抹除若干可观察对象类之间的量子相干性,经典几率可以自洽地赋予每一个可能的路径。事实上,对任何瞬间宇宙中发生的事件作精确化的描述,构成了一个完全精粒化历史(completely fine-grained history)。不同精粒化的历史之间是相互干涉的,不能用独立的经典概率加以描述。但是,由于宇宙内部的观察者能力的局限性或需求的不同,只能用简化的图像描述宇宙(如只用粒子的质心动量和坐标刻画粒子的运动),本质上是对大量精粒化历史进行分类的粗粒化(coarse-grained)描述。粗粒类内的相位无规可以抹除各类粗粒化历史之间的相干性,从而使得粗粒化的历史形成所谓退相干的历史(decoherence history)。通过这种退相干历史的描述,原则上对量子引力到经典引力的约化给出了自恰的描述。

我们还可以借助“薛定谔猫”来展示什么是退相干历史诠释。假设“猫”作为一个宏观物体是由大量有空间自由度的粒子组成,每一个粒子有自己空间运动的轨迹,满足各自的薛定谔方程,它们每一个的演化构成了“猫”的精粒化的历史,代表了“猫”的动力学所有的微观态细节。如果用路径积分描述这些“历史”,则不同路径之间是干涉的。由于这些粒子间存在相互作用,则“精粒化历史”对应的“轨道”与自由粒子的轨道不是一一对应的。现在我们不关心组成“猫”的每一个粒子的运动细节,只关心它的质心或者其他宏观自由度。某个特定宏观自由度的运动是微观自由度某种集体合作的结果,可以视为“猫”的所有微观演化过程的粗粒化。由于相对运动的影响,它的相干叠加态的时间演化会导致相位差的不确定性,从而相干性消逝。如图8所示,从路径积分的观点看,粗粒化后两条不同路径是不相干的,相干函数变为零,从而导致所谓退相干的历史。


                               
登录/注册后可看大图
图8 粗粒化导致观察结果的量子退相干:从轨道到轨道类的路径积分

不管退相干历史也好,自洽历史也好,仍然存在偏好基矢的取向问题。同一个世界,有不同组合的自洽历史集,选择哪一个,有观察者或者“你”、“我”的偏好。祖莱克提出了量子达尔文的观点去解决这个问题。量子达尔文主义认为,“微观量子系统是可测量的”这一经典属性是由宏观外部环境决定的,只有那些在环境中能够稳定(robust)保持的性质才是微观系统的真正属性。只有那些在环境中残存下来的属性才是客观的,因为它不取决于个别人的意识,而是取决于它以外包括许多观察者的整个环境,这一点很像多世界的相对态。在量子达尔文的诠释中,环境的作用不再仅仅只是一个产生噪音的破坏者,它本质上还是一个有足够信息冗余度的记录器和见证者。如果把环境分成几个子系统,把其中的一个或几个用来记录系统信息,其他的则用来比对是否记录到相同的信息。如果不同的部分都记录了相同的东西,则这是一个微观系统固有、可在经典世界展现的东西,只有这样的属性才是客观的。

从这个意义上讲,这样的宏观环境与系统耦合,虽然可以不转换能量,但可以记录信息,使得系统“进化”(演化)到一个经典的状态——用非对角项消逝的退相干密度矩阵表示,使之对角化的基矢就是所谓的偏好基矢。如果把环境分成几个子系统,当作不同的观察者,则不同观察者得到了相同的观察结果。我们以两个观察者测量自旋为例,说明量子达尔文的观念。包含一个系统和两个观察者(O1和O2)的世界波函数可以写为

                               
登录/注册后可看大图
如前所述,当两个观察者态是正交的,则O1和O2对于基矢|↑> 和|↓> 得到相同的结果,而对另外基矢|+> 和|-> 则不然。量子达尔文的要点在于上述世界波函数是O2与系统间特定相互作用导致的稳态结果——一种“自然选择”。从数学表达式看,这个表述与多世界诠释是等价的,只是强调了环境记录信息的冗余性。当然,多世界理论强调了要考虑|↑> ( |↓> )以外的所有世界的态。它虽然没有明确环境对基矢的客观选择,但暗含了信息冗余的要求。

6 结束语
为解决哥本哈根诠释二元论的逻辑困境和物理悖论,过去人们提出了各种各样量子力学诠释。从本文讨论可以看出,它们的核心思想本质上来自于逻辑简练、物理寓意深远的、但图像十分反直觉的多世界诠释。多世界理论表达的是“一个波函数,多个世界”,而由它发展出来的自洽历史诠释讲的是“一个世界,多个历史”。

我们注意到,由于媒体和初级科普的不正确解释、以讹传讹,加上一些“知名”学者的不读原文、不求甚解(或不读书好求甚解),多世界诠释被污名化了许久。特别是目前不少人觉得哥本哈根诠释的正确是天经地义的,而多世界诠释则被认为是形而上学的甚至是伪科学。当然,如果不把波函数看成是本体论的东西,而只是从工具主义的角度把它看成是一个预测实验结果的数学工具,波包塌缩的预言和多世界诠释或量子退相干描述一般没有差别。但是,量子力学的哥本哈根诠释强调必须借助经典世界,从逻辑上讲是不自洽的。从哲学角度讲,量子力学的哥本哈根版本是一种二元论,而一个理想的完美的理论应该是一元论:一切源于量子,经典只是量子体系宏观极限下的“衍生”现象。

诺贝尔奖获得者塞尔日·阿罗什(Serge Haroche)认为:“实验室中的测量远不是教科书中的投影假设” (“Most measurements are far from obeying the textbook projection postulate”)。既然测量是一个相互作用导致的幺正演化,要形成一个理想的仪器与被测系统的量子纠缠,需要一定的时间。当测量仪器变得足够宏观,这个时间会变得无穷之短,这个过程就是所谓的渐进退相干过程。阿罗什在精心设计的腔量子电动力学实验中观察到了有演化时间表征的单个体系的渐进退相干过程。到底是哥本哈根诠释的投影测量还是与“多世界”有关的幺正演化测量,我们有可能根据测量时间效应在实验上加以区分。因此,量子力学诠释问题之争绝不是在讨论“针尖上的天使”。

量子芝诺效应的实验验证曾经被人看成对波包塌缩的证实。过去的十多年,我们曾经针对量子芝诺效应根源系统地探讨了量子力学诠释问题。我们先是针对两个已有的、用波包塌缩诠释的实验给出了无需波包塌缩的动力学解释,进而设计了核磁共振测量系统,实现了有别于波包塌缩的量子测量。实验的确展示了测量时间的效应。最近,美国圣特路易斯小组利用超导量子比特系统又一次验证了我们的这种想法。这些结果表明,解释量子力学现象并非一定需要哥本哈根的波包塌缩诠释!依据并无共识的哥本哈根诠释、不加甄别地发展依赖诠释的量子技术,在量子技术发展中会导致技术科学基础方面的问题。随着时间的推移,这种问题严重性会逐渐凸显出来。显然,如果不能正确地理解量子力学波函数如何描述测量,就会得到“客观世界很有可能并不存在”的荒诞结论;如果有人不断宣称“实现”了某项量子技术的创新,但何为“实现”却依赖于有争议的、基于波包塌缩的“后选择性”,这样的技术创新的可靠性必定存疑。因此,澄清量子力学诠释概念不仅可以解决科学认识上的问题,而且可以防止量子技术发展误入歧途。

致谢 感谢中国人民大学张芃教授、中国工程物理研究院研究生院傅立斌研究员、北京理工大学徐大智副教授,以及课题组成员戴越博士、董国慧和马宇翰对本文提出的批评和建议。感谢张慧琴博士在文字方面不胜其烦的协助和修改。


本文选自《物理》2017年第8期


大道至简 万物于弧
*滑动验证:
您需要登录后才可以回帖 登录 | 立即注册

本版积分规则

手机版|Archiver|小黑屋|国际弧学研究会    

GMT-7, 2025-10-19 12:17 , Processed in 0.558731 second(s), 23 queries .

Powered by Discuz! X3.1

© 2001-2013 Comsenz Inc.

快速回复 返回顶部 返回列表