设为首页收藏本站

弧论坛

 找回密码
 立即注册
搜索
热搜: 活动 交友 discuz
查看: 2174|回复: 0
打印 上一主题 下一主题

经典力学中最难的问题,至今没有答案

[复制链接]

5917

主题

6625

帖子

7185

积分

坛主

Rank: 10Rank: 10Rank: 10

积分
7185
跳转到指定楼层
楼主
发表于 2022-3-17 14:07 | 只看该作者 回帖奖励 |倒序浏览 |阅读模式
经典力学中最难的问题,至今没有答案[color=rgba(0, 0, 0, 0.3)]

AlessandroBazzi
中科院物理所



认真阅读下面的文章,并思考文末互动提出的问题,严格按照 互动:你的答案 格式在评论区留言,就有机会获得由中信出版集团提供的优质科普书籍 《宇宙小史》一本。


                               
登录/注册后可看大图

在美好的夏天,每个人都喜欢站在水边看浪花拍岸。但有多少人曾对水在运动过程中表现出的极端复杂性感到好奇?它的运动看起来既平滑又有规律,但当它拍碎在沙滩上后,就分裂成数以百计的水流和气泡,变得完全不可预测。正是纳维-斯托克斯方程组(N-S方程组,Navier-Stokes equations)掌控着这种不可思议的复杂性。
大多数人都很熟悉牛顿第二定律:作用在物体上的力等于物体的质量和加速度的乘积。



                               
登录/注册后可看大图
牛顿第二定律

这个公式适用于世界上所有的宏观物体。但是如果你想知道液体的状态,你还要知道一些其它的东西——纳维-斯托克斯方程组。
在全世界范围内,工程师和物理学家把它们应用于从飞机设计到血液循环的众多领域。这些方程非常难解,这就是为什么它们是七个千禧年大奖难题(解决其中一个问题的奖金是100万美元)之一。



                               
登录/注册后可看大图
纳维-斯托克斯方程组

与任何高级公式一样,它看起来可能会令人心生畏惧,但它们所表示的概念并不复杂。我们将逐一探讨它们的含义,以理解它们为何如此重要。



介绍

开始之前我们要先做一些假设。
首先,我们研究的是牛顿流体,这是解释流体粘度的最简单的数学模型。现实中不存在真正的牛顿流体,但在大多数情况下,空气和水可以被视为牛顿流体。另一个非常重要的假设是,流体是不可压缩的。这意味着它的密度 ρ 是一个常数
质量守恒


                               
登录/注册后可看大图
质量守恒公式

这个等式告诉我们,我们研究的流体的质量是守恒的。它可以改变自己的形状,但是从头至尾它的质量不变。


                               
登录/注册后可看大图
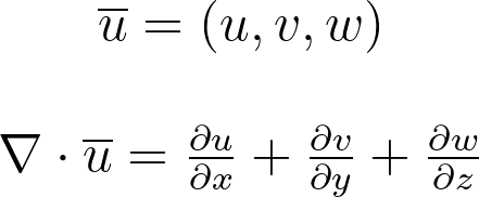
速度矢量的散度

现在让我们谈谈数学。字母u表示流体的速度矢量,它有三个分量,我们可以把它们分别称为u,v,w,表示速度在x,y,z三个方向上的分量。希腊字母nabla∇ 加上一个点乘符号代表散度算符,表示在各个方向上对矢量的分量做微分操作
第一个导数表示速度的x分量如何随着空间x的变化而变化,另外两个导数代表着相同的含义。因为这个公式等于0,所以质量是守恒的。



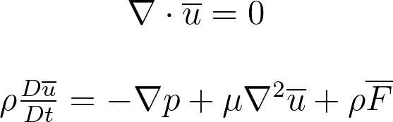
动量守恒



                               
登录/注册后可看大图
动量守恒公式

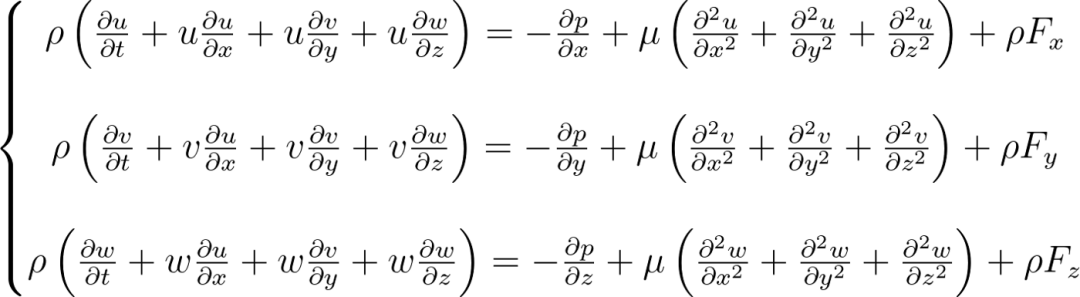
第二个方程实际上是三个微分方程组成的方程组,可以被看作流体的牛顿第二定律。如果我们将表达式展开,就可以得到一个复杂的方程组:



                               
登录/注册后可看大图
扩展后的动量守恒公式

为了理解起来简单,我们将忽略这个扩展形式,集中讨论动量守恒
当我们研究流体时,我们可以把质量和密度看作是相同的东西(只要它们的体积相同)。如果我们考虑两种流体,我们可以说密度较大的流体是“较重”的流体(例如汞和水中汞比较重)。其中用希腊字母ρ(rho)代表流体的密度。
现在我们有了质量,如果想利用牛顿第二定律,我们还需要获得加速度,也就是速度矢量的时间导数。



                               
登录/注册后可看大图
加速度是速度的时间导数

现在,我们只剩下等号右边的项是不知道的,它们代表了施加在流体上的所有力



                               
登录/注册后可看大图

第一项∇p是压强的梯度,它代表流体所在空间的压力差。如果有一个压力较低的区域和另一个压力较高的区域,流体将从高压区流向低压区。p的梯度正是表征了这样的关系。
第二项描述的是流体的粘度。考虑两种不同的流体,例如水和蜂蜜。当你倒出一杯水,水很容易地飞出杯子落向地面。当你用蜂蜜做同样的事,由于蜂蜜是粘稠的,会下落得非常慢。这就是这一项所表达的意思。
最后一项F是最简单的一项,它代表的是作用在流体上的所有外力。通常,我们认为这种力是重力。
综上所述,所有这些奇特得符号和字母表达的关系仅仅是“力 = 质量×加速度”。



纳维-斯托克斯方程组的应用

由于解这些方程极端复杂,为了使用它们我们需要做出很多近似。其中两个例子是泊肃叶流动和库爱特流动(Poiseuille and Couette flow)。通过大量假设,这两位科学家能够为一个非常具体的应用找到纳维-斯托克斯方程的解。然而,如果我们想把它们用于更复杂的情形,比如天气预报,我们需要些补充。
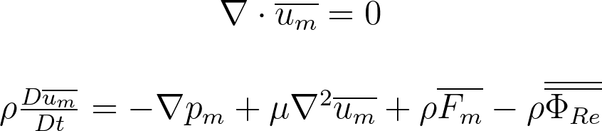
使用这些方程最常用的方法是用雷诺平均数对它们进行变换,利用这种方法得到的是雷诺方程组它们通常被称为RANS(Reynolds averaged Navier-Stokes)方程。



                               
登录/注册后可看大图
RANS方程组(角标m代表平均量)

当流体处于湍流(turbulent flow)状态时可以使用这些方程。除了最后一项,它们看起来几乎和纳维-斯托克斯方程一模一样。最后一项被称为雷诺应力张量,正是这个量能够解释流体中的湍流。
在RANS方程中,我们使用的量是对某个时间间隔做平均之后的量。这个时间间隔必须足够小,以便观测我们正在研究的现象。同时,它必须足够大,以使湍流效应的影响较小。
在正确的假设下,这些方程是有效的。我们知道如何利用它们使F1赛车更快、使航天器进入国际空间站、或是进行天气预报。
你可能还想知道对这些方程的证明怎么能值100万美金?



百万美金大奖

从物理学的观点看,这些公式只是应用于流体的牛顿第二定律。当我们做出一些合理的假设和一些合理的简化以后,我们可有利用这些方程做一些令人惊奇的事情。
问题是,不引入近似的话这个方程组是非常复杂的。想要解出它们实在是太难了,以至于到现在还不能证明解析解是存在的。这就是千禧年大奖的由来。


关于这个问题的官方表述是:

证明以下命题或给出它的反例:在三维空间加一维时间中,给定一个初始的速度场,可以找到一个光滑且全局有定义的矢量速度场和一个标量压力场作为纳维-斯托克斯方程的解。
这意味着如果你想获取一百万美元的奖金,你必须做三件事:


证明纳维—斯托克斯方程的解是存在的;
解在空间中的任意一点都是存在的;
这些解必须是光滑的。这意味着初始条件的微小变化只会产生结果的微小变化。

对于工程师来说只需要知道,即使基础只是一定程度的假设,这些方程仍然是有效的;然而对于数学家来说,知道这些解是否存在以及它们的意义是非常重要的。
你现在可能会想,这个公式有用就可以了,花费时间和精力寻找证明完全是浪费时间。嗯,就像人类历史上的许多技术进步一样,这个结果似乎并不重要。重要的是通往那里的道路,它可以为我们的生活带来新的知识和改善。
比如说航天计划,如果人类从来没有想过要去月球上走一走,我们会失去很多可以改善我们生活状况的设备。核磁共振成像仪和心脏起搏器就来自为太空探索而开发的技术。今天,世界各地的医生每天都在使用它们来拯救生命。
同样的道理也适用于对纳维-斯托克斯方程的研究。探索纳维-斯托克斯方程解的过程将有助于提高我们对流体或其他事物的理解。它可以引导我们获得新的发现,可能还需要探索新的数学方法。这可以用来解决其他许多问题,发明新技术来改善我们的生活,让我们变得更好。

作者:Alessandro Bazzi

翻译:Nothing
审校:zhenni

原文链接:




大道至简 万物于弧
*滑动验证:
您需要登录后才可以回帖 登录 | 立即注册

本版积分规则

手机版|Archiver|小黑屋|国际弧学研究会    

GMT-7, 2025-11-1 13:52 , Processed in 0.535324 second(s), 22 queries .

Powered by Discuz! X3.1

© 2001-2013 Comsenz Inc.

快速回复 返回顶部 返回列表