设为首页收藏本站

弧论坛

 找回密码
 立即注册
搜索
热搜: 活动 交友 discuz
查看: 11448|回复: 0
打印 上一主题 下一主题

热点:运动介质洛伦兹协变电磁理论

[复制链接]

5943

主题

6662

帖子

7222

积分

坛主

Rank: 10Rank: 10Rank: 10

积分
7222
跳转到指定楼层
楼主
发表于 2022-1-19 00:36 | 只看该作者 回帖奖励 |倒序浏览 |阅读模式
热点:运动介质洛伦兹协变电磁理论[color=rgba(0, 0, 0, 0.3)]

[color=rgba(0, 0, 0, 0.3)]Original [color=rgba(0, 0, 0, 0.3)]王雯宇 许洋
物理与工程 [color=rgba(0, 0, 0, 0.3)]2022-01-16 15:1


运动介质洛伦兹协变电磁理论



王雯宇 许 洋

摘 要
虽然麦克斯韦方程组可以写成协变形式,但由于本构关系协变性质不明显, 所以大多数教科书中的介质电磁理论不是明显洛伦兹协变的。本文列举了物理学家给出的不同的介质麦克斯韦方程组, 并重点讨论了最广泛使用的形式:闵可夫斯基公式和朱公式的异同。利用空间平均的方法分析了运动介质微观极化与磁化的相关规律。然后将本构关系写成了洛伦兹协变形式,借此得到了介质协变电磁学理论。采用的宏观处理办法可以弥补微观非相对论方法的缺陷。最后将介质中不明显协变的波动方程推广为洛伦兹协变的波动方程, 验证运动介质中速度的相对论叠加公式,并推广了多普勒频移公式。
Abstract Though the Maxwell’s equations can be written in a covariant form, the electromagnetism in the media is not superficially Lorentz covariant in most text books because of the non-covariant constitutive relations. In this paper, we listed different forms of Maxwell’s equations in the media, and discussed the similarities and differences between the two widely used forms Minkowski formulation and Chu formulation. The spatial average method was used to analyze relevant laws on microscopic polarization and magnetization, and the Lorentz covariant form of constitutive equations was given. We obtained the covariant theory of electromagnetism in the media. The macroscopic method we used could make up for the deficiencies of non-relativistic microscopic treatments. Finally, we generalized the wave equation in media to a Lorentz covariant form, checked the relativistic velocity addition formula of light, and generalized the formula of the Doppler shift.

1 运动介质电磁学理论的协变性问题

[size=1em]物理学专业学习的宏观经典电磁理论通常以电磁学和电动力学两门课程的形式来完成。电磁学课程从基本的电磁现象开始,逐步讲解电磁场的各种场属性,所有的属性总结为麦克斯韦方程组作为结束;而电动力学则开始于麦克斯韦方程组,利用各种数学理论研究电磁场相关应用,包括电磁波,电磁辐射,狭义相对论等。

[size=1em]相比于电磁学,从某种意义上讲,电动力学唯一的“新”物理在于狭义相对论。因为电磁波等相关理论实际上只是麦克斯方程组的演绎,而真正概念上的革新则在于相对性原理、光速不变原理的引入和相对论时空观以及力学理论的修正等。相对性原理指的是所有物理规律在不同的参考系下的形式是一样的,不存在一个特殊的参考系。因此,平直时空中,原则上所有理论都可以写成洛伦兹协变即狭义相对论性理论。真空中的麦克斯韦方程组自然可以写为洛伦兹协变的四维形式,但是对于介质存在时麦克斯韦方程组则不尽然。虽然在部分教科书中有所提及,比如著名电动力学教材杰克逊的《经典电动力学》[1]中就简单说明了介质麦克斯韦方程组洛伦兹变换的处理办法;但是书中并没有给出方程组的协变形式。具体地讲就是,为了描述电磁场对介质中微观粒子的极化与磁化,电磁学中引入了与介质性质相关的介电常数与磁导率两个物理量。宏观电磁场论又引入了电位移矢量D、磁场强度H、极化强度P与磁化强度M等4个场量。它们和电场强度E与磁感应强度B由本构关系相联系。但是通常的教科书本构关系一般表示为分量形式,并不是明显洛伦兹协变的。虽然实际应用中介质电磁相关理论应用已经足够广泛,但是从理论的角度看,写下协变的介质麦克斯韦方程组是理解狭义相对论理论所必须的。另外,介质中的光速也不再是真空极限速度c0,同时介质中电磁波波动方程中的速度也因此不是明显洛伦兹协变的。那如何将此时的介质麦克斯韦方程组以及波动方程写为协变形式,还有介质运动时的电磁波多普勒效应具体形式等,都是非常有趣且有意义的问题。

[size=1em]综上,我们给出运动介质中协变形式的电磁学方程,包括麦克斯韦方程组和波动方程,就是本文的目的。本文分以下几部分论述:第1部分,给出运动介质中电磁学现象的相关论述,并列举历史上的一些运动介质中的电磁学模型;第2部分,尝试给出运动介质电磁学理论的洛伦兹协变形式,并研究介质中电磁波波速叠加、多普勒频移等狭义相对论现象。最后一节给出结论。

2 运动介质电磁学

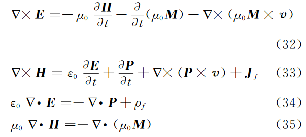
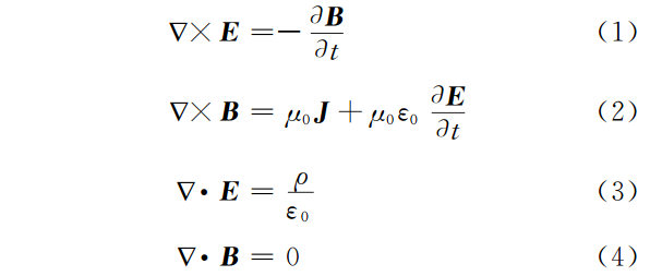
[size=1em]从现代物理学角度来看宏观电磁现象,我们的认知其实并没有超出麦克斯韦多少。虽然麦克斯韦当时不可能了解狭义相对论,但是他写下的方程组却自然满足(形式上并不是明显的)洛伦兹协变性,这归功于麦克斯韦对于电磁场理论深刻的认识。到19世纪中叶,物理学家已经发现并总结电磁现象的3个最基本的实验定律:库仑定律(1785年),毕奥-萨伐尔定律(1820年),法拉第定律(1831—1845年)[2]。法拉第的“电力线”和“磁力线”等概念已发展成“电场”和“磁场”概念。1855年至1865年期间,麦克斯韦在全面地审视以上电磁学3个定律的基础上,把数学分析方法引入电磁学理论中,应用严谨的数学形式总结了前人的工作。他提出了位移电流假说和感生电场概念,将电磁场基本定律归结为4个偏微分方程。至此完整地描述宏观电磁现象的麦克斯韦方程组就诞生了。真空麦克斯韦方程组为[3]


                               
登录/注册后可看大图
相关符号是大多数教科书上通用的,所以就不一一说明了。这是有电荷和电流、没有磁荷的麦克斯韦方程组。电荷密度与电流密度应当满足电荷守恒定律,即

                               
登录/注册后可看大图
需要补充说明的是,宏观电磁学还应该有另外一个基本公式,即广义洛伦兹力密度

                               
登录/注册后可看大图
洛伦兹力实际上是给出了电场和磁场的定义,而麦克斯韦方程组描述的则是电场和磁场的动力学规律。

[size=1em]麦克斯韦方程组深刻地揭示了源与场之间的关系:电荷在真空中激发了电场,电流则激发了磁场,变化的电场与磁场又互相激发,形成电磁波向外传播。因此麦克斯韦电磁理论与牛顿力学之间的关键差别在于局域性概念的引入,即它是一个场的理论。随后爱因斯坦建立的狭义相对论与之紧密相关。狭义相对论要求场具有相应的四维时空对称性,其中包括时空平移对称性与洛伦兹变换对称性,以及空间反射对称性(P宇称)与时间反演对称性(T宇称)等。电场和磁场满足的对称性对理论有严格的限制。例如,电场强度E是一个矢量场,空间反射变号。根据公式(1)可知磁感应强度B是一个轴矢量场。类似地,电流密度J是一个矢量场,ρ是一个标量场等。

[size=1em]能明显体现理论所包含的对称性的方法是使用电磁场的分析力学拉格朗日密度。经典电磁理论的拉格朗日密度


                               
登录/注册后可看大图

[size=1em]具有相应的庞加莱时空对称性。其中,Aμ是电磁势矢量,


                               
登录/注册后可看大图
是电磁场张量,具体形式为


                               
登录/注册后可看大图

[size=1em]Jμ是电流四矢量。注意这里我们采用的是自然单位制取真空中的光速为c0=1,(下同)这里使用的度规是

[size=1em]


                               
登录/注册后可看大图

[size=1em]

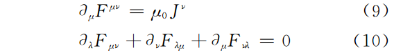
[size=1em]在张量的表述下,麦克斯韦方程组变为


                               
登录/注册后可看大图
将Aμ作为基本变量,上式第一个方程是欧拉-拉格朗日运动方程的直接结果;而第二个方程是一个恒等式,方程右边等于零意味着不存在磁荷。这两个方程的分量形式就是麦克斯韦方程组,此即宏观电磁场分析力学形式。既然真空中的麦克斯韦方程组可以写为满足狭义相对论要求的四维形式,我们不禁要问,介质存在时的麦克斯韦方程组是否也是一个狭义相对论理论?此时,由于电磁场作用下介质微观结构改变,电磁理论变得复杂多了,下面我们就来专门进行讨论。

[size=1em]外加恒定电磁场的静止介质中,微观层次上发生着微妙的电磁现象。一方面,电场会使得介质中原本对外呈电中性的正负电荷发生微小位移,定向排列形成电偶极矩,在介质的内部或者表面形成束缚电荷;另一方面,磁场会使得介质中分子或原子内由于电子或正电荷运动形成的不规则磁矩发生定向排列,微观上形成一个个定向的电流环,宏观上会造成磁化电流。为了描述介质微观的极化与磁化,电磁学中引入极化强度P与磁化强度M两个物理量。一般来说,它们与电场强度E和磁感应强度B之间的关系为


                               
登录/注册后可看大图

[size=1em]此时,电磁学方程中的两个变量E、B之外又增加了4个,即D、H、P、M。若介质处于变化的电磁场中,那么由于变化的电场与磁场会造成变化的束缚电荷与磁化电流,而变化的束缚电荷与磁化电流又将激发变化的电磁场,与之前的电磁场叠加,这就使得情况变得非常复杂。如何写下一组运动介质中麦克斯韦方程组一直存在争议。历史上存在着一系列运动介质中电磁学模型,各个模型在实验上的观测效应差别很小。它们之间的主要区别在于对待束缚电荷与极化电流的处理方式不同,即外加电磁场导致的电荷与电流在不同模型中使用的电磁学变量是不同的。

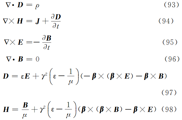
[size=1em]现在使用最广泛的介质中的麦克斯韦方程组是闵可夫斯基(Minkowski)公式,它也是最早出现的介质中的电磁学方程。这组方程形式优美,对微观现象的描述清晰明确,加上与实验符合得也很好,因此不管是在教科书中还是工程应用上都被广为采用。在闵可夫斯基公式中,束缚电荷ρp被认为是由介质的极化造成,而额外的电流则包含磁化电流JM,极化电流密度JP,它们与电磁学变量之间的关系为


                               
登录/注册后可看大图

[size=1em]这种介质极化与磁化描述在教科书中有详细的介绍,在此就不再解释了。因此由此导致的麦克斯韦方程组形式为


                               
登录/注册后可看大图

[size=1em]ρf与Jf分别为自由电荷与自由电流。闵可夫斯基公式选择了两组电磁学变量,即(D,H),(E,B),分别描述了介质的微观规律与电磁场的性质。各向同性介质中,它们之间由本构关系


                               
登录/注册后可看大图

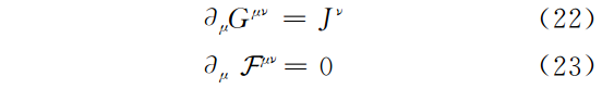
[size=1em]相联系。注意在下文中,我们讨论的都是各向同性的介质。杰克逊的《经典电动力学》书中将闵可夫斯基公式中的麦克斯韦方程组写为了四维协变形式


                               
登录/注册后可看大图

[size=1em]其中


                               
登录/注册后可看大图

[size=1em]是Fμν的对偶形式。(εμναβ是四阶反对称张量。)方程(23)说明介质存在时恒等式依然成立。二阶全反对称张量Gμν的定义为将电磁张量Fμν中的E替换为D,B替换为H[1],即


                               
登录/注册后可看大图

[size=1em]此时介质中的麦克斯韦方程组虽然写成了协变形式,但是仍然不能认为这是介质电磁学的协变形式理论。原因有二:第一,这一公式是通过与真空中的麦克斯韦方程组类比而得到的,不能由拉格朗日密度的变分得到。在真空电磁场的拉格朗日密度中,基本变量是Aμ。而介质存在时,基本变量是Gμν,因此很难构造相应的拉格朗日量。第二,更为重要的是,本构关系(20)、(21)仍然是分量形式,只是在介质静止的参考系中成立,不是洛伦兹协变的。因此即使运动方程协变,由于不清楚本构关系的协变性质,理论也不是明显协变的。第3节将对以上两点再次讨论并把方程修改为协变形式。在此之前,先来了解一下,其他的介质电磁学模型。

[size=1em]另外一个影响较大的介质电磁学模型,是在20世纪50年代末,朱兰成(Lan-Jen Chu)((1913—1973),江苏淮阴人,美籍,国际著名电磁波专家,麻省理工学院教授,美国科学院院士。)提出的一组运动介质中的介质电磁学理论公式[4]。这组公式与闵可夫斯基公式不完全相同。在基本变量上,闵可夫斯基公式选择了E,B,D,H,而朱公式选择了E,H,MP。在对待磁化的观点上,朱公式认为磁化的原因是磁偶极矩所造成的,即μ0M=q*n*d*,q*是磁荷量,n*是磁偶极矩密度,d*是由负磁荷指向正磁荷的长度矢量。若定义磁标量φm,满足


                               
登录/注册后可看大图

[size=1em]有关系


                               
登录/注册后可看大图

[size=1em]因此


                               
登录/注册后可看大图

[size=1em]为了与静电势满足的泊松方程


                               
登录/注册后可看大图

[size=1em]形式保持一致,朱引入了磁荷密度

[size=1em]

                               
登录/注册后可看大图

[size=1em]因此


                               
登录/注册后可看大图

[size=1em]朱重新分析了介质中微观极化与磁化的规律,认为束缚电荷密度形式为


                               
登录/注册后可看大图

[size=1em]极化电流密度形式为


                               
登录/注册后可看大图

[size=1em]磁荷密度为


                               
登录/注册后可看大图

[size=1em]磁化磁流密度形式为


                               
登录/注册后可看大图

[size=1em]这4个量构成了电磁场的源,其中


                               
登录/注册后可看大图
为介质的运动速度。在这个含有磁荷的模型中,朱从微观的角度讨论了介质速度对极化和磁化的修正,而后类比真空麦克斯韦方程的形式写下了如下运动介质中的麦克斯韦方程组


                               
登录/注册后可看大图

[size=1em]其中,Jf是自由电流,ρf是自由电荷。相比闵可夫斯基公式,朱公式稍显复杂。利用本构关系(20)、(21),上式最后两式其实与闵可夫斯基公式相应公式完全相同,而前两式却明显不同,不能由场的重新定义而被吸收掉。前两式的方程右边表示与闵可夫斯基公式描述不同的极化与磁化方式。取


                               
登录/注册后可看大图
=0,朱公式将简化为闵可夫斯基公式。同时应该注意到,朱电磁理论是一个非相对论理论。朱公式中出现的极化电流项

                               
登录/注册后可看大图
×(P×

                               
登录/注册后可看大图
)和磁化磁流项

                               
登录/注册后可看大图
×(μ0M×

                               
登录/注册后可看大图
)是这个模型中独特的两项。与此类似,许多其他的电磁学模型(例如Boffi公式,Amperian公式[4]等,本文不再叙述,有兴趣读者可以查阅相关文献。)也引入含有速度

                               
登录/注册后可看大图
的项。这是非常有意思的。下面将利用空间平均方法来说明一下怎样理解不同的介质极化和磁化模型。

[size=1em]朱公式是在微观极化与磁化的基础上考虑介质的运动效应得到的,因此包含着介质的运动速度


                               
登录/注册后可看大图
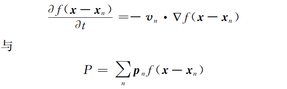
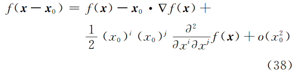
。通常,由于偶极子对外呈电中性,其定向运动似乎不会带来电流或磁流。其实不是这样的,下面说明到底怎么回事。由于迄今为止实验上没有观测到真正的磁单极,下文将不再关注朱模型的磁荷部分,而仅讨论介质运动产生的极化电流,这已经足以说明问题。宏观电动力学不是考察个别粒子产生的微观电磁场,而是关注于它们的宏观平均值。微观的极化与磁化因模型而异,为了研究介质在外加电磁场下可能出现哪些额外的电荷项与电流项,一种相对严格的处理方法是对微观电荷与电流取空间平均(spatial average)。对函数F(x,t)取空间平均定义为


                               
登录/注册后可看大图

[size=1em]在这里,F(x,t)代表着微观电磁物理量。空间平均操作是对x′进行的,因此它与时间导数算符对易,即


                               
登录/注册后可看大图

[size=1em]其中权函数f(x)被假设为连续光滑,量纲为L-3的非负实函数,在全空间归一化为1。在后面计算中,只需要用到它的泰勒展开式,即


                               
登录/注册后可看大图

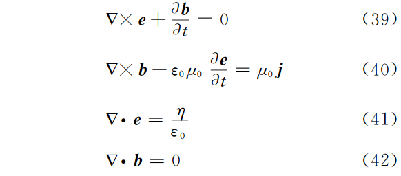
[size=1em]其中i,j=1,2,3,重复的上下指标代表求和。考虑介质中由电子、离子、分子组成的微观系统,视这些带电粒子为点电荷。这些点电荷以某种空间构型组成宏观介质,因为微观上就没有介质存在,利用真空的麦克斯韦方程组即可。因此在这个层面上的电磁学规律由下列方程表述


                               
登录/注册后可看大图

[size=1em]其中,小写的e,b代表微观的电场和磁场,η,j代表微观的电荷密度与电流密度。相应微观量与宏观物理量E,B,ρ,J的关系定义为


                               
登录/注册后可看大图

[size=1em]注意,这里的处理办法仍然是经典物理的方法,即我们认为物体可以分割成非常小的微元,微元的物理是经典的,它们的宏观效应可以通过大量微元叠加或者积分的方式获得。现代物理,在微观的尺度上,实际上应当用量子力学描述电子与核子的状态。利用量子力学中算符的期望值代替经典量时,二者近乎相等[1]。空间平均方法的详细内容,读者可参阅Russakoff[5];而Ian Murdoch更多的讨论了权函数的选择[6];对于极化与磁化的相对论修正,以及统计力学方法的引入,de Groot与Suttorp进行了全面的讨论[7];利用量子力学的方法处理微观电磁现象的内容,可参阅Mahan[8],Adler[9]。


                               
登录/注册后可看大图

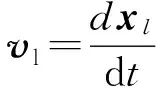
[size=1em]进行空间平均计算前,最好通过定义坐标系将物理图像阐释清楚。如图1令xn为坐标原点O指向第n个分子质心的位置矢量,xl为O点指向第l个带电粒子ql的位置矢量。这些带电粒子包括传导电流的自由电子与分子中形成多极矩的电子和核子。xln为第n个分子中心指向分子中第l个电子或核子的位置矢量


                               
登录/注册后可看大图

[size=1em]对时间求导有


                               
登录/注册后可看大图

[size=1em]其中


                               
登录/注册后可看大图
l是电荷的速度,它等于分子速度

                               
登录/注册后可看大图
n与束缚电荷相对分子的速度

                               
登录/注册后可看大图
ln的矢量相加。注意此处速度叠加也是非相对论性的。分子电荷为


                               
登录/注册后可看大图

[size=1em]它是权函数的零阶近似,代表着将分子看成点电荷的情况。分子偶极矩定义为


                               
登录/注册后可看大图

[size=1em]这与通常教科书中定义的偶极矩p=qd是一致的,d指的是两个带等量异种电荷q的点电荷分开的一小段微小距离。如果分子带电重心xn相互重合,分子偶极矩将为零。四极矩定义为


                               
登录/注册后可看大图

[size=1em]作为权函数的二阶近似,电四极矩代表着分子内电荷偏离球对称分布的程度。微观电荷分为传导电流的自由电荷与束缚在分子内部的电子与核子,可以写为


                               
登录/注册后可看大图

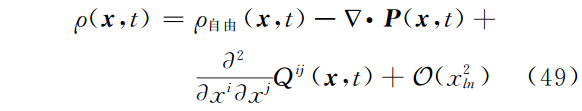
[size=1em]我们对自由电荷与束缚电荷进行空间平均计算,利用权函数的泰勒展开公式,对所有分子n取和即可得到宏观电荷表达式。宏观电荷密度最终的表达式为


                               
登录/注册后可看大图

[size=1em]其中,ρ自由(x,t)是宏观自由电荷密度


                               
登录/注册后可看大图

[size=1em]注意,这里应该区分牛顿力学与场论的不同之处。位置矢量xl,xln、速度矢量


                               
登录/注册后可看大图
l,

                               
登录/注册后可看大图
ln不是场,不随坐标的改变而发生改变。而宏观极化矢量P是一个场,它在不同的空间点取不同的值。原因在于引入的权函数f(x-xn)是坐标的函数,它携带着场的信息。这一点是牛顿力学和场论区别的微妙之处,在以下的推导过程中非常重要,即所有对空间的微分运算都是对于权函数来进行,而此时点电荷的位置、速度矢量相当于一个常数。

[size=1em]通过空间平均的方法,可以视极化现象为分子内部由于电荷分布不均匀而产生的多极矩效应,并且最后的结果并不依赖权函数的选择。xln是分子半径的尺度,大约为10-10m,因此电四极矩含有一个10-20m-2的压低因子,读者或许因此认为忽略电四极矩的贡献可以的。但是下面的计算会显示,微观电四极矩贡献了一部分的分子磁矩。因此在这里我们选择将权函数泰勒展开到二阶。将式(49)代入式(41)得到


                               
登录/注册后可看大图

[size=1em]即它的散度等于介质中自由电荷密度。注意,到目前为止的电位移矢量中没有介质的速度,根据以上公式看不出来介质的运动会不会造成额外的电荷项。

[size=1em]电荷移动时便会形成电流。在电动力学教科书中已经知道,介质中的电流项来自于自由电流密度、极化电流密度与磁化电流密度,而朱公式中出现了额外的电流项:


                               
登录/注册后可看大图
×(P×

                               
登录/注册后可看大图
),显然这一项是由于介质的运动速度造成的。利用空间平均的方法求出这一电流项就是接下来的任务。为此,假设微观电流密度分为自由电流密度与分子电流密度


                               
登录/注册后可看大图

[size=1em]其中,


                               
登录/注册后可看大图
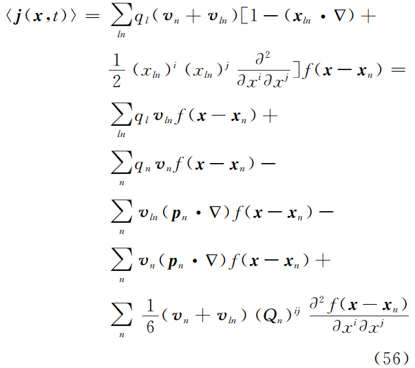
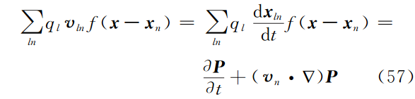
是第l个电荷的移动速度。我们的方法依然是将微观电流密度进行空间平均,再对每一个分子求和,结果便是宏观电流密度的表达式。对第n个分子的电流密度空间平均并取和,将权函数的泰勒展开至二阶,结果为


                               
登录/注册后可看大图
很难看出上式方程右边是对应怎样的物理量。下面逐项处理来得到朱公式(33)中的所有项以及其他更多的项。

[size=1em]首先极化电流密度


                               
登录/注册后可看大图
与磁化电流密度

                               
登录/注册后可看大图
×M可以用以下方法得到。方程(56)右边第一项可以写为


                               
登录/注册后可看大图

[size=1em]推导第二步用到了关系


                               
登录/注册后可看大图

[size=1em]上式第一项正是极化电流密度


                               
登录/注册后可看大图
而第二项与方程(56)右边第四项将贡献一个分子电流项,即


                               
登录/注册后可看大图

[size=1em]推导第二步用到了关系


                               
登录/注册后可看大图

[size=1em]这里利用空间平均的方法,找到了朱公式中的电流项


                               
登录/注册后可看大图
×(P×

                               
登录/注册后可看大图
)的来源,它可以理解为分子偶极矩由于分子的运动速度

                               
登录/注册后可看大图
n而造成的额外电流项。

[size=1em]为了得到极化电流密度的表达式,对泰勒展开式(56)加上下面的式(59),之后再减去式(59)


                               
登录/注册后可看大图

[size=1em]上式第一项与式(56)第三项一并贡献了磁化电流密度JM,即


                               
登录/注册后可看大图
矩,对所有分子n求和,结果就是我们熟知的磁矩公式M=Is,其中s为电流环的面积。为了看出这一点,注意到

                               
登录/注册后可看大图
是分子内电子与核子形成的微观电流。若它们形成微小的电流环,线元为dl,有

                               
登录/注册后可看大图
公式(59)最后一项与泰勒展开式(56)最后一项合并对n求和后的领头阶为

                               
登录/注册后可看大图
过程与上面推导过程类似,这里就省略了。

[size=1em]再减去的项(59)与公式(57)第一项∂P/∂t组成了


                               
登录/注册后可看大图

[size=1em]这样泰勒展开式(56)等式右边对应的物理量已经


                               
登录/注册后可看大图

[size=1em]宏观自由电流密度定义为


                               
登录/注册后可看大图

[size=1em]静止介质中,分子的相对速度


                               
登录/注册后可看大图
n一般很小,但是当介质运动时,可以忽略介质内分子的速度,而将

                               
登录/注册后可看大图
n近似认同为介质的运动速度

                               
登录/注册后可看大图
。将


                               
登录/注册后可看大图

[size=1em]这说明电偶极矩与电四极矩在介质运动时贡献了一个等效磁矩,它们将以此贡献一个分子电流环。注意这一项并不违反电流守恒定律。极化电荷密度


                               
登录/注册后可看大图
,根据电流守恒定律式(5),它对时间的导数将导致极化电流密度,即


                               
登录/注册后可看大图
因为任意矢量场的旋度是无源的

                               
登录/注册后可看大图

[size=1em]任意电流守恒方程都存在一个额外的自由度,电流可以重新定义为


                               
登录/注册后可看大图

[size=1em]

[size=1em]其中A为任意矢量。使用空间平均的方法

[size=1em]


                               
登录/注册后可看大图
性的要求。如果极化电流Jp在xy平面内向x轴正方向流动,那么电流

                               
登录/注册后可看大图
代表着在xz平面内的闭合电流环,不影响流守恒。

[size=1em]以上我们依照空间平均的方法分析极化与磁化的一般规律,发现运动介质的极化与磁化可以认为是由电荷与电流的多极矩造成的。介质运动效应对麦克斯韦方程组贡献了额外的电流项


                               
登录/注册后可看大图
×[(P-Q

                               
登录/注册后可看大图
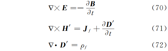
]。综合分析,近似至二阶,运动介质中的麦克斯韦方程组为


                               
登录/注册后可看大图

[size=1em]其中本构关系为


                               
登录/注册后可看大图
应该注意到以上理论相比与朱公式(32)~(35)多了四极矩的贡献。其实可以类比上文的处理办法给出更高阶的修正,其形式一般都可以化为某个多出来的矢量叉乘介质速度的形式。这是因为宏观电荷密度的高阶修正正是权函数的各阶泰勒展开式之和,即

                               
登录/注册后可看大图
式(76)包含着权函数零头阶(分子电荷)、一阶(偶极矩)、二阶(四极矩)…第k阶(2k极矩)以及更高阶的贡献。类似地,对于每一阶我们都可以利用电流守恒,公式(58)以及上一阶计算留下来的项凑出一个矢量Rk贡献的电流密度项:

                               
登录/注册后可看大图

[size=1em]与闵可夫斯基公式中的D,H不同,这里的D′,H包含着介质运动的贡献。这样运动介质中麦克斯韦方程组的形式与闵可夫斯基公式就相同了。而实际两种模型D,HD′,H′不相等造成的观测效应非常小(偶极矩、四极矩效应等)。这也意味着,介质运动产生的额外效果可以统一吸收到本构关系中,麦克斯韦方程组形式保持不变。而将D′,H′组成协变张量Gμ ν就可以在做不同参考系变换时处理介质效应。如果要求理论是相对论理论的话,那本构关系的参考系变换其实就成了问题的关键。在下一节中,将据此给出运动介质中协变的本构关系。

3 介质电磁理论的协变形式

[size=1em]上节主要介绍了两类模型,一类是闵可夫斯基公式,一类是朱公式,二者的不同点在于对待束缚电荷与磁化电流的方式有所不同。正如引文所说,狭义相对论对于电动力学来说至关重要,那么介质中的麦克斯韦方程组的相对论形式是什么样的?这是个非常有趣的问题。从理论的观点看,上节运动介质中的电磁学方程存在的问题有:

[size=1em](1) 协变的麦克斯韦方程组。虽然闵可夫斯基公式可以总结为Gμν,Fμν四维协变的张量方程,但是其拉格朗日密度等很难处理。Gμν,Fμν只是分量形式清晰,Gμν与基本变量Aμ之间关系如何是不清楚的。

[size=1em](2) 本构关系的变换性质不明确。式(20)、(21)是在静止系中得出的,它的协变性质不明确。介质非相对论运动造成的极化与磁化规律导致本构关系的修正公式(75),如上节所讲,它的协变性质是问题的关键。

[size=1em](3) 如何检验运动介质中的电磁学理论的正确性?一个明显的检验方式即是运动介质中的光速。介质中的光速需要通过计算波动方程来得到,而运动介质中的光速必然是介质中的光速与介质运动速度的相对论相加,波动方程也应该是协变的,但是现在的介质中的波动方程是不能写成明显协变的。

[size=1em]下面讨论介质中的波动方程:利用矢量公式


                               
登录/注册后可看大图

[size=1em]εμ≠1,上式左边括号第二项时间的二次偏导的系数不为零。因为有裸露在外的洛伦兹变换改变算符,波动方程(82)仅仅在静止参考系成立,它的协变性质也不明确。问题的关键就是本构关系一个分量方程,它仅在静止系成立,因而波动方程仅在静止系成立。若希望得到一个协变性质明显的介质中的波动方程,必须将闵可夫斯基公式中的本构关系改写为四维协变的形式。

[size=1em]其实,对于介质电磁理论的不同参考系的处理,已经有一个办法,那就是把所有介质运动参考系的物理量变换到介质静止参考系,然后利用本构关系式(20),式(21)处理即可。这其实就是杰克逊《经典电动力学》中的处理办法。虽然这么做已经很实用,但是从理论的角度讲,我们还是应该探索介质电磁学理论的协变性质。因为介质效应其实就是大量微观粒子真空麦克斯韦方程的宏观效应,如果宏观反而失去了相对论的形式,这是不自洽的。而当我们明白了相对论的基本理论之后,这样的拓展工作其实并不是很难,具体计算如下。

[size=1em]首先说明得到协变形式的方法。本构关系式(20)、(21)的四维形式,实际上是两个张量Gμ ν与Fμ ν的之间关系。其实此时还有另外两个协变张量,即介质中的光速eμ与介质的运动速度uμ


                               
登录/注册后可看大图

[size=1em]我们要做的工作就是利用这两个张量以及一些协变常张量gμν,εμναβ凑出来本构关系式(20)、(21)而已。为了从二阶张量Fμν中得到E,即Fμν的第一列Fμ0,利用静止介质的四速度uμ=(1,0,0,0)就可以做到这一点,即


                               
登录/注册后可看大图
这就是本构关系式(20)。Fμν的第一行也可以用相同的方法得到。改写本构关系的第二式需要一点技巧。首先先取Fμν的对偶形式Fμν,这样B会出现在Fμν的第一行和第一列,然后用与公式(86)类似的方式得到

                               
登录/注册后可看大图
当然,这仍然不是协变形式,为了得到完全的Gμν和Fμν的关系,需要用εμναβ再把Hi变换回到原来位置上。最后利用uμ就可以凑出协变本构关系为

                               
登录/注册后可看大图

[size=1em]再加上介质四维协变关系公式(为了清楚起见,这里重新写一次式(22)、(23))


                               
登录/注册后可看大图

[size=1em]就得到了非常漂亮的介质电磁学洛伦兹协变理论。也就是说,介质存在时,需要处理两个协变电磁学场量Gμν与Fμν。当介质运动时,利用介质运动的协变速度uμ和协变本构关系(88)即可解决相关问题,而不需要专门把两个场量换算到介质静止参考系去处理。

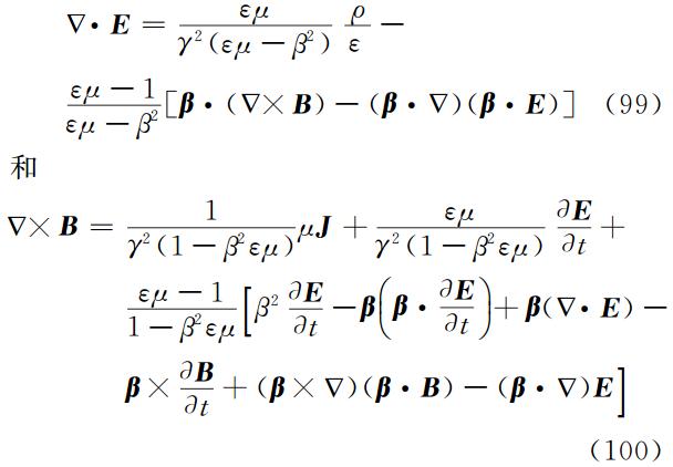
[size=1em]到此,应该说协变理论已经基本完成,但是,如上文所说,大部分教材在处理介质变换时采用的都是分量形式,下面用以上协变公式来重复一些杰克逊书中的相关公式,以验证该协变理论。为了简单起见,假定介质沿x轴正方向运动,速度为β。这时,如果处于介质相对静止参考系,本构关系就是式(20)、(21)。此时洛伦兹平动(boost)方向为x轴负方向。利用Fμν的协变性质,从式(88)可以得到一般参考系中(D,H)与(E,B)的关系。写成三维分量的形式


                               
登录/注册后可看大图

[size=1em]这就是介质运动参考系中处理本构关系的分量公式,它可以代替之前不协变的本构关系,与麦克斯韦方程组联立起来构成描述运动介质中的电磁学理论。这样,(D,H)与(E,B)的变换关系更加明确,有了协变的本构关系,可以说Gμ ν与Fμ ν的地位是平等的。现在修改过的闵可夫斯基公式应当写为


                               
登录/注册后可看大图

[size=1em]这一组方程就与杰克逊电动力学中的形式一致了。这也是大多数教科书处理介质电磁场变换的公式,需要强调一点的是上文协变关系式(88)~(90)形式更为简捷明了。

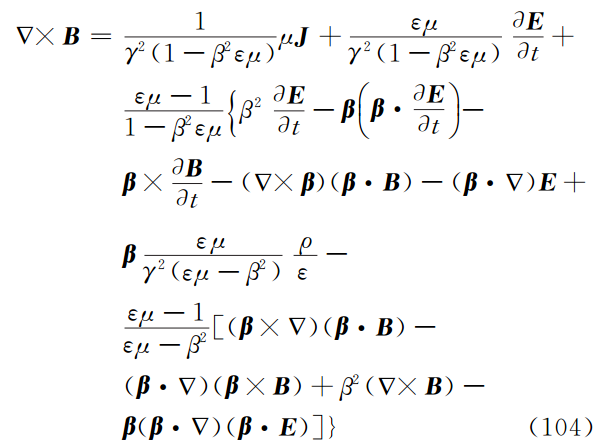
[size=1em]但是,正如上文所述,介质电磁学理论只是真空电磁学的应用。本构关系也只是大量微观带电粒子的宏观效应。实际上,真正的电磁学变量只有电场强度E和磁感应强度B,即Fμ ν。因此,原则上,我们应该可以把本构关系约掉,进而去掉DH,将方程组减少到真空麦克斯韦方程组一样的4个方程,两个描述电场,两个描述磁场。也就是说可以把介质的运动效应从本构关系上转移到麦克斯韦方程组上,而且也应该是形式协变的。事实上,的确可以做到这一点,下面就来实现这一点。首先将本构关系式(91)、(92)代入麦克斯韦方程组中,应用矢量公式


                               
登录/注册后可看大图

[size=1em]方程(94)、(95)的前两个方程可以被化简为


                               
登录/注册后可看大图

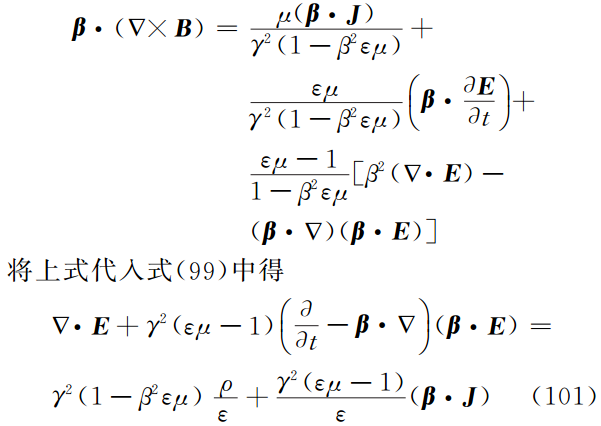
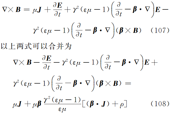
[size=1em]利用协变的本构关系式(91)、(92)消除了麦克斯韦方程组中的两个变量D,H,可得到的方程还很复杂,需要化简。因为洛伦兹平动方向为x负方向,关于B的矢量式中,第三项的中括号内,第一、二、三项只有x方向上有分量,第四、五项则没有x方向上的分量,因此在式(99)中,


                               
登录/注册后可看大图

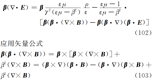
[size=1em]上式揭示了运动介质中束缚电荷的形式。通过式(99)与式(100)的互相代入,得到了运动介质中负责电场的源,它不仅仅与自由电荷相关,还与介质的运动效应相关。磁场的源也可同样得到,为此,在式(99)两边乘以速度矢量β


                               
登录/注册后可看大图
因为式(102)仅在x方向上有分量,yz方向不需要考虑,将式(102)、(103)代入式(100)中,经整理得到

                               
登录/注册后可看大图
上式揭示了运动介质中的磁化电流形式相当复杂,方程右边的各项中,含有B的项都没有x方向上的分量,平动速度β的项只有x方向上的分量,因此不容易整理得到一个完整的公式。但是若把每一方向上的分量都列出,就可总结出它的一般表达式。

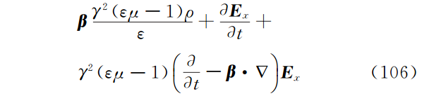
[size=1em]x方向上,式(104)大括号内只有E的贡献,然后写出


                               
登录/注册后可看大图

                               
登录/注册后可看大图

[size=1em]而式(100)yz方向上的表达式比较简单,可直接推出,结果为


                               
登录/注册后可看大图

[size=1em]经过复杂的推导,将式(104)化简与式(101)形式相似,得到了运动介质中B与它的源之间的关系。经过以上计算即可得到运动介质中完全关于(E,B)的协变的电磁学方程


                               
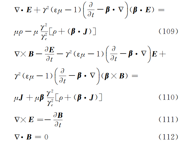
登录/注册后可看大图
这样就将静止介质中的本构关系式(20)、(21)写成了协变形式(91)、(92),代入麦克斯韦方程组中,便消除了原来公式中的两个电磁学变量D、H,同时原来的6个方程,现在只剩下了4个。在麦克斯韦方程组(109)~(112)中,只有两个电磁学变量E、B,因此不需要额外的本构关系。可以清楚地看出,介质的运动额外造成的束缚电荷与磁化电流表述在式(109)、(110)中。它们是关于β以及γ的项,当β=0时,便回到了闵可夫斯基公式。

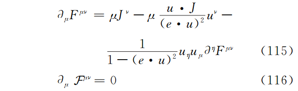
[size=1em]方程组(109)~(112)不是明显协变形式的,我们还可以将其写为四维形式。使用方法和我们前面推导协变本构关系的方法相同,用协变张量、矢量凑出介质中的麦克斯韦方程组。放弃Gμν只使用协变张量Fμν、Jμ、介质中的光速eμ与介质的运动速度uμ等凑出协变形式。注意到介质静止时,光速只能用到γe与e,而与e的方向无关。γe可以由

[size=1em]

                               
登录/注册后可看大图

[size=1em]得到,而e则可以用γe算出


                               
登录/注册后可看大图
其他过程与协变本构关系的凑法类似,这里就省略了。最终得到的运动介质中麦克斯韦方程组的四维协变形式为

                               
登录/注册后可看大图
这个仅关于Fμν的方程正是我们期望的,读者可以验证该协变方程组与式(109)~(112)完全一致,且形式简洁。在规范理论中,Fμν就是规范场场强。这个运动方程的分析力学推导比较复杂,因为此时有一个拉格朗日密度,又有一个统一的介质运动速度uμ(构成有限个自由度拉格朗日量),所以我们就不讨论其分析力学形式了。可以看出,式(115)后边除了第一项外,其他项一部分源自于自由电流,一部分源来自于电磁场本身,且二者都与介质的运动相关。第2节中所讨论的本构关系(20)则没有速度项,这说明从微观的角度分析介质效应也存在一定的局限性。原因在于第2节微观方法是非相对论的,因此得到的宏观本构关系也是非相对论的,其协变性质不清楚,用本节宏观办法,则可以弥补这个缺陷。

[size=1em]处理完了麦克斯韦方程组的问题,接下来看协变波动方程的处理办法。由式(109)、(110)式再做叉乘运算


                               
登录/注册后可看大图
,即可得到运动介质中无源的波动方程为


                               
登录/注册后可看大图

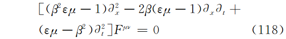
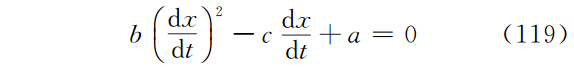
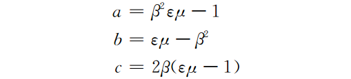
[size=1em]这时,波动方程写成了协变的形式。当β=0时,式(117)回到式(82)。为了验证此波动方程的正确性,计算运动介质中的波速公式。波动方程式(117)是一个二阶偏微分方程,若洛伦兹平动方向为x方向,则方程化简之后形式为


                               
登录/注册后可看大图

[size=1em]这是一个双曲型方程。令


                               
登录/注册后可看大图

[size=1em]则它的特征方程为


                               
登录/注册后可看大图

[size=1em]两族积分曲线为


                               
登录/注册后可看大图

[size=1em]其中,c1,c2为两个常数,A和B是方程


                               
登录/注册后可看大图

[size=1em]的两个解。可以验证,作坐标变换


                               
登录/注册后可看大图

[size=1em]方程(118)即化简为标准型


                               
登录/注册后可看大图

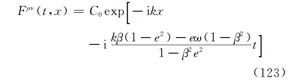
[size=1em]方程(118)化简为一个非常简单的波动方程。我们可以将电磁场的表达式写为


                               
登录/注册后可看大图

[size=1em]其中ω=k;C0为任意常数。将u,v的表达式代入,即可得到(t,x)坐标下的电磁场的表达式


                               
登录/注册后可看大图
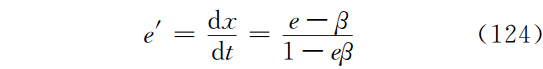
可见运动介质中的电磁波波动的相位比真空中的情况复杂很多,当ε=ε0,μ=μ0时,电磁波的表达式就回到真空中较为简单的形式;而当β=0时,电磁波的表达式回到了静止介质中形式。由式(123)得到的波速为

                               
登录/注册后可看大图

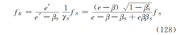
[size=1em]其中,e′是运动介质中的光速。此式正是运动介质中波速的相对论叠加形式。至此,我们写出了协变的本构关系,得到了运动介质中关于(E,B)协变的方程组,进而得到了协变的波动方程,并检验了运动介质中的光速公式,是符合狭义相对论的。

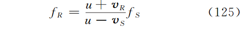
[size=1em]最后需要补充说明一下,介质运动对电磁波多普勒效应的影响,因为这是狭义相对论创立之前很多物理学家关注的问题。为了简化,只讨论一维运动。图2是多普勒效应的示意图,由于波源(速度为vS,发射频率为fS)和接收者(速度为vR,接收频率为fR)相对介质运动而造成了接收者接收到的波频率改变的现象。在牛顿力学中的频移规律为


                               
登录/注册后可看大图

                               
登录/注册后可看大图
其中u是介质(静止)中波速。注意在牛顿力学中,不必关注介质运动效应,因为绝对时空观,存在绝对时间,把相关速度都转换到介质静止参考系即可。但是在狭义相对论中,情况就不同了。首先必须选择接收者静止βR=0(自然单位制)参考系,因为换参考系计算的频率是没有实际意义的。真空中波源运动时,由于相对论时间膨胀效应,频移公式应该修改为

                               
登录/注册后可看大图
时,只需要把上式真空光速换为介质中的光速e即可,

                               
登录/注册后可看大图

[size=1em]注意,由于时间膨胀造成的波源发射频率改变仍然是(1/γS)fS,所以上式就不能化成公式(126)的形式了。如果介质运动,速度为β,频移公式则为


                               
登录/注册后可看大图

[size=1em]可以看到,这里就必须区分介质是否在运动,这正是波速不是极限速度时的相对论结果。同时也可以看到,如果|βS|≥e,电磁波就出现了激波的现象。此时情况比较复杂,这里就不做进一步讨论了。

4 结语

[size=1em]本文主要讨论了运动介质电磁学的协变形式。虽然麦克斯韦方程组可以写成协变形式,但由于本构关系协变性质不明显,所以大多数教科书中的介质电磁学理论不是明显洛伦兹协变的。由于处理极化和磁化的方式不同,因而物理学家给出了不同的介质麦克斯韦方程组。在第2节中我们列举了其中两个最广泛使用的形式:闵可夫斯基公式和朱公式。然后利用空间平均的方法分析了运动介质微观极化与磁化的相关规律,并指出了不同模型的来源。由于介质的运动效应都可以被吸收到D,H的重新定义中,而麦克斯韦方程组形式保持不变,因此本构关系的洛伦兹协变形式对于运动介质中的电磁理论来说极其重要。因此在第3部分,将本构关系写成了洛伦兹协变形式,借此得到了关于E,B的介质中协变的麦克斯韦方程组,重复出一些教科书中的介质电磁学理论。我们采用的宏观处理办法可以弥补第2节微观非相对论的方法的缺陷。然后将介质中不明显协变的波动方程推广为洛伦兹协变的波动方程,并得到了相对论速度相加的运动介质中的光速公式以及运动介质中多普勒频移公式。可见,麦克斯韦方程组(109)~(112)清晰地描述了运动介质中的电磁学现象。

[size=1em]本文的意义在于明确了运动介质中的麦克斯韦方程组以及本构关系的协变形式,这对理解狭义相对论的电磁理论有一定的帮助。


参考文献
[1] JACKSON J. Classical electrodynamics[M].3rd.北京: 高等教育出版社,2004.
[2] 郭奕玲,沈慧君.物理学史[M].北京:清华大学出版社,2005.
[3] 郭硕鸿.电动力学[M].3版.北京:高等教育出版社,2008.
[4] PENFIELD P, HERMANN A. Electrodynamics of moving media[M]. Massachusetts: THE M.I.T.PRESS, 1967.
[5] RUSSAKOFF G. A derivation of the macroscopic Maxwell equations[J]. American Journal of Physics, 1970, 38(10): 1188-1195.
[6] MURDOCH AI. On spatially-averaged electrokinetics of point charges and Maxwell’s equation[J]. Journal of Elasticity, 2017: 1-35.
[7] DEGROOT SR, LINDSAY RB. The Maxwell equations:non-relativistic and relativistic derivations from electron theory[J]. Physics Today, 1971, 24(7): 47-47.
[8] MAHAN GD. Local-field corrections to Coulomb interactions[J]. Physical Review, 1967, 153(3): 983-988.
[9] ADLER SL. Quantum theory of the dielectric constant in real solids[J]. Physical Review, 1962, 126(2): 413-420.



大道至简 万物于弧
*滑动验证:
您需要登录后才可以回帖 登录 | 立即注册

本版积分规则

手机版|Archiver|小黑屋|国际弧学研究会    

GMT-7, 2026-4-24 16:49 , Processed in 0.571842 second(s), 23 queries .

Powered by Discuz! X3.1

© 2001-2013 Comsenz Inc.

快速回复 返回顶部 返回列表