设为首页收藏本站

弧论坛

 找回密码
 立即注册
搜索
热搜: 活动 交友 discuz
查看: 4525|回复: 0
打印 上一主题 下一主题

怎么做才能把圆周率改成3.15?改完以后世界会是啥样?

[复制链接]

5917

主题

6625

帖子

7185

积分

坛主

Rank: 10Rank: 10Rank: 10

积分
7185
跳转到指定楼层
楼主
发表于 2018-7-22 05:46 | 只看该作者 回帖奖励 |倒序浏览 |阅读模式
怎么做才能把圆周率改成3.15?改完以后世界会是啥样?[color=rgba(0, 0, 0, 0.298)]

[color=rgba(0, 0, 0, 0.298)]酱紫君
超级数学建模
[color=rgba(0, 0, 0, 0.298)]Yesterday


Q:
怎么做才能把圆周率改成3.15?改完以后世界会是啥样??
还是说这玩意根本没法改?


                               
登录/注册后可看大图

A:
谁说不能改的...数学和物理不一样,你爱咋改咋改...

但是改了之后有个问题,你得自洽,不然就啪的崩溃成一堆平凡玩意儿了,没啥研究价值了...
-----------------------------------------------------------------------------

第一个简单的方法,改定义呗...

3.1415.....周长与直径的比值,在某小组内称为半周率,用 τ 表示

那里,圆周率 π 是周长与半径的比值,一条腿3.14,两条腿6.28,挺和谐的...

大佬这么干当然是因为这样可以规避鬼畜的系数...

特殊函数里脑残的各种2n 倍啊Γ[n+1]啊都是因为这个有点毛病的定义...

当然你可以说他们在玩文字游戏
---------------------------------------------------------------------------

好吧实际点的方法,大家都说了,空间扭曲呗...

圆周率是圆的周长与半径的比值,那么问题来了,什么叫圆?

圆是在平面内到定点的距离等于定值的点集?(o゜▽゜)o☆[BINGO!],什么叫距离?

有点难回答?需要有个具体对象?比如(3,4)到原点的距离是多少?

是5,为什么呢?因为


                               
登录/注册后可看大图

Right,也就是说任意点(x,y)到定点(a,b)(a,b)的距离定义为


                               
登录/注册后可看大图

这个就是传统的欧几里得距离....很容易想到我们可以定义p-范下的距离:


                               
登录/注册后可看大图

p取不同的值,得到的圆就不同,圆周率也不同:


                               
登录/注册后可看大图

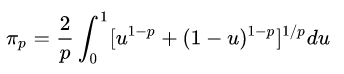
很容易推导得到对应的圆周率公式就是:


                               
登录/注册后可看大图

一般 p≥1 才叫p-范数,这样的话圆周率就局限在 [π,4] 范围内

当然其实0<1<p也是存在图形的

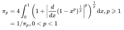
带微分还带绝对值比较难算...可以化简下变成:


                               
登录/注册后可看大图


                               
登录/注册后可看大图

如果测量测出来π=3.15 ,那我们就生活在一个扭曲极其严重的宇宙里,相对论应该会早出现几百年,因为物理上测量出来的圆周率和数学上理想的圆周率居然差了这么多...
-----------------------------------------------------------

这还不是重点,重点是为什么p=2的时候取得最小值...

有篇文章讨论了下这个:π is the Minimum Value for Pi

简单地说p=2是唯一具有SO(3)李群结构的范数...

--------------------------------------------------------------

更麻烦的是这么定义的距离只能产生[π,4] 范围内的圆周率...

更小的比如3.13无论怎么扭曲空间都不可能达到...

距离表面上只要是个x,y的函数就行了,事实上还要满足几个条件

废话一样的正定性...怎么着俩点之间距离不能是负的吧.

至少要有平移不变性,有多长,移到哪里量都是那么长

还有AB和BA的长度应该相同...反过来量距离就变...那得多奇葩...

最好要有保三角性,直接去比绕个路去要短

看上去长的比较短,看上去短的比较长倒是可以允许的,弯曲空间里这事儿还挺正常的

满足这样性质的距离函数其实并不多

网上查了下暂时没有人构造出能突破 [π,4] 这个范围的奇怪空间...

======================================================
Update1:

p进数(p-adic numbers )也是个度量空间,不过我不是很懂这个...也不知道二维上怎么定义圆和圆周率.

还有如果说从代数角度定义π的话那确实只能是3.1415926...没法改的...

级数

                               
登录/注册后可看大图
永远不会收敛到3.15


                               
登录/注册后可看大图
也永远不会是3.15

正弦函数的第一个正零点永远不会是3.15

这是π 的固有属性,作为一个数学常数不可替代的地位...

所以只能从几何上,从度量空间上作文章...


本文由超级数学建模编辑和整理
资料来源于酱紫君(知乎)
https://www.zhihu.com/question/56130485/answer/148339409


大道至简 万物于弧
*滑动验证:
您需要登录后才可以回帖 登录 | 立即注册

本版积分规则

手机版|Archiver|小黑屋|国际弧学研究会    

GMT-7, 2025-11-2 12:03 , Processed in 0.566989 second(s), 25 queries .

Powered by Discuz! X3.1

© 2001-2013 Comsenz Inc.

快速回复 返回顶部 返回列表