设为首页收藏本站

弧论坛

 找回密码
 立即注册
搜索
热搜: 活动 交友 discuz
查看: 3739|回复: 0
打印 上一主题 下一主题

波长分裂问题终于解决!新发现现象解决了激光的一个常见难题

[复制链接]

5917

主题

6625

帖子

7185

积分

坛主

Rank: 10Rank: 10Rank: 10

积分
7185
跳转到指定楼层
楼主
发表于 2019-4-7 03:04 | 只看该作者 回帖奖励 |倒序浏览 |阅读模式
波长分裂问题终于解决!新发现现象解决了激光的一个常见难题[color=rgba(0, 0, 0, 0.298)]

[color=rgba(0, 0, 0, 0.298)]From [color=rgba(0, 0, 0, 0.298)]博科园 科学科普
天文物理
[color=rgba(0, 0, 0, 0.298)]Yesterday
[color=rgba(0, 0, 0, 0.298)]

[color=rgba(0, 0, 0, 0.298)]


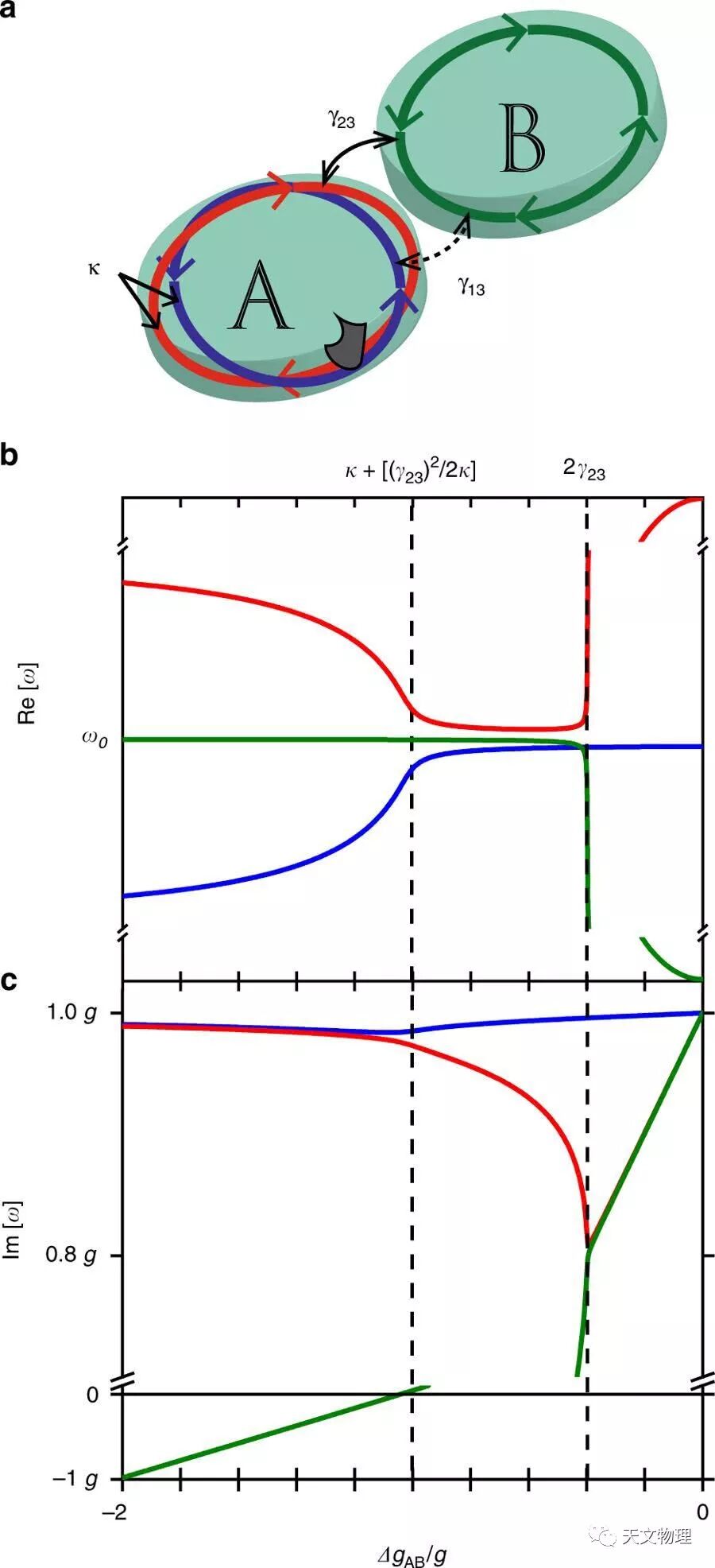
由犹他大学物理学家领导的一个小组发现了如何解决由一种叫做量子点的新型材料制成的激光器中出现的一个主要问题。这一前所未见的现象将对光子学研究的一个新兴领域产生重要影响,其中包括有一天将利用光而不是电子来制造编码信息的微芯片,该研究于2019年2月4日发表在《自然通讯》上。

激光是一种放大光的装置,通常只产生一束狭窄的光。光束的强度取决于制造激光的材料,光通过这种材料,产生一种由波长相似光波构成的光束,将大量能量集中到一个小区域。这种能够放大光束能量的材料特性被称为“增益”。许多科学家正在用量子点制造激光,量子点是由半导体材料制成的微小晶体,直径仅为100个原子。


                               
登录/注册后可看大图

博科园-科学科普:晶体的大小决定了光束的波长,从蓝光到红光,甚至到红外线。人们之所以对量子点激光器感兴趣,是因为他们可以通过使用不同的半导体材料,选择不同形状和尺寸的激光器,使晶体生长到不同的尺寸,从而调整其性能。
缺点是量子点激光器通常含有微小的缺陷,这些缺陷会将光分裂成多个波长,从而分散光束的能量,降低光束的功率。理想情况下,你希望激光把能量集中到一个波长。这项新研究试图纠正这一缺陷。首先乔治亚理工学院的合作者用硒化镉制造了50个微型圆盘状量子点激光器。团队随后证明,几乎所有的单个激光器都存在分裂光束波长的缺陷。

                               
登录/注册后可看大图
图片:Jdx via WikiCommons

然后研究人员将两束激光耦合在一起,以纠正波长的分裂。他们把一束激光调到最大增益,这就描述了可能的最大能量。为了获得最大的增益,科学家们在第一束激光上发射了一束被称为“泵浦”光的绿光。量子点材料吸收了光并重新发射出一束更强的红光。他们在激光上发出的绿光越强,能量的增益就越高。当第二束激光没有增益时,两束激光的差值阻止了相互作用,仍然发生了分裂。然而,当研究小组将一束绿光照射到第二束激光上时,它的增益增加,缩小了两束激光之间的增益差。一旦两束激光器的增益变得相似,两束激光器之间的相互作用就会纠正分裂并将能量聚焦到一个波长,这是人们第一次观察到这种现象。


                               
登录/注册后可看大图

这些发现对一个叫做光学和光子学研究的新领域有意义。在过去的30年里,研究人员一直在试验用光来传递信息,而不是用传统电子产品中的电子。例如与其把大量的电子放在微芯片上让计算机运行,还不如用光来代替。激光将是其中的一个重要组成部分,正确的波长分裂可以提供一个重要的好处,通过光控制信息。在这个领域使用量子点等材料也可能是一个主要优势。有人能用量子点制造出一种无缺陷的激光并非不可能,但这既昂贵又耗时。相比之下,耦合是一种更快、更灵活、更划算的解决问题的方法,这是一个小技巧,这样我们就不必制造出完美的量子点激光器。


                               
登录/注册后可看大图

博科园-科学科普|研究/来自: 犹他大学/Lisa Potter, University of Utah
参考期刊文献:《Nature Communications》
DOI: 10.1038/s41467-019-08432-6


大道至简 万物于弧
*滑动验证:
您需要登录后才可以回帖 登录 | 立即注册

本版积分规则

手机版|Archiver|小黑屋|国际弧学研究会    

GMT-7, 2025-10-19 15:42 , Processed in 0.518215 second(s), 22 queries .

Powered by Discuz! X3.1

© 2001-2013 Comsenz Inc.

快速回复 返回顶部 返回列表