设为首页收藏本站

弧论坛

 找回密码
 立即注册
搜索
热搜: 活动 交友 discuz
查看: 3391|回复: 0
打印 上一主题 下一主题

宇宙社会学:宇宙与人

[复制链接]

5917

主题

6625

帖子

7185

积分

坛主

Rank: 10Rank: 10Rank: 10

积分
7185
跳转到指定楼层
楼主
发表于 2020-11-30 21:29 | 只看该作者 回帖奖励 |倒序浏览 |阅读模式
宇宙社会学:宇宙与人

中科院物理所 Yesterday

The following article is from 中国科学院国家天文台 Author 王涛


人们对客观事物的认识一般要经历从简单到复杂再回归简单,从整体到部分再回归整体的过程。近代科学的发展基本是以西方的还原论作为内核的:即认为复杂的系统、现象都可以通过将其还原为各部分组合来理解和描述。这也在历史上赋予了基础物理学--对基本粒子和基本作用力的研究--一切自然科学基础的崇高地位。

然而随着对客观世界认识水平的不断提高,人们逐渐意识到现实世界中的大多数问题都跟含有多个相互作用成分的复杂系统(细胞、人脑、有机生物、社会和经济活动的组织、生态环境、地球大气、地壳活动、星系乃至整个宇宙)相关。这类系统的基本特征是其行为不同于个体行为的简单求和,而是作为一个整体呈现出一些新的性质和规律。正如马克思所言,“量变引起质变”。诺贝尔物理学奖得主 Philip Anderson在著名的“More is different”一文中也提到“将万物还原成简单基本规律的能力,并不蕴含从这些规律出发能够重建宇宙的能力”[1]。理解这些复杂系统的行为特点,探寻各种复杂系统背后一般的演化规律本质上也是基础性的,与追寻物质的本源组成和基本相互作用对于最终理解我们的宇宙同等重要。

对于复杂系统的最早科学探索可追溯到19世纪法国数学家庞加莱发现的三体问题中的混沌现象[2]。但对各类复杂系统一般性的科学研究始于上世纪70年代关于耗散结构、协同学、突变理论、混沌学、分形等新的理论的发展。复杂系统的特点决定了它们的研究方法不能限于传统的还原论,而往往需要运用整体论和还原论相结合的方法。对于这种整体和还原论结合探寻事物本质的方法,老子曾有过非常精妙的描述,“故常无欲,以观其妙;常有欲,以观其徼。此两者同出而异名,同谓之玄,玄之又玄,众妙之门。”

要实现这样的目标需要我们摒弃传统的、基于还原论的学科界限,回归对实际问题和现象的本能的好奇和探索,大胆假设,小心求证。作为一名天文学工作者,笔者在本文中将着重讨论天文学如何通过跟其他学科的交叉研究来帮助我们探索从宇宙到人类社会的各种复杂系统背后的普适规律(本文题目“宇宙社会学”的由来,与《三体》中研究宇宙中智慧生命社会学法则的宇宙社会学不同)。

回顾历史,天文学在人类认识客观世界的历程中一直占有着独特的地位。几百年前正是近代天文学的突破带来了近代科学的启蒙。中国古人几千年前就形成了“天人合一”的哲学思想,认为人和自然受共同的客观规律约束,所以人事应顺乎自然规律与自然和谐发展。这种朴素的整体观思想也构成了中华传统文化的主体。当然,近代科学的发展早已让我们脱离了机械的“天人一一对应”的简单思想。我们今天研究复杂系统的最终目的一是为了解决更广泛领域(物理学、气候学、生物学、经济学、社会学等)中的具体问题,二是探索不同种类复杂系统(上至星系宇宙下至复杂的生命系统)背后有没有一些普适的规律。
具体而言,本文旨在抛砖引玉,通过挖掘天文学中的研究对象--宇宙的基本组成单位星系--这一复杂系统,与社会学中的研究对象--人类社会的各种复杂系统(城市组织,经济活动,人口增长)之间的一些共同性质和规律,促使更多的人能够脱离学科体系的桎梏,对于复杂世界中的一般性问题有更多的思考。学识所限,本文仅代表作者个人观点。

1
星系的空间分布(大尺度结构)与城市的空间分布。

宇宙的基本组成单位是像我们银河系一样的亿万个星系,他们是包含有恒星、气体、尘埃等成分的自引力束缚结构。星系在宇宙中的分布并不是随机的,而是呈现泡沫网状结构(称为大尺度结构),并有明显的聚居效应。大部分情况下星系三五成群,但也有时候星系也会集中聚居在一起,形成星系团,甚至超星系团(数个星系团构成)。类比人类社会,宇宙中的星系就相当于人类聚居的城镇。二者的产生机制也十分相似:城镇的产生可以理解为人口密度和数量超过某一临界值的产物,而星系的产生源自宇宙原初的密度扰动造成的局域密度增加。


                               
登录/注册后可看大图
图一:左图为斯隆数字巡天中的星系(credit: SDSS);右图为美国东部城市夜灯光的分布(credit: NASA)

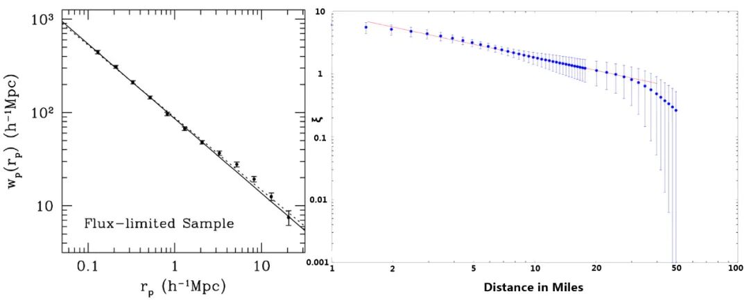
虽然尺度差别非常大,但人们很快意识到星系的分布和城市的分布非常相似。如图一所示,二者均有明显的聚居行为,少部分集中聚居在一起(星系团和城市群)。事实上二者并不仅仅是看上去相似,其数学描述也惊人的一致。

天文学家利用数学上的两点相关函数来描述星系的空间分布,定义为相对于完全随机分布,给定距离上发现的星系对的概率超出值。如果星系呈随机分布,则这一概率超出为0。概率超出值越大表明星系的成团性越强。观测发现这一概率与空间距离呈很好的幂律分布关系(power law),星系在小尺度和大尺度上的成团性有着惊人的一致性。这意味着星系分布特征是与尺度无关的(scale-free)。事实上,对星系分布的无标度描述是无标度网络在自然学科中最早和最广泛的应用例子之一。我们可以用同样的方法来描述城市的分布,结果发现二者惊人的相似,城市间的两点相关函数同样呈现幂律分布,跟星系不同的只是幂指数(双对数图像上的直线斜率)和特征尺度(城市的尺度明显要比星系小得多)。


                               
登录/注册后可看大图
图二:星系(左[3])和城市(右[4])的两点相关函数

星系和城市的空间分布均可以用简单的幂律分布来描述这一事实,说明支配宇宙和人类社会的组织结构的基本规律可能存在很强的内禀相似性。天文学家们已经知道星系分布呈幂律分布的主要原因是引力的无标度特性(强弱与距离呈幂律关系)和暗物质晕结构的自相似性(质量不同的暗物质晕中星系的分布轮廓类似)。

简单类比,我们推测城市的分布很可能也存在大城市群和小城市群分布的相似性,以及人们向大中城市的聚居行为很大程度上可以用类似引力的特性来描述(即城市对周围人群的吸引力大致与城市规模成正比,与距城市的距离(或者距离的某些函数)呈反比)。严格的统计分析已经超出本文的范畴,但城市分布的这些特征符合我们的实际生活经验。这就是系统科学的魅力。通过类比星系,我们可以推测决定人类的城市分布模式的最可能要素。这对进一步定量研究城市分布指明了方向。反之亦然。

值得一提的是,这种简单的幂律分布,又称为标度不变性,是许多复杂系统的共性(太阳耀斑的能量分布,地震烈度、城市人口、网站点击率的分布、人类语言中用词的频率分布等等)。知道这种分布特点虽然并不能直接告诉我们其背后隐含的规律是什么,但却告诉我们无论什么规律,他们是与对应的标度(大小,强弱等等)无关的。以地震而言,地震烈度与发生频率间的幂律关系说明大地震和小地震的产生原因很可能没有本质不同,因此刻意发展预告大地震的研究方向很可能是徒劳的(如果我们预测不了小地震,那也同样预测不了大地震)。从另一个角度讲,如果某一地今天发生了小地震,那我们就无法避免未来某一刻发生大地震的可能性。归根结底,只是一个概率的问题,而幂律分布的典型特征就是极端事件的发生概率要比指数分布高。

如果将星系比作人类的城市,那么星系中的恒星就相当于城市中的人类个体了。正如不同国家和城市的人口出生率、人口密度,财富分配不同一样,不同星系中恒星的产生率、恒星的分布、星光的分布也千差万别。接下来我们将从个体的角度,讨论星系的演化与星系中恒星(及星光)的分布,以及人类社会的消亡与人口分布(及财富分配)之间相似的性质和规律。

2
星系的面亮度分布与人类社会的财富分配

简单来讲,星系按照是否能够持续产生新的恒星可以分为两类,恒星形成星系(star-forming galaxies,也称为年轻星系)和已停止恒星形成的星系(quenched galaxies,也称为年老星系,可以类比于生物学意义上已经死亡或接近死亡的星系)。两类星系在形态上也有明显不同:年轻星系多属旋涡星系(比如我们银河系),而年老星系多属椭圆星系。二者在面亮度分布上呈现明显的区别。具体而言,椭圆星系(年老星系)的亮度分布高度集中在中心区域,而旋涡星系(年轻星系)则较为平均地分布在星系盘和旋涡状悬臂上。这种区别促使天文学家们开始思考如何在数学上定量区分这两类星系。

不同星系中恒星面亮度分布不同的特点使得天文学家们联想到了社会学中用来描述人类社会财富分配不均程度的基尼系数[5],其定义见图三。简而言之,基尼系数越大,财富越集中在少数人手中,社会财富分配越不平等。一般认为当一个地区基尼系数超过0.5时,其收入差距已经比较悬殊。较大的收入差距往往会进一步触发社会动荡,因此基尼系数也是衡量一个社会稳定与否的重要参数(图三中列出了几个主要国家和地区的基尼系数分布,可以看出近两年发生重大社会动荡事件的国家/地区的基尼系数基本在0.5以上)。


                               
登录/注册后可看大图

                               
登录/注册后可看大图
图三(上):基尼系数的定义;(下):不同类型星系和不同国家/地区的基尼系数的分布。伴随着基尼系数的增大,星系和社会都进入某种不良状态:星系会逐渐丧失制造新的恒星的能力变成年老星系,社会则会因贫富差距导致阶层固化,进入某种临时性死亡状态(社会动荡和变革)。

天文学家遂用基尼系数来描述星系的面亮度分布不均(用星光替代社会学基尼系数定义中的人类财富):基尼系数越大,意味着亮度越集中分布在少数区域,星系越倾向于为椭圆(年老)星系。年轻和年老星系的分界线就在0.5-0.6左右。换句话说,如果一个星系的亮度分布不均匀程度超过0.5,则该星系很大概率近似椭圆星系,已经失去了制造新的恒星的能力了(变成年老星系)。基尼系数在区分不同类星系中的巨大成功使其被众多天文学家广为接受,成为今天研究星系星系形态的一个重要参数。这也成为自然科学成功借助社会科学概念进行研究的一个典型例子。

3
星系的恒星形成率与人类社会的人口出生率

除了基尼系数以外,星系中的恒星分布与恒星形成率密切相关的另一个表现是恒星分布密度与恒星形成率的关系(图四):恒星形成率低的星系(年老星系)的中心恒星密度普遍高于恒星形成率高的星系(年轻星系)。换句话说,如果星系中恒星分布过于致密,那这个星系很大概率也要死亡了(恒星形成率降低)。

相似的,人口密度过高会不会直接影响到人口出生率呢?同样基于生活经验,我们认为这是很有可能的(根据2010年我国人口普查数据,城市总和生育率为0.88,镇的总和生育率为1.15,农村总和生育率为1.44)。笔者带着这样的疑问进一步搜索了相关文献,发现的确有很多相关的研究证实了二者的负相关(图四)。我们这里引用了日本的例子。由于多年的经济和社会稳定,日本的数据能够很大程度上排除经济发展、医疗进步、战争等其他因素对人口出生率的影响,因此得出的出生率与人口密度的负相关具有具有更好的说服力(图四)。


                               
登录/注册后可看大图
图四(左):星系的比恒星形成率与恒星密度的关系[6];(右):人口出生率与人口密度的关系[7]

这一简单类比告诉我们,无论是对于有机生命体集合的人类,还是无机的恒星聚居体的星系而言,种群密度过高都会导致其繁衍速度(新的恒星形成一定程度上可以认为是星系中恒星的繁衍)的下降。我们也有理由相信,呈现这种规律的复杂系统绝不限于星系和人类社会,它本身可能反映了复杂系统在资源有限的情况下的增长模式的一般规律。

当然这里我们仅仅从星系和人类社会两个复杂系统的特点总结出这条规律,要科学地证明这一点,最终还是需要研究更多的复杂系统,利用统计学分析证明这是否是普遍规律。我们也要再次明确,类比作为人类认知的核心手段,其本身并不是科学论证。但合理的类比能够帮助我们举一反三、抽丝剥茧,指明科学论证的方向。

我们还可以对星系和人类社会中呈现的上述共同特点展开进一步的讨论:对于具有基尼系数较大、恒星密度较高的年老星系而言,其死亡几乎是永久的;而人类社会因基尼系数过大、人口密度较高造成的某种意义上的死亡(社会动荡和政权更迭,人口出生率下降)则绝大多数情况下并非是永久的。我们可以从热力学第二定律(熵增加原理[8])的角度来说明这一点。

星系从年轻(旋涡)星系到年老(椭圆)星系的转变是有序到无序的过程。具体而言,旋涡星系中大部分恒星绕星系中心做有序的,规则的近似圆周运动,而椭圆星系中的恒星则大部分做无规则运动。因此该转变过程中熵增加,是趋向于稳定态的、几乎不可逆的转变。与之相反,人类社会中无论是财富由大部分人集中到少数人手中,还是人群的分布由分散到集中,这些过程是从无序到有序,是熵减的过程(因此这些过程是不可能自发、孤立地发生的,其必定伴随着从系统环境中汲取负熵的过程,从而使得在该转变过程中整体的熵仍然增加)。如果着眼点仅仅集中在财富或者人口集中这一过程,因为熵减,所以实际上是趋向于非自然的、不稳定态的转变。这样的转变发展到一定程度,必然会造成系统崩溃而重新洗牌(政权更迭,财富重新分配)。

简而言之,这一过程是可逆的。人类社会“天下合久必分,分久必合“的历史其实正是这种无序到有序再到无序演化的外在反映。老子曾经对这种自然界从有序到无序,而人类社会由无序到有序(再到无序)的发展有精彩的概括,“天之道,损有余而补不足;人之道,损不足以奉有余”,这句话在两千年后的我们读来,仍然回味无穷。

小结

当然,星系乃至宇宙这一复杂系统与人类社会的各种复杂系统之间的联系(享有某些类似的规律和特征)远远不止这些。考虑到人类本身就是宇宙的一部分,这种普遍的相似性本身又反映出这些规律在更广阔的尺度上的一致性。过去几百年基于还原论的科学发展为我们提供了描述各种复杂系统的组成成分及它们之间相互作用的有效工具,但我们对作为整体而言的复杂系统的一般规律的认识才刚刚开始。几百年前,牛顿因为坚信行星运动与树上的苹果受同样的规律支配而发现了万有引力定律,笔者也坚信未来通过更多对宇宙当中各种复杂系统的深入研究能够揭示复杂系统运作的一般规律,从而最终能够回答“世界为什么是这个样子”这一基本问题。

参考文献:
[1] P. Anderson,1972,Science,177(4047): 393
[2]Poincaré, Henri (1892), "Sur les courbes définies par uneéquation différentielle", Oeuvres, 1, Paris
[3]Zehavi, I., D. H. Weinberg, Z. Zheng, et al., 2004, ApJ, 608, 16
[5] Lotz, J., Primack, J., and Madau, P., 2004, AJ, 128, 163
[6] Whitaker, K., Bezanson, R., van Dokkum, P., et al., 2017, ApJ,838, 19
[8] R. Clausius,The Mechanical Theory of Heat, London: John van Voorst, 1867. Ninth Memoir.


大道至简 万物于弧
*滑动验证:
您需要登录后才可以回帖 登录 | 立即注册

本版积分规则

手机版|Archiver|小黑屋|国际弧学研究会    

GMT-7, 2025-10-16 05:38 , Processed in 0.598926 second(s), 22 queries .

Powered by Discuz! X3.1

© 2001-2013 Comsenz Inc.

快速回复 返回顶部 返回列表