设为首页收藏本站

弧论坛

 找回密码
 立即注册
搜索
热搜: 活动 交友 discuz
查看: 3323|回复: 0
打印 上一主题 下一主题

量子力学的“月之暗面”

[复制链接]

5917

主题

6625

帖子

7185

积分

坛主

Rank: 10Rank: 10Rank: 10

积分
7185
跳转到指定楼层
楼主
发表于 2019-10-18 13:01 | 只看该作者 回帖奖励 |倒序浏览 |阅读模式
量子力学的“月之暗面”[color=rgba(0, 0, 0, 0.298)]

[color=rgba(0, 0, 0, 0.298)]From: [color=rgba(0, 0, 0, 0.298)]海深堡
量子学派
[color=rgba(0, 0, 0, 0.298)]Today
[color=rgba(0, 0, 0, 0.298)]

[color=rgba(0, 0, 0, 0.298)]

                               
登录/注册后可看大图
科学家还在苦苦攀登
骗子已经在山顶割韭菜



1
量子力学的“月之阳面”

量子力学是现代科学最前沿的阵地,它研究比原子还小的微观世界。

人类进入信息新时代,量子技术居功至伟。

没有它就没有电脑、互联网、激光、导航、量子通信和量子计算机……


                               
登录/注册后可看大图

普朗克、爱因斯坦、玻尔、狄拉克、德布罗意、海森堡、薛定谔、费曼、盖尔曼……这些科学史上金光闪闪的名字,都为量子力学作出了莫大贡献。

以上这些,都是量子力学的“月之阳面”

然而,由于量子力学本身的“玄奥离奇”成为骗子最好用的武器,使得量子力学又具备了“月之暗面”。




2
量子波动速读:这是巫术

近日某教育机构组织孩子进行“量子波动速读”,一群孩子坐在一个大房间里,疾速埋头“哗哗哗”地翻书,隔着屏幕都能感受到这个时代的荒谬


                               
登录/注册后可看大图

学得很认真,但真的有效果吗?

只需翻书1-5分钟,就能看完10万字的书,而且还能记住内容。培训机构宣称,学会“量子波动速读”后不止可以速读,还能闭着眼睛和书本发生感应,即便戴上眼罩也知道作者传达的心情和内容。


                               
登录/注册后可看大图

面对质疑,培训机构称“量子波动速读”的原理很简单:

❶量子会跟量子产生纠缠,而量子在纠缠的过程中又会产生波粒二象性
❷看似静态的书中文字,也是以波的形式在运动和传播。
❸被训练后的右脑可以接收书本里的文字波动,然后将其转变成图片、声音等信息呈现在大脑里。


                               
登录/注册后可看大图
小女孩怀疑人生的眼神...

实在是看不下去了,让我先喘口气。
这哪里是科学,这比秘术还要巫术。

别说爱因斯坦、玻尔、薛定谔的棺材板压不住。
只怕,连当年的气功大咖、王林大师也死不瞑目。




3
量子力学“月之暗面”
骗子的天堂

这绝不是骗子利用量子概念骗人的第一次,也肯定不是最后一次。

由于量子理论本身的奇异特质、它的不确定性原理,概率波等等在宏观世界无法验证,它展示出来的量子纠缠、量子退相干、泡利不相容等物理特性也诡异莫测。

骗子最喜欢的就是这样的概念,因为科学能为他们背书。

我们可以看看这个骗子的天堂:

量子挂坠:这个技术可以防癌


                               
登录/注册后可看大图


很多大妈都被这个产品骗过,听说它可以防护癌症
真的是大材小用,这样的技术竟然没有入选“诺贝尔物理奖”,真是对中国技术的歧视。

量子面膜:美丽纠缠的力量,让你更年轻


                               
登录/注册后可看大图

产品介绍:量子面膜的配方采用的是量子纠缠理论,将中药、小分子肽、量子原液和细胞修复液有机结合,形成不可分割的综合效应。

如果这样也能成立,我还有一个更好的办法:把苏菲·玛索的脸与你的脸纠缠起来,当别人看你时,你就是苏菲·玛索,别人不看你时,你仍然是翠花

量子袜:延缓衰老、促进细胞再生


                               
登录/注册后可看大图

一双袜子八大功能,不仅能延缓衰老、促进细胞再生,还能剥离细胞毒垢?这样的产品卖58.80元,真的是良心价。

量子手环:与地球磁场共振

看到这女孩左手戴的手环没,量子高磁能量波使人体磁场瞬间顺向地球磁场……


                               
登录/注册后可看大图


以上例子只是量子+产品中的几个小案例。

到各大网购平台看一看,各类“量子商品”有上百种:“返老还童”的量子水、量子烟盒、量子眼镜、量子车膜、量子防辐射手机贴、量子超瓷能量碗、“包治百病”的量子医疗仪器……


                               
登录/注册后可看大图

日用品+量子技术100%都是骗局

其实判断一个商品是不是量子很简单。

一看技术,现在量子理论被应用到的是相干性原理、叠加性、遂穿效应。量子通信、量子计算机、二极管就是这些理论的应用。

二看规模,量子技术是难度极高的技术,不是国际性大公司,或者国家级研究院,基本没有可能落地量子技术应用。

所以,现在“量子+生活”的产品,从基本的科学逻辑出发,不必去考证,就可以肯定100%都是骗局。

量子力学“月之暗面”:更大的坑还在后面

以上还只是小虾米小打小闹,为了生活赚点小钱。
但窃钩者诛,窃国者诸侯,还有一些更大的坑在后面。

一些上市公司存在极大疑问,甚至一家企业被中科院一些科学家质疑过。
新三板某量子通信企业披露了2018年年报,挂牌公司股东的净利润为-1.89亿元。


                               
登录/注册后可看大图

这么牛逼的技术,股价却是要归零的节奏。

如果再往后面想想,由于量子技术本身的高难度,加上它特有的神秘性质,成果转化又是长期性,加上我们在科学上又没有好的监督机制,有些项目动辄十亿百亿的投资,这后面还有多深的坑呢?想想都可怕,希望这些只是一些个人揣测,这些事情不会产生,最后只能交给时间来检验了。




4
别全怪骗子,因为自己“智商诱人”

全世界顶尖的科学家都在迷茫呢,骗子已经打通“量子力学”任督二脉。
只要有一点点基本的科学素养和逻辑能力,想想都知道不可能。


                               
登录/注册后可看大图
重重破绽下,连培训老师自己都忍不住了...

不能全怪骗子,更重要的原因是自己“智商诱人”

“量子波动速读”之前,还有很多类似令人瞠目结舌的骗局,比如宣扬“全脑开发”、“超感学习力”进行的蒙眼识字培训,很多家长趋之若鹜。


                               
登录/注册后可看大图

各类骗局能大行其道,与我们自己失去了基本的常识与理性有关,在某种程度上“走火入魔”,没有“量子波动速读”忽悠你,也会有“微观概率学习”来蒙骗你,或者“纳米超级记忆”来愚弄你,如果自己不提升自己的学习和认知:总有一款适合你。

不想被骗,需要培养以下两项基本能力:

科学素养。只要稍微懂一点量子理论的知识,就知道现阶段技术不可能应用到生活层面。
逻辑素养。就算你不懂量子力学,也应该明白这世界怎么可能有这样的好事,人家早回家带孩子上清华OR北大。

苍蝇不盯无缝的蛋,问问自己有多长时间没有学过数理知识了。

别只顾着教育孩子,也要花点时间教育一下自己,别动辄就谈那些虚头巴脑的易经八卦,更要学习的是基础科学理论。




5
若有神棍谈量子,问这几个公式怼死他

关于量子物理的一些基本概念,骗子已经背熟了。

关于物理学最底层的数学公式,骗子一定看不懂

德布罗意方程

德布罗意方程是量子力学的先声

首先引入爱因斯坦著名的质能方程:E=mc^2,然后,引入普朗克公式:E=ħv'
德布罗意相信粒子与波具有相同的特性,故他假设二者的效能是等同的:mc^2=hv'
德布罗意用群速度v(velocity)乘相速度u代替c,通过等式λ, 最后的表达式为p=ħk=h/λE=ħw=hv'

薛定谔方程

1926年薛定谔提出的量子力学基本方程,描述微观粒子的状态随时间变化的规律。

他假设描述微观粒子状态的波函数为Ψ(r,t),质量为m的微观粒子在势场V(r,t)中运动的薛定谔方程。在给定初始条件和边界条件以及波函数所满足的单值、有限、连续的条件下,可解出波函数Ψ(r,t)


                               
登录/注册后可看大图

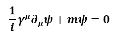
狄拉克方程

1928年,狄拉克以超凡天赋脱颖而出,提出了电子运动的相对论性量子力学方程,即名垂青史的狄拉克方程。

在这个方程中,狄拉克率先统一了狭义相对论与量子力学,成功地把相对论、量子和自旋这些此前看似无关的概念和谐地结合起来:

                               
登录/注册后可看大图

其中ψ为相对论自旋½场,i为复数i1/i表示复数共轭,m为自旋粒子的质量。

其它:
如果这三个方程还搞不定他,那就把海森堡的数学矩阵搬出来,保证让骗子满意。
如果还不够,那就把量子色动力学搬出来,盖尔曼一定会教育他怎么做人。




6
骗子与量子力学遵循“泡利不相容”原理

量子力学诞生已近一个世纪。
它虽然玄奥莫测,但又无比实用。

它给物理学、工业和人类生活带来翻天覆地的变化,我们赖以生活的半导体工业、激光、核磁共振都来源于此。

无数伟大科学家辛辛苦苦得出的成果,如果却被骗子拿来割韭菜,这是一件让人难受的事。

这种现象并不是偶然,在其它的领域同样如此:

程序员还在研究区块链技术,骗子却在发币赚钱;
数学家还在思考最新算法骗子却用它在骗补贴
工程师还在解决A.I.通用智能,骗子却用它圈项目
…………

骗子一张嘴,科普跑断腿,这样的事情一直在发生,莫之奈何。

但这样的事情,希望有一天会改变,量子力学中有一个有名的原理:泡利不相容


                               
登录/注册后可看大图


简单讲指的是原子中不能容纳运动状态完全相同的电子,可以类比成真理与欺骗在一个系统里不相容。

当骗子与量子力学碰撞在一起时。
我们要做真理的信徒,成为“月之阳面”;
而不是做骗子的帮凶,成为“月之暗面”。


大道至简 万物于弧
*滑动验证:
您需要登录后才可以回帖 登录 | 立即注册

本版积分规则

手机版|Archiver|小黑屋|国际弧学研究会    

GMT-7, 2025-10-19 19:06 , Processed in 0.501911 second(s), 25 queries .

Powered by Discuz! X3.1

© 2001-2013 Comsenz Inc.

快速回复 返回顶部 返回列表