设为首页收藏本站

弧论坛

 找回密码
 立即注册
搜索
热搜: 活动 交友 discuz
查看: 3514|回复: 0
打印 上一主题 下一主题

黑洞中隐藏的5个公式

[复制链接]

5917

主题

6625

帖子

7185

积分

坛主

Rank: 10Rank: 10Rank: 10

积分
7185
跳转到指定楼层
楼主
发表于 2019-5-18 01:25 | 只看该作者 回帖奖励 |倒序浏览 |阅读模式
黑洞中隐藏的5个公式[color=rgba(0, 0, 0, 0.298)]

[color=rgba(0, 0, 0, 0.298)]Original: [color=rgba(0, 0, 0, 0.298)]吴兵
量子学派
[color=rgba(0, 0, 0, 0.298)]4/10
[color=rgba(0, 0, 0, 0.298)]

[color=rgba(0, 0, 0, 0.298)]


引子

北京时间4月10日21时,人类历史上首张黑洞照片正式披露。
黑洞,这个神秘莫测,看不见摸不着,能吞噬一切物质,甚至连光都不放过的宇宙怪兽,第一次不再活在科幻大片的虚拟设想中,真正与我们见面。

成功拍下的黑洞照片的事件视界望远镜,据科学家声称,对深空天体的观察能力,相当于在纽约能数清洛杉矶的一个高尔夫球表面的凹痕。

对于物理学家来说,可能他们需要照片来证实自己的理论。
但对于数学家来讲,他们无需任何照片,这100多年来,他们通过对公式的演算就能推导出黑洞的各种性质。

这5个与黑洞相关的数学公式,才是破解黑洞真相的密钥。


01
爱因斯坦“引力场方程”
发现黑洞?

                               
登录/注册后可看大图
很少有人比发现黑洞存在的这个人更讨厌黑洞:他就是爱因斯坦。

1915年,爱因斯坦发表了广义相对论,提出了著名的“引力场方程”。

本来希望大家用这个方程能认真理解物质是如何引起时空弯曲的——就像一个铅球放在弹簧垫上,就会引起弹簧垫表面会向下凹陷。

但没想到这个弹簧垫上一个月后直接破了个洞,史瓦西在场方程中找到了第一个非平坦时空的准确解时,意外地发现了一个密度足够大的物体,它最终将在时空中形成一个被称作奇点的“无底洞”,即黑洞就是场方程的一个解。


                               
登录/注册后可看大图

我们来看下场方程,里奇曲率张量减去二分之一的度量张量与里奇标量的乘积,与能量-动量-应力张量成正比。

也就是说,如果已知一个恒星、一个黑洞甚至一个宇宙,可以算出物质能量浓度周围的曲率。

按照广义相对论,物质决定时空如何弯曲,而光和物质的运动将由弯曲时空的曲率决定,当曲率大到一定程度时,光线就无法跑出去了,黑洞的概念也就由此而生。

那黑洞究竟长什么样子?

如果一切都如广义相对论的预期,那么我们看到的黑洞图像将会是:
一个圆形“剪影”被一圈明亮的光子圆环所围绕。
观测黑洞的剪影非常重要,因为它的形状和大小是由爱因斯坦的广义相对论所决定的。

科学家一直很渴望在黑洞这样极端的引力环境中,检验广义相对论的有效性。



02
史瓦西半径公式
黑洞的大小?

                               
登录/注册后可看大图

史瓦西,不仅是使用广义相对论方程证明黑洞的确能够形成的第一人,更是首次发现了史瓦西半径存在的人。

爱因斯坦使用传统的直角坐标系去破解自己的场方程,最终得到了一个近似解。这让向来具有强迫症的史瓦西实在看不下去,于是,他另辟蹊径地引入了一个类似于极坐标系的坐标系,使得场方程变得更优雅明确,并导出了场方程的第一个精确解。

这个解给出了一个静态球对称黑洞(即史瓦西黑洞)的描述,并定义了任何具有质量的物质都存在的一个临界半径特征值,即“史瓦西半径”。

式中,Rs为天体的“史瓦西半径”,G为万有引力常数,M为天体的质量,c为光速。

这个半径,也是黑洞的视界半径,即黑洞的重力场捕捉光使其不能逃逸的范围。

通过公式,我们可以计算出一个物体想要变成黑洞,其半径要缩小到多少才行,太阳需要缩小成3千米才有机会变成黑洞,而地球的史瓦西半径只有约9毫米。

史瓦西为黑洞确立了一个“视界”。

这个视界是光子的牢笼,光子只能被禁闭在“视界”之内,“视界”之外的空间仍然是平直的欧几里德空间,光子仍然遵守地球空间中的一切物理定律。

在它的中心,所有的物质都被无限压缩,时空被无限弯曲,“一切科学预见都失去了效果”。
没有时间,也没有空间。

它就像宇宙中的无底洞,任何物质一旦掉进了这个“引力陷阱”,基本就再也逃不出来了。



03
黑洞熵公式
黑洞有“毛”吗?

                               
登录/注册后可看大图
这个公式让我们了解黑洞本身的性质。

如果往黑洞里倒一杯热茶会怎样?

20世纪70年代,作为“熵+定律”的忠实粉丝,惠勒向“经典黑洞”提出了质疑。

热茶既有热量又有熵,但一切物质被黑洞吞下后就不见了,造成总体的“熵值”似乎不是增加而是减少了,这不是有悖“熵+定律”吗?

广义相对论所预言的“经典黑洞”,奉行的是“黑洞无毛定理,也被戏称为“黑洞三毛定理”。


                               
登录/注册后可看大图

所谓三毛,指的是无论什么样天体,一旦塌缩成为黑洞,就剩下电荷Q、质量M和角动量L三个最基本的性质。

天体的形状、大小、磁场分布、物质构成的种类等等,都在引力塌缩的过程中丢失了。对黑洞视界之外的观察者而言,只能看到M、L、Q这三根毛。

那熵,这个代表微观信息不确定度的物理量在哪?
1972年霍金证明的“黑洞视界的表面积永远不会减少”给了贝肯斯坦极大的启迪。

借助于史瓦西半径为黑洞确立的“视界”,1972年,贝肯斯坦发表了一篇霸气论文《黑洞和熵》,提出黑洞的熵就是它的表面积除以普朗克常数平方再乘以一个无量纲数。或者说,越大的黑洞熵越多,熵和表面积完全成正比。

贝肯斯坦的黑洞熵概念使得“熵增加原理”对黑洞仍然成立。

比如说,当你扔进黑洞一些物质,就像惠勒所说的一杯茶,之后,黑洞获得了质量。而黑洞的面积是和质量成正比的,质量增加使得面积增加,因而熵也增加了。黑洞熵的增加,抵消了被扔进去的茶水的熵的丢失。

04
黑洞温度公式
黑洞温度有多高?

                               
登录/注册后可看大图

传统上认为,黑洞有进无出,任何东西都不能从黑洞的视界之内逃逸出来。

当贝肯斯坦提出黑洞熵概念后,所有人都觉得:这个人一定是疯了!

当年的专家们都确信“黑洞无毛”,可以被三个简单的参数所唯一确定,那么,黑洞与代表随机不确定性的“熵”应该扯不上任何关系!

霍金一开始也表示不相信:如果黑洞具有熵,那它也应该具有温度,要有温度就一定要向外发出热辐射,这怎么可能?

然而与贝肯斯坦战斗、进行了一系列的计算后,霍金发现原来“黑洞不黑”!

承认了贝肯斯坦“表面积即熵”的观念,霍金在此基础之上提出了著名的“霍金辐射”:原本经典理论上“一毛不拔”的黑洞在黑洞量子力学中也可以通过一定的机制发射黑体辐射!

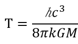
根据熟知的热力学公式,温度可以看作是使得系统的熵增加1比特所需要的能量。因此,从黑洞熵的表达式,可得史瓦西黑洞的温度:

                               
登录/注册后可看大图
C表示光速,h是普朗克常数,G是牛顿引力常数,π是圆周率,而k是玻尔兹曼常数。

这个公式表明,一个黑洞犹如一个具有温度的热体一样发射辐射,其温度只与它的质量有关。

黑洞的质量越小,其温度就越高。

通过这个黑洞公式,热力学,力学和量子力学被结合在了一起,这也成了霍金的成名之作。


05
黑洞行为
拉马努金公式


                               
登录/注册后可看大图

1919年,印度的贡伯戈讷姆。
拉马努金躺在病床上,他的女神在梦里给了他最后一个公式——模θ函数。
这个公式令同时代所有的数学大师都不解,没有人能看懂它描述的啥。
2012年,这个神秘的公式终于被破解,科学家发现它有助于研究黑洞行为。
然而在100年前,还没有一个人知道黑洞是什么!
一个世纪后的拉马努金,又用他自学成才的数学天赋再一次征服了宇宙。
这个征服宇宙的神秘函数,本质上是模形式。
拉马努金猜测,在输入特殊值时,也许能这样描述模θ函数:它和模形式毫不相像,但特性类似,这种特殊值称为奇点,靠近这些点时,函数值趋向无穷大。
如函数f(x)=1/x,它有一个奇点x=0。随着x无限接近0,函数值f(x)渐增至无穷大。
这位对数学有着野兽般直觉的天才相信,对于每一个这样的函数,存在一个模θ函数使得它们不仅奇点相同,奇点的函数值也以几乎同样的速率趋近于无穷。
而黑洞的中心其实就是一个奇点。
在这个奇点上,史瓦西半径几乎为0,时空曲率和物质密度都趋于无穷大,时空流形达到尽头,引力弯曲成了一个“陷阱”,成了一个无限吞灭物质的无底洞。
从奇点到奇点,冥冥之中,这似乎喻示着模θ函数与黑洞之间早就写下了一场缘分。
这位一生坚信着“娜玛卡女神在梦中用公式向他启示”、写下3900个公式的数学大师,在生命弥留之际,一定也曾点亮一盏油灯,虔诚着向女神祈求灵感。
在那一刻,他一定是看到了奇点、最接近无限的人。



结语
数学家眼中的黑洞


在数学家的眼中,宇宙是可以计算的:如果知道支配宇宙系统的基本定律,并且知道它的初始状态,就应该能据此无限地推演它的发展直到未来。无论用牛顿定律来预测台球的未来位置,还是麦克斯韦方程描述电磁场,或者是爱因斯坦的广义相对论来预测时空形状的演变,这些原理都是成立的。

作为一个普通人,我们用五官去感知宇宙,所以这张照片对我们来说非常重要。


                               
登录/注册后可看大图

而对于一个数学家来说,他们更在乎的是公式是否严谨,只有公式严谨,这样推导出来的黑洞才是正确的。

这让我们想起爱因斯坦的一段往事:当年全世界在为光线弯曲的实验震憾时,唯有爱因斯坦非常平静,因为他坚信广义相对论的数学底层是坚实的,无需实验来证明,一切都在意料之中。


大道至简 万物于弧
*滑动验证:
您需要登录后才可以回帖 登录 | 立即注册

本版积分规则

手机版|Archiver|小黑屋|国际弧学研究会    

GMT-7, 2025-10-19 15:24 , Processed in 0.544085 second(s), 22 queries .

Powered by Discuz! X3.1

© 2001-2013 Comsenz Inc.

快速回复 返回顶部 返回列表