设为首页收藏本站

弧论坛

 找回密码
 立即注册
搜索
热搜: 活动 交友 discuz
查看: 4549|回复: 0
打印 上一主题 下一主题

大雅之美:数学物理学家心中的十大方程(上)

[复制链接]

5919

主题

6627

帖子

7187

积分

坛主

Rank: 10Rank: 10Rank: 10

积分
7187
跳转到指定楼层
楼主
发表于 2017-7-20 04:32 | 只看该作者 回帖奖励 |倒序浏览 |阅读模式
大雅之美:数学物理学家心中的十大方程(上)

2017-06-21
环球科学ScientificAmerican


“你认为最美的数学、物理方程是什么?”当代十位大数学家、物理学家给出了他们自己的回答。这些回答构成了大雅之美(The Concinitas Project)的十篇文章。我们将分上下两期,为读者带来这些大师对自己眼中最美方程的精彩解读。

在本文中,你将读到:
当代数学界的领袖阿蒂亚(Atiyah)爵士提供的答案是他与合作者发现的指标公式(最简单的版本),并以建筑之美来形容数学之美。

阿蒂亚的高足唐纳森(Donaldson)则认为,描述电磁学的安培定律令他陶醉。他借以成名的工作,则与安培定律之推广——杨(振宁)-米尔斯方程有关。

以拓扑学的研究而成名的斯梅尔(Smale)对多项式求根的牛顿迭代法情有独钟,可以想见,当他得知30多年前他提出的猜想在2016年被解决时一定非常欣喜。

计算机科学家卡普(Karp)感兴趣的,是著名的P=NP是否成立的问题,这是“理论计算机领域最核心的公开问题,是所有数学分支中最难的问题之一,因其难解而闻名于世。”

应用数学家拉克斯(Lax)提出的是支配流体运动的守恒律,“守恒思想之美,在于其基本性。”

你心中最美的方程是哪个?欢迎在评论区留言,给出你的选择与理由,点赞数最高的3位将获赠球礼。

1指标定理
撰文 阿蒂亚爵士(Sir Michael Atiyah)
翻译 邵红亮(重庆大学数学与统计学院)
校译 林开亮


                               
登录/注册后可看大图

数学既是一门艺术,也是一门科学,而美在其中扮演至关重要的角色,这是数学家众所周知的事实。伟大的德国数学家赫尔曼·外尔(Hermann Weyl)是我心目中的英雄。他说:“我的工作总是试图将真和美统一起来,如果我必须做出抉择,我常常选择美。”我觉得他讲得非常好。

数学是最精准的科学,它致力于发现真理,外尔的话似乎有些荒诞,甚至带有挑衅的感觉——似乎只是一句半开玩笑的话。但是我相信,外尔讲这句话时是非常认真的。在外尔的话中有一个明显的悖论,我们寻求的虽然是客观真理,可是任何时候,真理都是不确定的,是暂时的。然而美是一种主观体验,“情人眼里出西施”,我们相信,美是指引我们找到真理的光亮。

何为数学之美?是否与艺术之美、音乐之美、诗歌之美类似?维尔斯特拉斯(Karl Weierstrass)表面上是一个严肃的分析学家,却曾经说过:“如果没有一颗诗人般的灵魂,就不可能成为完全的数学家。”

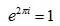
对门外汉而言,这样的表达是难以理解的,然而我也曾经说过,著名的欧拉公式

                               
登录/注册后可看大图
极其简洁且极具深度,无异于哈姆雷特的著名问题,“活下去还是不活……”

也许最可与数学比肩的一种艺术形式就是建筑了,其中有充满精美细节的宏观视野,实体基础和功能效用都是其本质组成。

我选择这样一个方程来阐释我自己的工作美妙之处,它宏伟壮观,富有历史,与数学的许多分支有多重联系,包括:拓扑、几何、分析。但是其表述之微妙,其简洁性,使人们忽略了掩于其中的深度,只有真正领会的学者方能明白。

就像一座有三层塔的建筑,这个方程有三项,这三项各自属于数学的不同部分,却以一种惊人的方式联系在一起。就像伟大的建筑一样,它也有自己的特征,可以追根溯源至很久以前,展现了当今最先进的技术,同时又指向未来。

这个方程的前身与历史上许多主流问题都有联系:欧拉的柯尼斯堡七桥问题、黎曼素数计数以及高斯测地。这些故事充满诗意,然而未来与历史同样重要。许多主流分支已经消失,只有少数绵延至今。

大约四十年前,我发现了这个方程,自那时起,人们就发现它在基础物理中有的令人神魂颠倒的惊人应用,这一点外尔应该是理解的,并且会很欣赏。事实上,其中许多关键的想法,都可以追溯到外尔本人的工作。

就我个人而言,我的方程体现了我与诸多同事的深入合作,包括:波恩的赫兹布鲁赫(Fritz Hirzebruch),哈佛的博特(Raoul Bott),MIT的辛格(Is Singer)和孟买的帕托迪(Vijay Patodi),像许多天才诗人一样,帕托迪也英年早逝。美是一种人生体验,最美不过与朋友共赏。


迈克尔·阿蒂亚爵士(Sir Michael Atiyah),英国数学家,菲尔兹奖和阿贝尔数学奖得主,曾任皇家学会主席,剑桥大学三一学院院长。他与伊萨多·辛格合作证明了著名的阿蒂亚-辛格指标定理。此定理在微分方程、复几何、泛函分析以及理论物理学中均有深远的应用,公认为20世纪最重要的数学成果之一。

2安培定律
撰文 唐纳森(Simon Donaldson)
翻译 来米加(上海交通大学数学科学学院)
校译 林开亮


                               
登录/注册后可看大图
我的很多研究工作涉及微分几何中和数学物理相关的一些课题与四维空间拓扑的交叉。黑板上的内容,是想部分地通过与三维空间类比,来阐明其中的一些想法。

图示的主题是电磁学的安培定律,这图大概跟读者在标准物理课本中所见的类似。左上用粗体白线表示电流J流过一个封闭线圈。小的箭头则表示电流所产生的磁场B。在二维,这对应于将铁屑散落在一张纸上所形成的图样。磁场在每点都有定义,因此我们应该想象,每一点都有一个小箭头表示磁场,只不过在图示时我们只画出一些作示意。上图中这个基本的物理现象,用普通的语言来陈述就是,电流产生的磁场方向“环绕”线圈,安培定律则对此给出了一个精确的定量刻画。

向量场这个概念,比如磁场(或者电流,看作被局限为沿着线圈),是19世纪早期数学物理中一个非常重要的观念进展。它为描述电、磁、重力等提供了一个统一的框架。这其中有一个重要的概念是,向量场通过某一曲面的通量。数学上,这个定义由曲面积分给出;而直观上,可以把向量场想象成某个流体在每点的流速,那么通量就是流体流过该曲面的流速。

安培定律的 “积分形式”可表述为:由电流产生的磁场绕一曲面的边界曲线的环量,等于电流通过该曲面的通量。黑板中心横穿线圈的小圆盘给出了这样一个曲面的示意。安培定律的“微分形式”,就是黑板右下方的一组方程:电流在空间坐标x,y,z下的三个分量,可以分别表为磁场在空间坐标x,y,z下的三个分量的导数之组合。

我想用黑板上的内容传达出,我所认为的数学中的一些非常美妙的方面。左边是图片和文字,右边是一组方程。他们是同一个事物的不同描述,引发不同角度的理解:图形的和符号的。更进一步,这个图示代表一个具体的物体——真实世界中的一个带电流的铜线圈。数学家画类似的示意图,但是它可以不仅仅代表一个在三维空间中的一维线圈。通过想象,它也可以代表一个在七维空间中的三维对象,甚至是在无穷维空间中的对象。这种从我们物理直觉到抽象情形的拓展,具有显著的有效性。在头脑中,这种直觉的、图形的、符号的和抽象的交互思维,非常美妙且令人愉悦。

所有这些和拓扑学(一种研究对象在连续形变下保持不变的性质的学科)又有什么关系呢?示意图中,打结的闭合线圈暗示着这种联系。一个扭结就是一个封闭线圈,但你无法通过连续形变(即不允许剪开和粘合)把它变为标准的圆圈。这是一种我们凭经验可以理解、但在数学上不容易讲清楚的概念。很容易想见,这样的扭结可以极其复杂,从而使得拓扑学变得相当微妙。具体来说,存在一种扭结到四维空间的联系:扭结自身暗含了一种信息,它指明如何按一定的方式将标准四维空间构建粘合成一个新的四维空间。

黑板所示当然更多地侧重于思想而非背后精确的数学。它想传递的思想是,研究一个扭结闭合电路产生的磁场,是与扭结以及四维空间的拓扑有关联的。在过去的三十年间,确有许许多多契合这种思想的研究进展,尽管其细节不尽相同。例如,这些发展涉及将电磁场论推广到“杨-米尔斯场”,以及与量子力学、量子场论建立联系。这一点用左下角的磁场通过一个小圆盘的通量来示意。(就作者所知)这个量在经典的电磁学中没有什么意义,但在磁场与电子的“波函数”相互作用的量子理论里是核心。

三维和四维有什么特殊之处呢?这在拓扑学中是个深刻的问题。结果表明,维数大于4的空间在许多方面都更容易理解。我们甚至无需搞清楚问题的具体含义,就可以通过所展示的方程式来体会三维的特殊性。右边后两个方程可以由循环重排头一个方程的三个坐标x,y,z依次得到。这依赖于x,y,z中恰有三个对:(xy),(yz),(zx)。我们可以把电磁学形式地推广到高维,但这样磁场就不再是一个向量场,而是一个更复杂的对象。三维的特殊性就在于,磁场和电场同样都是向量场。四维中有类似的推广,也是基于四维特殊的拓扑性质。从本质上理解这些,是一个极迷人的问题,而我们目前大概也只是看到了最终真理的一些影子罢了。在这里,我们还从中发现了数学的另一个美妙所在:不同领域之间产生的令人惊讶而神秘的联系,以及交织在那些看似简单并充分理解中的完全未知的存在。


西蒙·唐纳森(Simon Donaldson),英国数学家、伦敦帝国学院教授。他是菲尔兹奖得主,并获得了邵逸夫奖和数学突破奖。他找到了四维流形的系列不变量,进而发现特定的四维流形容许无穷多个微分结构。
                     

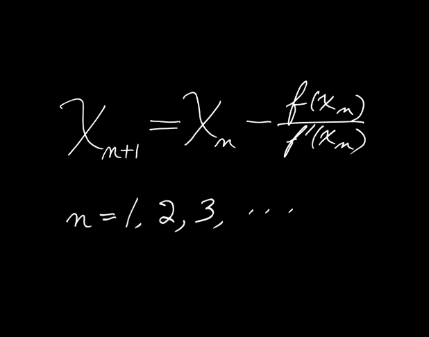
3牛顿法
撰文 史蒂文·斯梅尔(Stephen Smale )
译者 崔继峰(内蒙古工业大学理学院)
校译 贾挺杰、邵美悦


                               
登录/注册后可看大图

上图中的表达式是牛顿法的一个数学描述。

早在牛顿之前,希腊人就用这一想法来求一个正数的平方根。自牛顿以后,人们常常用它迭代以求出方程f(x)=0的近似解。在我的早期数学生涯中,一个令我非常着迷的问题是:这个迭代法何以如此快速和有效,它的局限性又是什么?

在f是一个多项式的特殊情况下,代数基本定理断定方程f(x)=0有解。其解x可能是一个实数或者是一个虚数。在19世纪早期,高斯给出了上述定理的的一个基于算法的证明,该算法可以通过多次应用牛顿法来完成(不过他的证明有一处漏洞)。我1981年的文章《代数学基本定理和复杂性理论》(The Fundamental Theorem of Algebra and Complexity Theory)就是基于牛顿方法,并与高斯的想法有关联。

复杂度(的计算)理论也许是计算机科学中的中心议题;在该理论中,称某个问题是可驯服的(tractable),就是说,存在一个能求解此问题的多项式时间算法,这里的多项式时间是指,用比特来衡量的运算数目可以被输入的数据的数目的一个多项式控制。一方面,我觉得复杂度的观念很有启发性;而另一方面,我发现,用这个框架并不能分析牛顿法的复杂度。

在上面提到的文章中,我用算术运算的数目以取代比特运算的数目,来度量牛顿法的复杂度。此外,数值分析中“条件数”的概念,在我对代数学基本定理的算法分析中,发挥了重要作用。在这个新观点下,我证明了牛顿法是可驯服的。

寻找一个多项式零点的问题,可以自然地推广到一个多项式方程组的求解问题。在处理这个一般问题时,我与迈克·沙勃(Mike Shub)合作,发表了《贝祖定理的复杂性》(Complexity of Bezout's Theorem)的系列论文。我们的目标是,通过找到一种能在多项式时间内求出近似解的算法,使该问题可驯服。遗憾的是,我们的努力以失败告终,直到今天,它仍然是一个重要的公开问题。然而,彼得·比尔吉斯尔(Peter Burgisser)和菲利普·卡克(Felipe Cucker)最近发表于《数学年刊》(Annals of Mathematics)的文章,已经很接近该问题的解1。研究中,他们借鉴了卡洛斯·贝尔特兰(Carlos Beltran)和路易斯·帕尔多(Luis Pardo)的研究思路,同时,牛顿法在他们的工作中无疑发挥了重要作用。

兰诺·布莱姆(Lenore Blum)加入了我和迈克·沙勃的团队,我们一起将计算机科学的图灵机一般化,给予求零点研究以基本支持。我们的三人项目的相关实数算法已根植于多项式时间,NP-完全性,可驯服性的环境,这一切非常有意义。最终,菲利普·卡克与我们合作撰写了著作《复杂性与实计算》(Complexity and Real Computation)。对此,一个参考文献是我的论文集第3卷(共650页)。

约翰·济慈(John Keats)写道,“美即真,真即美……”他还写道“美的东西永远是赏心悦目的。”我在此补充一点,美是简洁和深刻的。我希望,我的片言只语会使你相信,牛顿法是大美的体现。


史蒂文·斯梅尔(Stephen Smale ),美国数学家,菲尔兹奖和沃尔夫奖得主。他成功解决了微分拓扑学中的高维庞加莱猜想,并创立了现代微分动力系统理论。

1.译者注:这个问题是斯梅尔1998年提出的18个问题(Smale's problems,见维基百科)中的一个,在2016年已经解决(而不是像前面说的“未解决”),见Lairez, Pierre , A deterministic algorithm to compute approximate roots of polynomial systems in polynomial average time, Found Comput Math (2016),1-28.
      
                           
4P=NP?
撰文 理查德·卡普(Richard M.Karp)   
翻译 龙旸靖(上海交通大学数学科学学院)


                               
登录/注册后可看大图
计算复杂度理论是理论计算机科学的一个分支,它主要关心机器计算效率的极限。计算复杂度理论主要研究需要大量的计算步骤来求解的问题。这些问题的输入和输出取自有限字母表中的字符串;输入的长度不受限制。研究一个计算问题的核心是将其所需的计算步骤表达为以输入的长度为自变量的函数。

有些计算问题的步数的增长速度非常快。以独立集问题为例。该问题中图是由一些点和线构成的对象,其中点称之为顶点,线称之为边。对于一个给定的图,如果某个由其部分顶点构成的集合中不存在有边相连的两个顶点,我们称这个顶点集是独立的。独立集问题即给定一个图和一个正整数n,判定这个图是否包含大小为n的独立集。所有已知的解决独立集问题的算法都有“组合爆炸”现象,即所需要的计算步数以图的大小的指数级函数增长。另一方面,给定的顶点集是否是给定图的独立集却很容易检查。有很多问题都有这样的二分性:即很难判定一个给定结构类型是否存在(存在性问题),却很容易判定给定的结构是否为所求的类型(验证性问题)。

解决存在性问题比解决其对应的验证性问题困难是一个共识。例如,似乎很难决定一个拼图是否可解。但是给定拼图块的顺序,很容易验证其是否为一解。同样,数独问题似乎很难解,但是很容易验证给定的解。计算复杂度理论中给出了P和NP的精确定义:P问题是容易解决的存在性问题类,而NP问题 是容易验证解的存在性问题类。人们一般认为验证解比给出解要容易,因此似乎NP类真包含P类。但是这个论断还没有证明。P=NP是否成立是理论计算机领域核心的未解决问题2,并且是所有数学分支中最难的问题之一3,因其难解而闻名于世。

1972年我在一篇题为“组合问题之间的互约性”的文章中提出了一种数学技术,用它能证明成千上万个从数学、科学、工程、商业和日常生活中产生的计算问题是等价的。这里等价是指其中一个问题的有效的算法能生成其他所有NP问题的有效算法,因此如果P=NP,则问题完全解决,相反,如果P不等于NP,那么这些问题都不容易解决。这类问题被称为NP完全问题。NP完全是一个广泛发生的现象,大多数应用中产生的组合问题属于NP完全类,因此,它们极有可能很难解决。

我提出的这一数学技术源于多伦多大学的库克(Stephen Cook)在1971年的一篇文章,这篇文章中证明了一个特定的问题,即命题逻辑中的限制性满足问题(记为Sat)是NP完全的。他证明了任何NP类中的问题可以有效规约到Sat,即对于任意NP问题A,存在一个有效算法可以把A中的任何实例转化成一个Sat中等价的实例。因此,如果Sat容易解决,则每一个NP问题都容易解决。差不多同时,当时在苏联,现在是波士顿大学教授的莱文 (Leonid Levin)也证明了一个类似的结果。

在一篇1972年的文章中,我用有效规约树来证明21个经典问题是NP完全的,从而证实了NP完全问题的普遍存在。主题图通过规约树展示了其中的13个问题之间的规约。规约树的每一个的节点上标记一个NP问题,每一条边表明上面的问题可以有效规约到下面的问题,要是下面的问题容易解决,则上面的问题也容易。如果这棵树上的所有问题都是容易解决的,那么Sat问题就是容易解决的,因此,由库克的开创性结果可知,任何NP类中的问题都是容易解决的。

复杂度理论学家中比较盛行(并非全体接受)的看法是,P不等于NP,但是目前还没有证明或者反证。也许某些聪明的年轻人受这篇论文的启发,会找到攻克N和NP难题的办法。

数学之美存在于多个层面:在对称而精妙的数学曲线中、在曲面和组合结构中,也在逻辑微妙的数学证明中,抑或,如NP完全一例中,发现隐藏在看似无关的数学现象背后的单一准则,也美妙非凡。


理查德·卡普(Richard M.Karp),计算机科学家,图灵奖得主,加利福尼亚大学伯克利分校教授。他在算法方面有许多贡献,尤其是“NP-完全”问题。

2.原文为open question,在数学上也译为“公开问题”或者“开放问题”。有公开征集解的含义。
3.理论计算机领域被认为是数学领域的一个分支。
                                   

5守恒律
撰文 拉克斯(Peter Lax)
翻译 龙旸靖(上海交通大学数学科学学院)
校译 刘云朋


                               
登录/注册后可看大图
守恒律是指某物理量(如质量、动量、能量等)在任何区域中的总量的增长率都等于单位时间内从该区域的边界流入的或者产生的这种物理量的多少。这个思想因其基本而美。一旦将其细节具体化,就会得到很多不同的现象。支配流体的流的定律就是守恒律。

守恒律是理解冲击波的关键。我于1945年在部队的时候开始接触冲击波。当时我被派去Los Alamos参与(美国)原子弹计划,而没有去太平洋参与入侵日本,因为原子弹免去了入侵日本的必要。原子弹不能通过试错的办法来制造,所以算出炸弹引爆时产生的流极其重要。冯·诺依曼(Von Neumann)意识到这种计算非依赖计算机不可,这是他支持计算机的最初动力。当然他也意识到计算机在设计原子武器外的其他方面的重要性。

冯·诺依曼在数值计算中把冲击波看作流体的一部分,而非其边界,这是一个美妙而原创的想法。这样处理带有冲击波的流既有力又简单。许多人不知道,冯·诺依曼不仅仅是20世纪的理论数学家,而且是一位顶尖的应用数学家。


彼得·拉克斯(Peter Lax),匈牙利裔美国数学家,阿贝尔奖得主,在可积系统、流体动力学和激波、孤波物理学、双曲守恒律等领域都取得了重大成就。

本文译自:
本文原载《中国数学会通讯》2017年第1期,经再次修订编辑后发表在“环球科学”微信公众号。感谢《中国数学会通讯》授权刊登。

在下篇中,代数几何学家芒福德(Mumford)、数论家邦别里(Bombieri)和数学物理学家戴森(Dyson)将提出纯数学中的一些精妙的方程。著名的物理学家、诺贝尔物理学奖得主温伯格(Weinberg)和盖尔曼(Gell-Mann)也各自推出了其成名作。


大道至简 万物于弧
*滑动验证:
您需要登录后才可以回帖 登录 | 立即注册

本版积分规则

手机版|Archiver|小黑屋|国际弧学研究会    

GMT-7, 2025-12-10 07:26 , Processed in 0.576653 second(s), 22 queries .

Powered by Discuz! X3.1

© 2001-2013 Comsenz Inc.

快速回复 返回顶部 返回列表