设为首页收藏本站

弧论坛

 找回密码
 立即注册
搜索
热搜: 活动 交友 discuz
查看: 2467|回复: 0
打印 上一主题 下一主题

1900:物理学界的大灾难

[复制链接]

5923

主题

6632

帖子

7192

积分

坛主

Rank: 10Rank: 10Rank: 10

积分
7192
跳转到指定楼层
楼主
发表于 2022-2-14 23:22 | 只看该作者 回帖奖励 |倒序浏览 |阅读模式
1900:物理学界的大灾难[color=rgba(0, 0, 0, 0.3)]

[color=rgba(0, 0, 0, 0.3)]Original [color=rgba(0, 0, 0, 0.3)]Benedict Goh
[color=rgba(0, 0, 0, 0.3)] 中科院物理所 [color=rgba(0, 0, 0, 0.3)]2022-02-14 21:42



实验装置

想象一只做得非常严丝合缝、一点光都透不出来的盒子。盒子的内可以对光有完全的反射,就像贴满了非常明亮的镜片。想象到了吗?好,现在在盒子的一边戳一个小洞,让能量可以通过小孔进入盒子,等待能量逐渐流入。最终,系统会稳定在一个叫做“热平衡”的状态。这是什么意思呢?就是说能量在整个盒子里是均匀分布的。在这样一个结构中,盒子会“做”两件事情:首先,它会从整个电磁波谱中吸收光;其次,它也会发射各种频率的光。这种结构就叫做黑体



                               
登录/注册后可看大图

电磁波会在黑体内壁之间来回反射。经典理论告诉我们,这些电磁波必须遵循麦克斯韦方程组。这个长方体盒子的六个面构成了 x 、 y 、z 方向上的三组边界,麦克斯韦方程组规定了边界条件,对光的频率 ω 做出了限制。并不是所有频率的电磁波都可以在这个黑盒中稳定存在。边界条件的详细描述见[1]。这些驻波的频率需要满足这样一个条件:光在黑盒中传播一个来回的振荡次数是整数次



                               
登录/注册后可看大图

矢量 n 具有整数分量。



光照强度

经典电磁学认为光是一种波,它可以有不同的频率。我们把一个特定频率ωn发射的光叫做一个“模式(mode)”。
经典热力学中有一个原理叫做均分定理(equipartition theorem)。均分定理假定了黑体在某个模式下发射多少能量:对于每种模式的光,黑体发射的“数量”是相同的。在经典理论中,无论频率高低,黑体辐射都一致对待。进一步来讲,不同模式光的 “密度”分布在频谱上是处处相同的。
为了精确地描述这个概念,我们引入下面的等式。等式左边的物理量强度 I 是单位发射面积、单位频率发光的功率。字母 E 表示发射功率, ω 代表频率,差分符号表示“每增加单位频率”。



                               
登录/注册后可看大图

当能量增加时,强度是如何变化的?
经典模型告诉我们,强度与频率的二次方成正比,这就是说,随着频率不断增加,最终会引起“爆炸”。这是与实验结果相悖的。经典模型可以通过一些简单的量纲分析推导出来。因为我们在等式中看到的是频率的倒数和体积的倒数,所以所讨论的量应该正比于 [能量][时间][体积]-1 。在经典模型中我们只能得到这个表达式:

                               
登录/注册后可看大图

不幸的是,这意味着高频时这种强度的光会“爆炸”,这不是我们观察到的!



经典模型VS实验观测

如前所述,黑体是所有频率下电磁辐射的完美吸收体和完美发射体。经典上我们认为,每种模式的强度随频率的二次方增长。那么,现实生活中会发生什么?想象一下,一些研究人员想要进行一项实验,来研究黑体辐射的频率和强度之间的关系。
下面是我们可以做的测试。
首先,用一些深色的材料制作一个黑体,然后准备一个可以检测任何辐射的频率和强度的探测器。在实验过程中,除了黑体发出的辐射外,没有其他辐射。收集了所有实验数据后,我们将探测器探测到的辐射强度与黑体发射的辐射频率画成下面的关系图,并与经典理论的预测值对比。如果用温度更高的黑体重复实验,会得到形状相似、但峰值更高的曲线。



                               
登录/注册后可看大图

结论显而易见,尤其是当频率较高时,经典理论的预测与实验结果非常不一致。因此,试图用经典的均分定理建立模型来解释黑体辐射光谱是不成功的。这也就是“紫外灾难”难题。



马克斯·普朗克和他的假设

1900年10月,马克斯·普朗克试图解释黑体辐射问题。普朗克提出了一个关键观点:经典理论假设,给定模式的能量值是连续的;然而,普朗克假设腔内每个电磁模式的能量都是量子化的,并且只能发射整数倍的小份单位能量,由下面的方程表示,其中包括了普朗克常数 h 和 ℏ=h/2π :



                               
登录/注册后可看大图

普朗克认为电磁波的能量不能被无限地划分,只能划分到这个小能量单位为止。由于光是一种电磁波,这个假设也意味着光是量子化的,由光子组成。光就像钱一样,你没法把一枚一分钱的硬币分成一半或是更小的碎片来降低它的价值。



紫外线灾难问题迎刃而解

假设普朗克的假设是正确的,光确实是由没有质量的光子组成,那么会发生什么?它解决了紫外灾难问题吗?强度是如何随频率变化的?
让我们试着计算一下热分布。如果频率为 n 的模式被激发 j ( j∈N )次,模式中的能量为 jEn 。我们可以将每种模式下的能量期望值写在下面。可观测值的期望是各个概率乘以该概率下发生的可观测值的总和(用符号<>表示)。



                               
登录/注册后可看大图

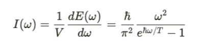
最后,经过一些推导,我们会发现,普朗克用来拟合黑体辐射实验数据的结论已经呈现在我们面前。光强 I作为角频率的函数,可以表示如下:



                               
登录/注册后可看大图

因此,“紫外灾难”难题被解决了,马克斯·普朗克成为历史上第一个解释了黑体辐射光谱的人。




参考文献:
[1] https://phys.libretexts.org/Book ... s_and_Applications_(Staelin)/02%3A_Introduction_to_Electrodynamics/2.06%3A_Boundary_conditions_for_electromagnetic_fields
[2] Quantum Field Theory and the Standard Model, 1st Edition, Matthew D. Schwartz, HB ISBN: 9781107034730
大道至简 万物于弧
*滑动验证:
您需要登录后才可以回帖 登录 | 立即注册

本版积分规则

手机版|Archiver|小黑屋|国际弧学研究会    

GMT-7, 2026-1-24 09:21 , Processed in 0.559079 second(s), 22 queries .

Powered by Discuz! X3.1

© 2001-2013 Comsenz Inc.

快速回复 返回顶部 返回列表